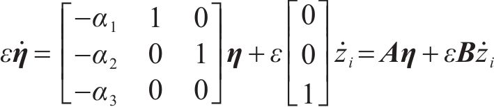
虚拟编组技术可依据城市轨道交通站内客流的出行需求,通过车-车通信灵活制定为虚拟编组列车[1],在不额外占用线路资源的前提下优化编组策略和开行方案。虚拟编组技术有效突破了传统信号控制系统中列车最小追踪间隔的限制,提升了列车开行总量。同时,其灵活的编组和开行策略能更好地适应线网客流变化,解决运力与需求不匹配的问题[2],尤其是在处理突发事件下的客流波动情况,展现出更高的调度效率。此外,虚拟编组技术突破了固定编组与可变编组对编组作业地点等条件的限制,可灵活快速地实现城轨运营中的解编与编组作业。与重载、高速铁路运行特征不同[3-4],城轨列车在多车协同控制时[5]需要面临轨道坡度大、转弯半径小、实时性高等问题。同时需要考虑轨道不平整、风阻等因素产生的协同干扰,导致列车群间追踪间隔紧凑性差,速度匹配度低,不能适应高密度开行需求的问题。因此,在车-车通信技术上研究虚拟编组运行组织形式下的多列车协同追踪运行控制方法,使列车按照需求的速度和位置稳定运行,对于实现智能动态调度具有重要意义。目前,已有学者将控制理论与算法相结合,研究虚拟编组下的多车协同追踪运行控制。如模型预测控制、PID控制、滑模控制、强化学习、智能控制、自抗扰控制等方法,从不同方面改善控制系统性能。FELEZ等[6]采用分布式模型预测控制对城轨虚拟编队列车进行协同;GUO等[7]设计变结构PID算法用于列车的高效控制;WANG等[5]采用滑模控制实现了多列车协同运行;SU等[8]基于强化学习提出新的控车策略;柴铭等[9]利用神经网络预测虚拟编组列车追踪轨迹;李中奇等[10]将自抗扰技术应用于多列车速度控制。根据规范要求[11],城轨多列车协同追踪运行控制过程中,控制系统需每秒对列车进行一次速度和位移的更新与调整,满足ATO曲线实时性要求。滑模控制(sliding mode control, SMC)以其快速响应和高鲁棒性的特点[12],用于城轨多列车协同追踪运行系统控制中。WANG等[13]在列车控制中,提出非奇异终端滑模控制(nonsingular terminal sliding mode control, NTSMC),有效解决传统滑模控制的奇异性问题,加快系统收敛速度;YAO等[14]用自适应律估计列车模型参数,优化模型动态响应;侯涛等[15]在滑模控制中引入预设性能函数,提升列车追踪精度。然而传统滑模控制存在抖振问题,严重影响控制器性能。为此,张友鹏等[16]用反正切函数构造非奇异终端滑模面,削弱抖振的同时,提升收敛速度;李中奇等[17]通过改进幂次趋近律,优化滑模控制的切换过程,进而降低抖振幅度;WANG等[18]设计自适应律算法,抑制抖振的同时,改善系统的鲁棒性。上述研究多集中于提升列车控制系统的收敛速度和削弱抖振,但在城轨多列车协同运行过程中易受外界干扰,使滑模控制器的扰动抑制性能下降。为此,刘帅等[19]用神经网预测系统未知干扰;MIAO等[20]采用扰动观测器、林俊亭等[21]应用高增益扰动观测器、WANG等[22]设计广义比例积分观测器,对控制系统中存在的外界干扰进行观测,提升滑模控制器的性能。然而,神经网络依赖干扰特性;扰动观测器在易变干扰下出现响应延迟;高增益扰动观测器依赖模型的精确性;广义比例积分观测器存在参数多且设计复杂的问题。因此,在多列车协同追踪运行系统控制中,采用扰动抑制能力强且不依赖模型精确性的扩张状态观测器(extended state observer, ESO),来实时估计并补偿外部干扰,从而有效提升系统的稳态性能。针对以上问题,构建基于扩张状态观测器的自适应非奇异终端滑模控制方法,解决城市轨道交通虚拟编组下多车协同运行中易受外界干扰,出现追踪精度及稳定性降低的问题,实现城轨多列车的协同控制。
1 城轨列车动力学模型
1.1 列车纵向动力学模型
在城轨多列车协同运行控制的研究中,基于牛顿第二定律,简化列车为质点,假设忽略轨道坡度和弯曲阻力,建立列车纵向动力学模型,如下所示:

