面对城区地下空间施工的微扰、抑尘、低噪等严苛要求,尤其在挖掘工程性质特殊的软土地层时,传统钻爆法和机械开挖均存在技术局限性。首先,钻孔爆破势必对周围基础设施产生冲击扰动,且引起的爆尘、噪声甚至飞石均会对城区商圈正常运营造成负面影响[1-2]。其次,机械开挖难以破裂完整岩石,同时还可能因此出现断钩现象。为克服动力裂岩难以适用于城市地下空间建设的局限性[3],具有低扰动、无污染优点的静力裂岩受到广泛关注。该技术是通过在岩石钻孔中灌注破碎剂,利用其持续水化对孔壁产生膨胀应力,进而实现静态弱化并致裂岩石[4]。然而,该技术施工耗时久、裂岩效率较低,在工程实践中的广泛应用仍然受到一定限制。为提升静力裂岩技术的工程适应性和应用效率,国内外学者对其裂岩过程及断裂机理开展了大量研究[5]。唐烈先等[6-7]结合断裂力学理论,基于导向模型试验提出了在膨胀孔中置入薄板以控制混凝土静态破碎主裂缝方向的方法,并通过数值模拟重现了混凝土在膨胀荷载下的静态破裂发展过程。GAMBATESE[8]研究了间隔装药对裂缝扩展的影响,并观察了空孔对裂缝的导向作用。研究表明,除破碎剂的材料特性外,限制静力裂岩技术的瓶颈归因于圆形装药孔对膨胀应力的分散效应,致使孔内能量未能向预设破裂方向集中传递,导致静态爆破时间长、整体工效低。为解决该问题,苏永华等[9-12]通过大量试验、理论与数值研究,系统分析了含圆孔、三角形孔、矩形孔等及其双孔组合的静态破裂特性,重点探究了膨胀压力作用下带有尖角的异形装药孔裂岩机理。结果表明,相比于传统圆形装药孔,异形孔的选用优化了静力裂岩的起裂与完全破碎时间,且裂缝扩展特征与孔的尖角特性紧密相关。然而,既有研究多基于均质完整岩体模型,而实际工程岩石由于赋存环境的影响普遍发育有结构弱面(即天然裂隙),其对静力裂岩演化的影响机制还有待探索。苏永华等[11]通过模型试验与数值模拟首次研究了三角孔联合单裂隙对软岩相似材料静力破碎效果的影响,重点关注了预制裂隙相较于装药孔的间距与走向等影响因素。截至目前,非圆孔联合预制裂隙的应力集中及定向致裂效应对静力裂岩演化的影响机制仍缺乏深入研究。并且,因既有静力裂岩试验研究多采用高速相机和单向应变片等测试手段,使得试验结果多为定性描述,难以从定量角度解析静力裂岩过程中的应力传递机制及最终破碎效果。鉴于此,本文基于软岩地层施工需求,开展静态破碎剂膨胀荷载下不同非圆形装药孔(即正三角孔与正方形孔)及装药孔-预制裂隙组合对软岩致裂效果影响的模型试验,采用DIC(digital image correlation)技术与3片45°应变花观测软岩表面裂缝动态扩展规律以及应力演化规律。随后,运用分形理论对静力裂岩破碎块度进行描述,并引入断裂力学理论定量分析静力裂岩的破碎能及能量利用率。
1 软岩相似材料制备及裂岩模型试验
1.1 软岩相似材料设计及其物理力学性能
依据相似原理[13-14],取几何比



| 岩石名称 | 密度/ (g∙cm-3) | 抗压强 度/MPa | 抗拉强度/MPa | 弹性模 量/GPa |
|---|---|---|---|---|
| 泥岩 | 2.38~2.5 | 0.5~6.1 | <1.96 | 0.8~3.5 |
| 相似材料 | 2.0 | 0.21~2.54 | <0.82 | 0.33~1.45 |
根据文献[9]与前期试验适配,相似模型原材料选择中粗砂作为骨料(进一步分为粒径为0.5~2.0 mm的粗砂及粒径为0.35~0.50 mm的中砂),选择石膏及水泥作为胶结物(水泥采用42.5硅酸盐水泥)。对制备软岩相似材料的3个关键因素开展正交试验以确定最优配合比方案,参数分别选择如下:中砂占骨料比(0.40、0.60、0.80)、胶结剂占总料比(0.20、0.25、0.30)、石膏占胶结剂比(0.30、0.40、0.50)。依据正交试验配比方案分别制作圆柱体试件(尺寸为Φ50 mm×100 mm的试件用于抗压测试,Φ25 mm×50 mm的试件用于劈裂测试[13]),如图1所示。试验结果见表2。

