桥梁在社会经济发展中意义重大。近30年来,桥梁施工技术迅速发展,舟山大桥、杭州湾大桥、港珠澳大桥、深中大桥等现代桥梁先后投入运营。然而,由于荷载、环境因素及灾害致使材料腐蚀、结构损坏、开裂以及性能下降,桥梁质量不可避免地恶化[1-3]。因此,桥梁健康监测成为近些年重要的研究课题。随着传感器的发展,桥梁健康监测(bridge health monitoring, BHM)被视作评估桥梁健康状况的有效技术手段。BHM是一种基于振动的损伤检测方法,该方法可通过测量的动态特性(主要是模态参数)评估结构损伤。传统的BHM需要在桥梁上安装大量传感器以获取数据,但传感器成本高、耐用性差且长期黏附能力不足[4],使得桥梁长期健康监测难以实现,管理人员也难以从传统BHM中获益。近些年,YANG等[5]提出一种间接的基于车桥相互作用的桥梁健康监测技术——车辆扫描法(vehicle scanning method, VSM)。VSM能从车辆响应谱中提取桥梁频率,克服了传统BHM的缺陷,并且具备良好的机动性。众多相关研究从理论和实验上证明了VSM的合理性与有效性[6-11]。不过,目前VSM存在一些问题亟须解决,其识别的准确性和效率易受随机因素(主要是路面粗糙度)和车辆频率的掩蔽效应影响。为降低或消除路面粗糙度和车辆频率的遮蔽效应的影响,YANG等[12]提出了残余接触响应法,该方法是从2辆相连车辆产生的残余接触响应中检索桥梁的竖向频率,该方法消除了车辆频率的干扰。同样地,JIAN等[13]提出拖拉机-拖车策略以消除路面不平度。ZHAN等[14]提出有载荷和无载荷车辆2次行驶策略以计算残余接触响应。陈诗璇等[15-16]利用4自由度车辆的残余接触响应成功实现了桥梁的模态参数识别。莫向前等[17]从单轴车辆的摇摆运动和残余接触响应中提取到桥梁的频率。然而在实际应用中,几辆相连车辆的现场试验或2次运行的测试难以保持一致稳定的工况。同时,上述研究多是关注桥梁的竖向频率,而对弯扭频率少有探讨。为解决上述问题,本文提出一种利用双轴车辆提取桥梁的竖向频率和弯扭频率的方法。首先推导了车桥接触响应解析解,然后利用降噪和滤波方法提取桥梁频率,最后利用建立的三维车桥耦合有限元模型验证所提出方法的有效性。本研究进一步完善了车辆扫描法,为车辆扫描法在实际工程中的应用提供了理论借鉴。
1 理论模型
1.1 基本假设
由于车桥耦合系统是一个复杂的系统,一般很难求解得到桥梁或车辆振动的解析解,需要做出以下3点假设以简化车桥耦合物理模型。
1) 桥梁的侧向位移和扭转位移分别被横隔板和支座约束,而端部截面可以自由翘曲。桥梁被假设为简支、等截面的欧拉梁。
2) 车辆的质量远小于桥梁的质量,且车辆的行驶速度是匀速的,忽略人为或环境因素对车速的改变的影响。
3) 忽略车辆左右粗糙度差异的影响。
1.2 车桥耦合模型
为简化车辆模型,本文将4轮车辆简化为双轴车辆模型,如图1所示。该双轴车辆模型具有4个自由度,包括车轮的竖向位移(ub1和ub2)以及车身的点头(φ)和竖向运动(u)。