式中:
















1.2 多列车协同追踪模型
在多列车协同追踪运行时,首辆列车追踪期望速度曲线,后续列车通过车车通信获取前车的速度和位置信息,实现对前车的跟踪。根据图1,建立多列车追踪动力学模型:

式中:











2 虚拟编组技术下多车协同运行列车控制器设计
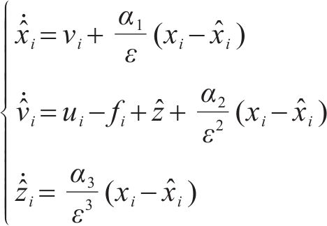
对虚拟编组下的城轨多列车协同追踪运行控制系统,设计基于扩张状态观测器的自适应非奇异终端滑模控制(adaptive non-singular terminal sliding mode control with expanded state observer, ANTSMC-ESO),控制器的原理如图2所示。

2.1 自适应非奇异终端滑模控制器设计
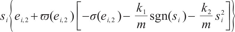
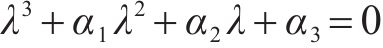
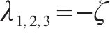
为使多列车协同控制系统在短时间内收敛且避免求解中的奇异问题,结合式(2)设计非奇异终端滑模面:

式中:




结合式(2)与式(4)可推导出多列车协同控制系统的等效控制律:

令

式中:


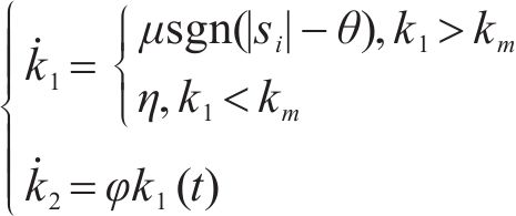
由于控制律(7)无法实现对干扰

对控制律(8)进行稳定性证明,定义关于





式中:令






式中:




式中:







由式(11)易知,当









2.2 扩张状态观测器设计
为解决外界干扰对多列车协同运行控制系统的影响。根据式(1),设计扩张状态观测器:

式中:



















由式(16)可得













且




2.3 带扩张状态观测器的自适应非奇异终端滑模控制器设计
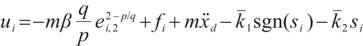
将扩张状态观测器所得的干扰观测值代替式(7)中的实际干扰,并结合式(12)构建基于扩张状态观测器的自适应非奇异终端滑模控制律:

式中:





式中:令




根据积分不等式,针对




故取



取

当












足够大的





3 仿真验证与结果分析
为验证本文所提控制方法的有效性,选用3辆城轨B型单元列车为研究对象,并结合模拟运行区间和实际运行区间,利用Matlab/Simulink进行验证。城轨列车参数如表1所示。
| 参数 | 数值 |
|---|---|
列车质量![]() | 3.6×104 |
静态阻力系数![]() | 5×103 |
滚动阻力系数![]() | 3.880 8×102 |
空气阻力系数![]() | 8 |
固定安全间距![]() | 10 |
3.1 多列车协同情境下的控制方法有效性验证
3.1.1 模拟场景下多列车协同控制方法有效性验证
按照城轨最高运营速度,取列车v=22 m/s为最高速度,以城轨列控牵引、巡航、制动工况进行实验。取区段运行时间720 s,将进行不同工况下单元列车协同运行。实验分为5个阶段:第1阶段以加速度a=-0.22 m/s2牵引至v=22 m/s;第2阶段以v=22 m/s巡航运行;第3阶段以a=-0.09 m/s2制动至v=13 m/s;第4阶段以v=13 m/s的速度巡航运行;第5阶段以a=-(13/120) m/s2制动至v=0 m/s。为验证所提控制方法在干扰环境中的有效性,加入
| i | xi(t0)/m | vi(t0)/(m∙s-1) |
|---|---|---|
| 1 | 30 | 0 |
| 2 | 20 | 0 |
| 3 | 0 | 0 |
根据列车实验工况及初始参数的设定,运用多列车追踪方程(2)并结合式(19),实现3单元列车的协同追踪运行控制,实验模拟结果如图3所示。