| 编号 | 中砂占骨料比 | 胶结剂占总料比 | 石膏占胶结剂比 | 抗压强度/MPa | 抗拉强度/MPa | 密度/(g∙cm-3) |
|---|---|---|---|---|---|---|
| 1 | 0.80 | 0.30 | 0.50 | 6.80 | 0.86 | 2.11 |
| 2 | 0.80 | 0.25 | 0.40 | 0.78 | 0.10 | 2.17 |
| 3 | 0.80 | 0.20 | 0.30 | 2.48 | 0.40 | 2.07 |
| 4 | 0.60 | 0.30 | 0.40 | 1.96 | 0.35 | 2.18 |
| 5 | 0.60 | 0.25 | 0.30 | 0.93 | 0.13 | 2.13 |
| 6 | 0.60 | 0.20 | 0.50 | 0.90 | 0.10 | 2.09 |
| 7 | 0.40 | 0.30 | 0.30 | 11.85 | 1.18 | 2.23 |
| 8 | 0.40 | 0.25 | 0.50 | 2.03 | 0.26 | 2.12 |
| 9 | 0.40 | 0.20 | 0.40 | 5.10 | 0.55 | 2.08 |
由试验结果可知,软岩相似材料单轴抗压强度约为抗拉强度的5.6~10.0倍。对于静力膨胀裂岩而言,当软岩相似材料中的拉伸应力超过其抗拉强度时,致使裂纹发育、贯通,进而发生破碎。因此,对于软岩相似材料的配比应以抗拉强度为主要依据进行标定,基于上述试验确定软岩相似材料的配比为细砂∶粗砂∶水泥∶石膏=12∶18∶5∶5,单轴抗压强度为2.03 MPa,抗拉强度为0.26 MPa。为进一步了解相似模型的弹性模量和泊松比,采用电测法对Φ50 mm×100 mm的圆柱形试件开展试验,以弹性阶段压应力与纵向应变之比视为相似模型的弹性模量,以横向应变与纵向应变之比视为泊松比。根据3组试样测得的结果取平均值,确定相似模型的弹性模量为0.4 GPa,泊松比为0.5。
1.2 静力裂岩模型试验方案
基于前述优化后的软岩相似材料组成,按照相似比制作模型试样,开展非圆孔(三角形孔、正方形孔)及其与裂隙的组合对软岩静力致裂效果影响的模型试验。在考虑膨胀剂能量高效利用及参考既有研究设定的基础上[9-11],结合前述几何相似比

式中:a为孔距;d为孔径;K为破碎系数,当孔径d<50 mm时,软岩K的取值范围为10~18。取K=16,则孔距a=800 mm。
根据几何相似比确定模型试验试样尺寸为400 mm×400 mm×200 mm,利用预埋三角形/正方形模具在试样中部成型三角形/正方形孔,并以内插金属薄片实现预制裂隙的模拟。参考前人的设定[9-11],预制裂隙与孔口距离取2R,为50 mm。依据“70%深度准则”预制装药孔深度为试样高度的70%,即孔深为140 mm。试样制作完成后脱模室温养护7 d,打磨平整后清洁表面,布置监测装置。监测装置由静态应变测试分析系统及DIC这2个部分组成,分别用于监测静态致裂过程中裂纹发育处的应力与位移变形值,试验装置如图2所示。假设试样材料完全均匀且各向同性,故沿对称轴一侧对角线及最小抵抗线方向,粘贴45°应变花,同方向应变花间距为1.5R,约为35 mm。具体试验方案如图3所示,分别设置三角孔(试样A)、三角形孔与预制裂隙组合(试样B)、正方形孔(试样C)以及正方形孔与预制裂隙组合(试样D)4组模型试验。布置好监测装置并调试完成后,使用高精度电子秤按1∶3的比例称取氧化钙含量约占81%的HSCA-Ⅲ型静态破碎剂(采购自石家庄市功能建材有限公司,其24 h膨胀压≥25 MPa)和水,倒入烧杯中均匀混合搅拌后注入预制装药孔中,随即开始试验与数据采集。