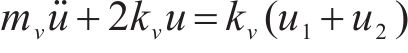
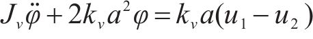
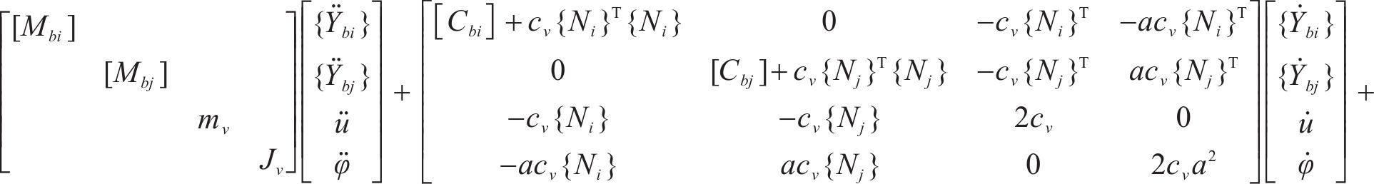
求解车辆响应解析解的主要目的是获取桥梁的振动信号。由于车辆和桥梁的阻尼以及路面不平顺不会改变车辆振动信号中的桥梁振动信号(主要是指模态频率),因此在车桥耦合模型中,三者均未被考虑。同时,由于车轮的质量远小于车身质量,故车轮质量在理论推导中被忽略。根据弹性系统动力学总势能不变值原理[18],首先推导出双轴车辆的运动方程,即式(1)和式(2):


式中:mv和kv分别代表车辆的质量和刚度;a为质心到前后车轴的距离;u1和u2是前后轮位置处桥梁的位移。
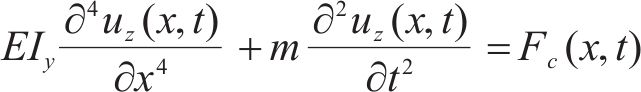
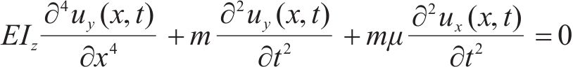
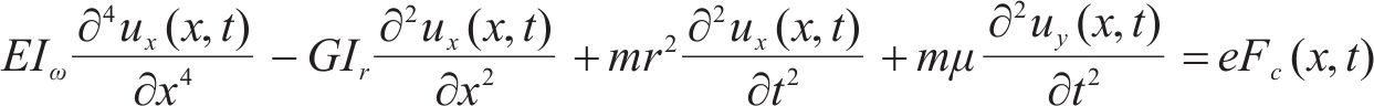
如图2所示,车辆以速度v沿着长度为L的桥梁偏心行驶,偏心距为e,因此桥梁会发生扭转位移。理论上,桥梁的振动包括竖向、侧向和扭转振动。根据Vlasov薄壁梁理论[19],双轴车辆荷载作用下的桥梁运动方程可以表示如下:



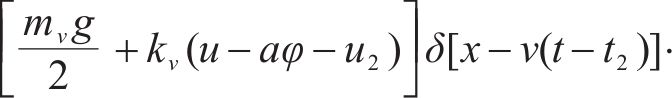
式中:uz(x,t)、uy(x,t)和ux(x,t)分别表示桥梁的竖向位移、侧向位移和扭转位移;e是车辆相对于桥梁中心线的偏心距;E和G分别表示弹性模量和剪切模量;m是单位长度的桥梁质量;μ为桥梁截面的形心和剪心之间的距离;Ir、Iy和Iz分别表示关于x、y和z轴的惯性矩;Iω是翘曲常数;r、ry和rz为回转半径。车桥接触力Fc(x,t)可以表示如下:




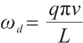
式中:t1和t2定义为tk=2(k-1)a/v,k=1, 2。
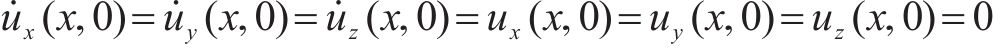
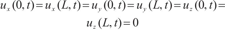
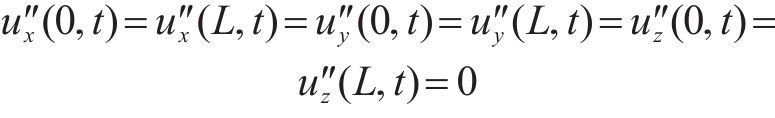
根据第1条基本假设,桥梁的初始条件和边界条件可表示如下:



式中:“′”和“·”分别是对位移x和时间t的求导符号。

本文采用模态叠加法求解桥梁的动力响应解析解。桥梁的竖向位移、侧向位移和扭转位移可以表示如下:



式中:vq(t)、wq(t)和θq(t)为广义坐标;sin(qπx/L)为振型函数。
首先,将式(10)~式(12)代入式(3)~式(5),然后将等式两边同时乘振型函数sin(qπx/L),最后对等式两边做关于x的从0到L的积分,整理后得到:



式中:




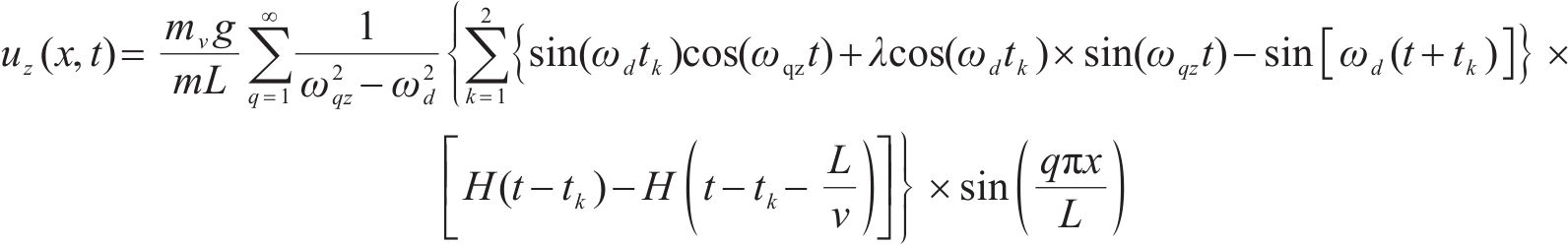
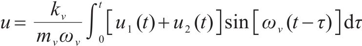
利用Laplace变换求解出目标函数vq(t)、wq(t)和θq(t)的Laplace变换解析式,然后利用逆Laplace变换求解出目标函数vq(t)、wq(t)和θq(t)。最后代入式(10)~式(12),即可得到桥梁的竖向振动和扭转位移解析解,即式(16)和式(17):


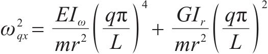
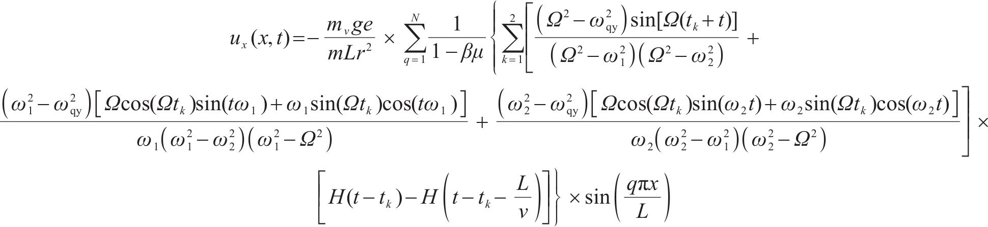
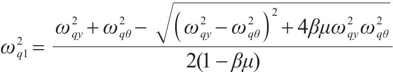
式中:λ=Ω/ωqz是频率比;ωq1和ωq2为第q阶弯扭频率,定义如下:


前后轮的接触位移可以表示如下:

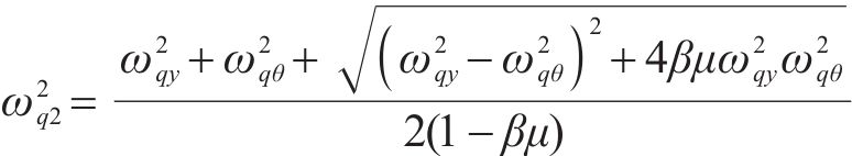
车辆是在桥梁上启动,因此车辆具备零初始振动条件。将式(20)代入式(1)和式(2),由杜哈梅积分得到车辆的点头位移和竖向位移解析解,为节省篇幅,仅展示了点头位移和竖向位移的积分解形式,即式(21)和式(22):


式中:

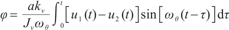
在解析解中,接触响应信号中会包含桥梁振动信号,比如左移竖向频率



2 有限元验证
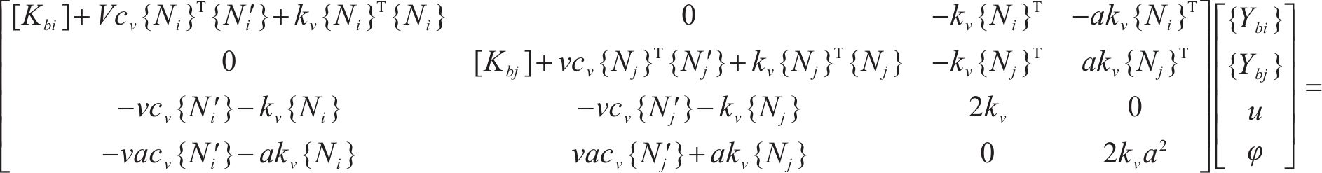
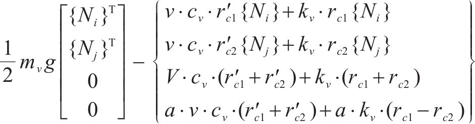
本文采用有限元模型验证解析解的正确性和模拟车桥的相互作用。值得一提的是,本文建立了一个三维车桥交互(vehicle-bridge interaction, VBI)模型,车辆为双轴车辆,梁是三维直梁。VBI单元通过能量法和有限元基本原理推导,为了节省篇幅,本节直接给出该三维VBI单元,即式(23)。该运动方程可由Matlab语言编程并求解。



式中:

与解析解类似,在本节的有限元验证中未考虑车辆阻尼和桥梁阻尼。根据图3所示的桥梁截面和表1中的车桥参数,采用Newmark-β方法求解VBI系统,时间增量设置为0.001 s,采样频率为1 000 Hz。接触响应的解析解取前20阶模态计算以保证结果的精度。为防止车辆初始振动对桥梁频率识别的影响,本项研究仅考虑车辆完全在桥上行驶这一阶段。根据图4~图6可知,有限元仿真结果和解析解吻合,接触响应的解析解是准确的。仿真结果也表明,通过车辆的竖向和点头振动信号反推车桥接触点响应的策略是有效的。




3 敏感性分析
3.1 路面粗糙度的影响
本节研究不同车速(10、20和30 km/h)和3种常见的路面粗糙度下,利用双轴车辆识别桥梁的竖向和弯扭频率的有效性。为了更贴合实际工况,在有限元模拟中,车辆和桥梁的阻尼也被考虑在其中。车辆的阻尼比取值为0.1,桥梁的阻尼比取值为0.02。A、B和C级路面粗糙度根据文献[22]产生,计算方法如下:


式中:n0是参考空间频率,取值为0.1 cycle/m;
本文主要研究桥梁的前3阶频率,即ω1z、ω11和ω12。但是ω11在B级和C级路面粗糙度下不易被检索到,因此在表2中仅计算了竖向频率ω1z和弯扭频率ω12。表2展示了在A、B和C级路面粗糙度下有限元模拟与理论值的相对误差值。由表2可知,使用双轴车辆的残余接触响应可以实现对桥梁频率的精确识别。在3种不同的粗糙度下,被识别频率ω1z和ω12的相对误差均少于5%,满足实际应用要求。
![]() | |||||
![]() | |||||
![]() | |||||
图7~图15分别展示了3种路面粗糙度和车速下的双轴车辆的残余接触响应谱。由于采用的3个车速相对较慢,左移频率和右移频率基本重叠,因此在一些残余接触响应谱中仅标注了部分竖向频率和弯扭频率而没有标注左右移频率。对于同等级路面,如A级粗糙度路面,频率ω1z和ω12始终保持其可见性,而ω11仅在10 km/h时可见。此外,随着车速增加,车辆对桥梁的能量输入增加,桥梁振动加剧。比如,桥梁的竖向频率ω1z的幅值从A级路面的0.46 mm/s2增加到B级路面的1.09 mm/s2,又增加到C级路面的1.30 mm/s2。对于同等车速,如10 km/h,路面粗糙度的恶化导致ω11可见性变差,以至于在C级粗糙度路面时不可见;在车速为20 km/h的C级路面时,尽管ω11可被识别,但却受到其附近噪声的干扰,而在30 km/h时,则完全无法识别ω11。需要说明的是,随着车速的增加,传感器的数据采集量减少,且随着路面粗糙度加剧,桥梁的竖向频率被噪声遮蔽(见图15)。弯扭频率ω12在图7~图15中均可被明显地识别到,且识别误差少于5%,因此弯扭频率ω12可以作为桥梁健康监测的重要模态参数,这为桥梁健康监测提供了新的途径。最后,考虑到识别的效率和精度,本文建议车速采用10 km/h。