根据上述3单元列车协同追踪过程,并统计协同追踪速度误差、位移误差结果如表3所示。
| 阶段 | 时间/s | 工况 | e1, 1/m | e2, 1/m | e3, 1/m | e1, 2/(m∙s-1) | e2, 2/(m∙s-1) | e3, 2/(m∙s-1) |
|---|---|---|---|---|---|---|---|---|
| 1 | [0, 100] | 牵引 | 0.026 7 | 0.021 6 | 0.094 2 | 0.011 2 | -0.013 6 | 0.039 5 |
| 2 | [100, 400] | 巡航 | -0.022 0 | -0.012 7 | -0.016 9 | 0.035 6 | 0.002 7 | -0.048 5 |
| 3 | [400, 500] | 制动 | 0.039 6 | -0.029 8 | -0.046 1 | -0.025 6 | -0.023 8 | -0.017 3 |
| 4 | [500, 600] | 巡航 | 0.018 2 | 0.025 9 | 0.026 8 | -0.040 2 | 0.045 9 | -0.027 2 |
| 5 | [600, 720] | 制动 | 0.033 1 | 0.027 8 | 0.064 5 | 0.011 3 | -0.025 8 | 0.040 2 |



由图3(c)和图3(d)可知,速度误差在166 s处为-0.001 0、-0.001 2、-0.002 0 m/s,在167 s处为-0.001 1、-0.001 3、-0.002 1 m/s;位移误差在315 s处为0.000 5、-0.000 7、-0.001 8 m;在316 s处为0.000 6、-0.000 7、-0.001 9 m。以上每秒对速度和位移的调整结果均满足ATO曲线的实时性要求。
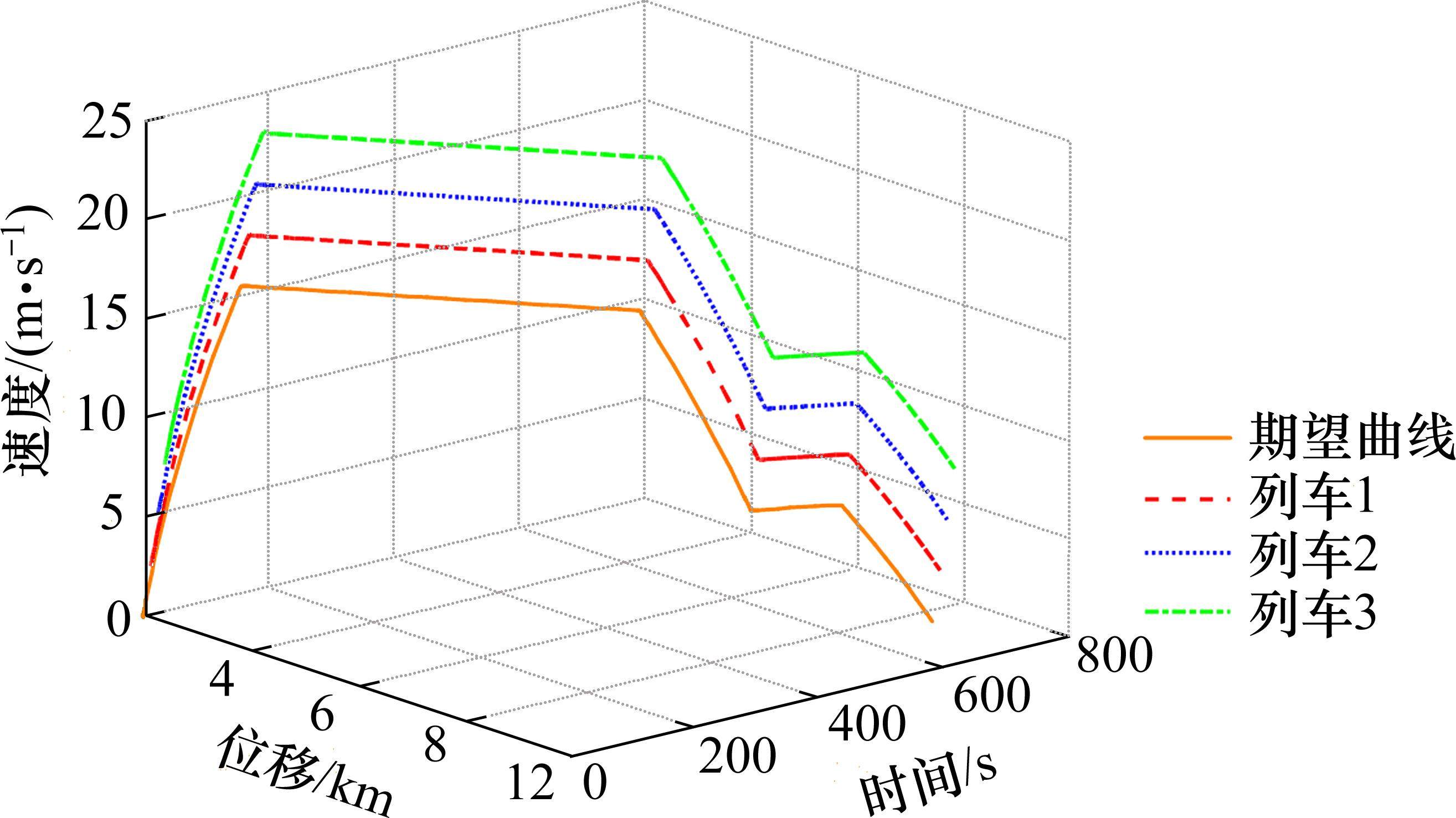
为便于直观体现3列车协同追踪运行的状态变化,对协同运行进行三维展示,如图4所示。