2 试验结果及分析
2.1 基于DIC技术的相似模型试样破裂形态分析
采用DIC与应变花对静力致裂作用下宏观裂缝以及位移场的演化过程(图4)展开研究。取水平向右、竖直向上为位移矢量正方向。根据试验观测可将静态裂岩的裂缝演化划分为3个阶段:膨胀起裂、快速扩展、完全破裂。由初始时刻至起裂发育前,可以发现非圆形装药孔尖角处存在应力集中,进而观测到裂缝欲发育的位置及趋势,但在此过程中无明显裂缝出现。随后,当破碎剂产生的膨胀应力超过软岩相似材料抗拉强度时,裂缝沿尖角处开始发育,位移值明显增大[9]。以试样A为例,在裂缝快速扩展阶段,膨胀荷载使裂缝两侧分别向左下、右上方向变形。左侧横向位移幅值增大至约0.19 mm,位于监测区域下边缘;竖向位移幅值增大至0.08 mm,位于监测区域左边缘处。右侧横向位移幅值增大至约0.26 mm,所监测区域位移变形由下到上逐渐增大;竖向位移幅值增大至0.38 mm,位于裂缝右侧。继续监测直至监测区域因大变形而失效,此时横向位移变形幅值在所监测区域裂缝右侧上边缘处,最大值约为0.97 mm,竖向位移向上变形最大值为1.45 mm,位于裂缝右侧。对比A、B试样可以发现,预制裂隙的存在使得膨胀裂缝优先沿着某一尖角角平分线发展,因此所监测区域裂缝右侧受其下方优势裂缝的影响,位移变形峰值的位置发生变化。在监测结束时,试样B的横向位移幅值为3.49 mm,位于监测区域裂缝右侧下边缘处(紧靠预制裂隙所在直线),且随位置向上逐渐减小,最小值为-0.02 mm,位于裂缝右侧。竖向位移变形幅值为6.23 mm,位于监测区域右边缘处,最小值为0.09 mm,位于裂缝右侧。显然,预制裂隙的存在使得试样表面横向、竖向位移变形增大。

相似模型试样静力裂岩裂隙最终破坏情况如图5所示。无预制裂隙存在时(即A、C方案),最终延伸裂隙大致沿着三角形或正方形装药孔尖角角平分线方向发育,装药孔的形状变成3条或4条裂缝。由此可见,装药孔的形状决定了裂缝起裂与延伸方向,这可能是由于静态破碎剂的水化能量因非圆孔尖角处的应力集中效应而诱发定向致裂。并且,破坏裂缝长度、宽度的发育较为均匀,未见明显优势裂缝,尤其是试样A。值得注意的是,试样A的起裂时间为148 min,明显短于试样C起裂的177 min,并且测得的裂缝最宽处为17 mm,大于试样C最宽裂缝的14 mm。这可归因于试样C中4条裂缝的扩展分散了破碎剂能量,致使其破裂宽度略小。对B、D方案而言,预制裂隙的存在显著提升了静力裂岩效率,具体体现为裂缝发育与贯通时间缩短,破坏主裂缝宽度显著增长。由图5可见,主裂缝均出现于预制裂隙所在的三角形/正方形孔的角平分线方向。经测量可知,试样B的主裂缝起裂时间约为132 min,且裂缝最宽处增长至28 mm。试样D的主裂缝起裂时间缩短至125 min,裂缝最宽处为25 mm。与试样C不同,因预制裂隙的影响,试样D仅沿预制裂隙所在角平分线方向发育2条破坏裂缝。这是因为预制裂隙的存在使得静态膨胀剂的能量优先沿预制裂隙所在方向传递,能量更为集中,裂缝发育速度更快,时间更短。对于正方形孔试样而言,能量沿预制裂隙方向传递后,不足以形成另外2条裂缝,故最终仅沿预制裂隙方向发育2条裂缝。

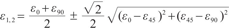
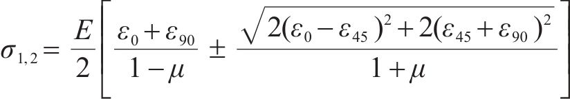
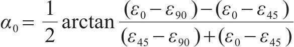
2.2 相似模型试样静态致裂的应力演化过程
通过在试样表面粘贴3片45°应变花以监测软岩相似材料静态致裂的应力演化过程。在试样表面处于平面应力状态(