3.2 车辆刚度的影响
本节研究不同竖向车辆刚度对桥梁频率识别的影响。车速为10 km/h,路面粗糙度等级为A级,车辆刚度选择50、500和5 000 kN/m这3种,其他参数与3.1节中的一致。图16展示了不同竖向车辆刚度下的频率谱。由图16可知,车辆的竖向刚度变化对桥梁的第1阶竖向频率ω1z影响最大。随着车辆刚度的增加,频率ω1z的振幅逐渐增加。相比之下,车辆竖向刚度变化对高阶频率ω11和ω12的影响不显著。因此在实际应用中,应合理地调节车辆刚度,以获得良好的桥梁频率效果,防止频率ω1z过大影响高阶频率ω11和ω12的识别。





4 试验研究
试验无法直接获得接触响应u1和u2,因此本文采用了一种间接方法。将传感器安装在车轴位置以获得车轮的加速度,然后间接地利用车轮的振动方程和差分法推算出接触响应。前后轮的接触响应u1和u2满足式(26)和式(27)。在实际应用中,一般车辆的竖向和点头运动可被传感器记录,车桥接触点的接触响应则可根据实测数据以及式(26)和式(27)并结合差分法确定。需要指出的是,车辆的点头加速度远小于其竖向加速度。因此,在试验过程中,出于操作方便,可以不必考虑车辆点头加速度。


式中:mwf和mwr分别为前后轮的质量。
如图17所示,试验的薄壁桥梁两端简支并固定在支座上,桥梁两端连接引桥。车辆由卷扬机匀速拉动,并从引桥出发,沿轨道驶出试验桥梁,车辆在行驶过程中偏心距始终保持在0.195 m。2个传感器紧固在车轴一侧,以准确捕捉车轴的竖向振动加速度。1个传感器紧固在车身中心位置,以测试车辆的竖向自振频率。试验桥梁长1.6 m,由32 m跨度箱梁按照1/20的比例缩小而成,材质为Q345钢,质量为120 kg,截面尺寸见图18,其自振频率通过自由振动试验(锤击法)获得,第1阶竖向频率和弯扭频率分别为58.55 Hz和75.61 Hz。车辆总质量为28 kg(包括传感器质量),竖向自振频率为19.36 Hz,行驶速度为0.142 m/s。传感器的采样频率为60 kHz,采样时间间隔为16.68 μs。


图19展示了由前后车轴振动加速度计算得到的残余接触响应。基于该数据,首先利用连续变分模态分解方法分解残余接触响应,然后获得每个分解信号的频谱图,即图20~图22。图20~图22表明:1) 由于车轮的阻尼和刚度,残余接触响应并无法完全消除车辆频率的影响;2) 桥梁的模态频率可以从双轴车辆的残余接触响应中识别到,识别到的竖向频率和弯扭频率分别为56.64 Hz和78.71 Hz,相对于真实值(58.55 Hz和75.61 Hz)的相对误差为3.28%(<5%)。该项试验验证了本文所提出的使用双轴车辆的残余接触响应提取桥梁模态频率的正确性,该方法满足实际桥梁健康监测的要求。

5 结论
1) 当车速大于10 km/h时,桥梁的第1阶竖向频率和第1阶弯扭频率会被桥面不平顺噪声掩盖。


2) 过大或过小的车速会使车辆对桥梁的能量输入减少,导致桥梁模态频率的振幅不易被识别,考虑到桥梁模态频率的识别效率和精度,建议车速为10 km/h。

3) 经试验验证,利用双轴车辆的前后轮的残余接触响应可获取桥梁的前2阶模态频率,较理论值的相对误差少于5%,满足工程使用要求。
4) 本研究改善了当前车辆扫描法技术中需要车辆重复运行和拖车辅助装置的不足,同时也为简支桥梁的健康监测提供了科学手段。
蔡勇,李学祺,彭宗来等.基于双轴车辆的简支桥梁模态频率识别研究[J].铁道科学与工程学报,2025,22(10):4587-4598.
CAI Yong,LI Xueqi,PENG Zonglai,et al.Study on the modal frequency identification of simply-supported bridges using two-axle vehicles[J].Journal of Railway Science and Engineering,2025,22(10):4587-4598.