从图3(a)和图3(b)可以看出,采用本文的控制器,各单元列车均能实现对期望速度和位移的跟踪;从图3(c)和图3(d)及表3得出,在各阶段3列车协同的最大速度误差值为-0.048 5 m/s,最大位移误差值为0.094 2 m,依据中国列车运行控制系统[11](TB/T 3530—2018),列车间速度误差少于追踪速度的2%,位移误差控制在±0.1 m内,以上指标均满足行业标准。
3.1.2 实际场景下多列车协同控制方法有效性验证
为验证所提控制方法在实际工程应用中的有效性,选取兰州地铁1号线奥体中心设备集中站至兰州城市学院设备集中站开行状态时的实际线路作为协同列车实际运行场景,如图5所示。

按照3.1.1节的方法设计实际工程场景下的3列车协同追踪运行过程,如图6所示。

结合实际工程场景对3列车协同运行的追踪误差进行了统计,结果如表4所示。
| 阶段 | 时间/s | 工况 | e1, 1/m | e2, 1/m | e3, 1/m | e1, 2/(m∙s-1) | e2, 2/(m∙s-1) | e3, 2/(m∙s-1) |
|---|---|---|---|---|---|---|---|---|
| 1 | [0, 63] | 牵引 | 0.031 6 | -0.037 8 | 0.096 2 | -0.016 1 | -0.021 6 | 0.030 1 |
| 2 | [63, 141] | 巡航 | -0.022 1 | 0.012 7 | 0.033 6 | 0.028 0 | -0.016 7 | 0.068 2 |
| 3 | [141, 212] | 牵引 | -0.035 2 | -0.028 8 | -0.035 7 | -0.054 7 | -0.021 8 | -0.006 1 |
| 4 | [212, 322] | 巡航 | 0.026 5 | -0.032 9 | 0.034 2 | -0.002 5 | -0.000 9 | -0.029 8 |
| 5 | [322, 400] | 制动 | 0.021 6 | -0.053 7 | 0.073 6 | -0.002 1 | -0.006 8 | 0.001 3 |