等效应力如下:

式中:E为弹性模量;




根据计算结果绘制各应变花有效应力曲线,取图5中部分特征位置做代表性分析,如图6所示。不难看出,应力演变受孔形、预制裂隙及监测点位等因素影响。另外,主裂缝主要成型、发育于各试样的角平分线处,并且其应力变化可大致分为平缓增长、快速增长、急剧衰减并趋于平稳3个阶段。如前所述,这分别对应宏观裂缝演化的膨胀起裂、快速扩展、完全破裂。对比试样A、B发现,预制裂隙的存在使得角平分线外(即优势裂缝)测点B-1的应力峰值为0.94 MPa,显著大于试样A相应位置A-1点的0.65 MPa,且其自应力急剧增大至趋于平稳的历程为15 min,明显短于A-1的44.6 min。在试样B中,非预制裂隙所在角平分线延长线上测点B-6的应力峰值仅为0.47 MPa,其起裂时间为131 min,滞后于B-1的125 min,这证实了预制裂隙对优势裂缝发育的促进作用。如图6(b)所示,无论裂隙是否存在,A、B这2组非角平分线所在直线各测点应力变化无明显峰值且始终小于0.26 MPa的起裂应力。另外,B-3和B-4处应力增长滞后于A-4和A-5。这与宏观裂缝扩展结果相印证,即非角平分线位置无宏观裂隙,并且带预制裂隙的试样B中膨胀应力优先发育优势裂缝。对于同一监测直线上距尖角距离不同的测点,应力峰值随距离增大而衰减。试样C、D与试样A、B的应力演化类似,但由于试样C沿正方形的角平分线均匀发育4条裂缝,故测点C-1与C-4所测得峰值及变化趋势相近,而三角形孔试样A的测点A-1较C-1和C-4应力峰值更大,且起裂更快,说明三角形孔的应力集中效应优于正方形孔。应力演化结果表明,试样D中测点D-1和D-6应力峰值远大于C-1,而非预制裂隙所在角平分线延长线上的测点D-3和D-4未监测到明显的应力值波动,这与宏观裂缝发育情况一致,即膨胀应力作用下试样D仅发育2条裂缝,且预制裂隙所在方向成型了优势裂缝,而竖向无裂缝发育。

2.3 裂缝分形维度分析
运用MATLAB对图像进行二值化处理,并转换为数值型数据,如图7所示。随后,基于盒维数原理定量表征静力致裂模型试验中软岩相似材料表面复杂裂缝的分形维数D[15]。

表3展示了各试样静力致裂后表面裂缝的分形维数计算结果。可知,裂缝的分形维数与裂隙数量、裂隙宽度及长度等因素相关,D值越大,代表试样表面裂缝的分布越复杂,即静力破裂效果越好。试样A和B均呈现3条裂缝,但因预制裂隙处的优势裂缝显著发育,使得试样B的分形维数大于A。正如预期的那样,试样C中破碎剂水化能量汇聚于正方形装药孔的4个尖角处,大体上均匀发育4条主裂缝,其分形维数达到1.991。值得注意的是,预制裂隙的设置加剧了应力集中与定向传递效应,致使试样D中主要生成2条较宽裂缝(分形维数小于试样C),而无法出现沿正方形尖角方向发育的4条裂缝,这显然不利于工程实际上裂隙网络的发育与联通。
| 组别 | 试验详情 | 分形维数 |
|---|---|---|
| 试样A | 三角形孔 | 1.972 |
| 试样B | 三角形孔与预制裂隙组合 | 1.989 |
| 试样C | 正方形孔 | 1.991 |
| 试样D | 正方形孔与预制裂隙组合 | 1.985 |
2.4 破碎能及能量利用率分析
为进一步定量评估孔形与预制裂隙对软岩静力致裂的影响效果,本文引入破碎能Εb以全面衡量裂岩过程中的能量消耗,并计算出静态破碎剂的能量利用率。根据Rittinger理论,岩石在破碎过程中新增表面破碎能Εb可用以下公式计算[16-20]:
式中:Gs为软岩应变能释放率;KIC为岩石Ⅰ型断裂韧性;A为岩石破裂过程中新增表面积;E为岩石弹性模量。
基于相关单轴压缩试验确定岩石Ⅰ型裂缝断裂韧度KIC的经验公式如下[9, 19]:
式中:σc为岩石抗压强度。本项研究所用软岩相似材料的σc为2.03 MPa,因而可得KIC为0.055。
随后,参考动态爆破岩石,确定致裂后试样新增表面积计算公式如下[18]:




式中:V为岩石总体积;Pk为粒径尺寸在
静力裂岩不同于爆破法裂岩,仅需使软岩产生间距适当的裂隙网络以方便挖掘施工。由模型试验结果可知,裂缝主要沿尖角或预制裂隙的应力集中方向破裂,产生有限的岩石碎块,且破裂面近似垂直贯通,故可利用AutoCAD(autodesk computer aided design)描出试验破裂面表面裂缝长度(折线)与试样高度的乘积作为新增表面积。理论上,静力裂岩过程中消耗的能量由静态破碎剂遇水放热膨胀所提供,其释放能量值是可计算的:


每组静力裂岩试验所用破碎剂约为200 g,其中氧化钙含量约为81%,因而最终计算结果如表4所示。与分形维数结果类似,裂隙发育的破碎能和能量利用率由非圆孔尖角数及预制裂隙的应力集中与定向传递效应所决定。试样C均匀发育4条主裂缝,其破碎能及能量利用率分别为4.277 kJ和2.93%,而对于试样B,3条裂缝的发育消耗了3.516 kJ的能量,其占破碎剂释放能量的2.41%,并且膨胀能量的消耗主要集中于优势裂缝的形成与扩展。
| 组别 | 新增表 面积/m2 | 破碎 能/kJ | 破碎剂 能量/kJ | 能量利用率/% |
|---|---|---|---|---|
| 试样A | 0.227 | 3.446 | 146.025 | 2.36 |
| 试样B | 0.230 | 3.516 | 146.025 | 2.41 |
| 试样C | 0.280 | 4.277 | 146.025 | 2.93 |
| 试样D | 0.144 | 2.186 | 146.025 | 1.50 |
3 结论
1) 通过正交试验确定软岩相似材料配比为细砂∶粗砂∶水泥∶石膏=12∶18∶5∶5,其单轴抗压强度和抗拉强度分别为2.03 MPa和0.26 MPa。
2) 相似模型的静态致裂过程可划分为3个阶段:膨胀起裂、快速扩展、完全破裂。因非圆孔尖角处存在应力集中效应,装药孔形状决定了破坏裂缝的起裂与延伸方向以及条数,即定向致裂。受能量分散传递的影响,相较于三角形孔,正方形孔的裂缝发育慢且宽度小。同一监测方向上,应力峰值随距尖角距离增大而不断衰减。
3) 预制裂隙的设置提升了非圆孔静力裂岩速率,体现为起裂快、应力峰值大,并且沿预制裂隙方向形成大宽度裂缝,即为优势裂缝。具体而言,试样B的起裂时间由试样A的148 min缩短至132 min,而试样D由试样C的177 min缩短至125 min。以三角孔为例,预制裂隙的存在使得最大应力值由试样A的0.65 MPa增加至试样B的0.94 MPa。受预制裂隙处应力集中传递的影响,试样D仅发育了2条裂缝,而竖向角平分线上无裂缝发育。
4) 裂缝的分形维数、破碎能和能量利用率与非圆孔尖角数及预制裂隙的应力集中、定向传递效应直接相关。致裂过程中破碎剂仅有1.50%~2.93%的能量用于软岩相似模型裂隙发育做功。破碎效果最佳的为试样C,其分形维数和能量利用率分别为1.991和2.93%,其次为带预制裂隙的三角孔试样B,其分形维数和能量利用率分别为1.989和2.41%。
综上,工程实践中装药孔孔形与布孔位置还需根据裂岩区域形状和裂隙网络规划所决定。如需形成大破碎度片区宜选用正方形孔,而关注裂隙网络的快速形成可选用带预制裂隙的正三角孔。
苏永华,陈斌,罗彪等.非圆形孔内静力裂岩的相似材料模型试验研究[J].铁道科学与工程学报,2025,22(10):4599-4609.
SU Yonghua,CHEN Bin,LUO Biao,et al.Similar-material model test study on static fracturing of rocks with non-circular boreholes[J].Journal of Railway Science and Engineering,2025,22(10):4599-4609.