结合图6和表4,并依据3.1.1节中的验证方式,求解后得到实际线路下3单元列车间最大速度误差值为-0.054 7 m/s和最大位移误差值为0.096 2 m均满足精确追踪。同时3列车协同追踪时3车每秒对速度和位移调整均满足ATO实时性要求。
3.2 控制器有效性验证
3.2.1 扩张状态观测器有效性验证
城轨多列车协同运行过程中,会受到轨道不平整、风阻等外界干扰。将轨道不平整视为干扰1,并用


式中:




由图7(a)和图7(b)可以看出,在观测过程中,干扰1的最大观测误差为0.002 8 kN,干扰2的最大观测误差为0.006 7 kN;观测值和实际值紧密贴合,观测器均能在较短时间内实现收敛,实现了未知干扰的快速估计,有效抑制了外界干扰对多列车协同追踪运行的影响。
3.2.2 控制器性能比较
为验证所提控制方法的优越性,将扩张状态观测器非奇异终端滑模控制(extended state observer non-singular terminal sliding mode control, NTSMC-ESO)、扩张状态观测器滑模控制(Extended state observer sliding mode control, SMC-ESO)及扩张状态观测器反正切非奇异终端滑模控制(extended state observer arctan terminal sliding mode, ARCTSMC-ESO)3种控制方法进行对比。
以多列车协同中的第1个列车单元为例,按照图2在Matlab/Simulink中搭建控制器,结合表2城轨列车参数及运行5个阶段,对4种控制方法进行对比分析。参数设置:ANTSMC-ESO参数









依据文献[21]中时间乘方速度误差积分



式中:




| 控制方法 | 图8(a)![]() | 图8(b)![]() | 图8(c)![]() |
|---|---|---|---|
| ANTSMC-ESO | 0.083 7 | 0.224 7 | 1.046 6 |
| NTSMC-ESO | 0.732 8 | 1.988 8 | 1.688 2 |
| SMC-ESO | 0.965 4 | 2.471 6 | 2.498 0 |
| ARCTSMC-ESO | 0.095 2 | 0.345 8 | 1.148 5 |
由表5可知,ANTSMC-ESO方法在收敛速度、抗干扰能力和控制力输出稳定的性能最好,其次是ARCTSMC-ESO方法,NTSMC-ESO次之,最后是SMC-ESO。与ARCTSMC-ESO方法相比,ANTSMC-ESO方法的速度误差


4 结论
1) 所提出的基于扩张状态观测器的自适应非奇异终端滑模控制方法,在外界干扰存在的条件下,能够确保列车在不同运行阶段紧密跟踪期望轨迹。列车之间的追踪误差在动态转换阶段保持在较小范围内。同时,扩张状态观测器能够有效观测外界干扰,抑制了干扰对多列车协同追踪运行的影响,增强了系统的鲁棒性。
2) 与NTSMC-ESO、SMC-ESO、ARCTSMC-ESO方法相比,所提方法在速度误差、位移误差和控制力输出方面表现更优。实验结果表明,ANTSMC-ESO与ARCTSMC-ESO相比,速度误差


3) 在实际工程运行场景中,ANTSMC-ESO控制方法的有效性得到了验证。多列车协同追踪运行的实际速度与期望速度紧密贴合,追踪误差波动平稳。所提控制方法能够满足城市轨道交通虚拟编组多列车协同控制的高实时性、高精度和高鲁棒性需求。
左静,严龙刚,杨乔礼等.虚拟编组下基于扩张状态观测器的城轨列车多车协同自适应滑模控制[J].铁道科学与工程学报,2025,22(10):4412-4423.
ZUO Jing,YAN Longgang,YANG Qiaoli,et al.Multi-train coordination adaptive sliding mode control for urban rail trains based on extended state observer under virtual grouping[J].Journal of Railway Science and Engineering,2025,22(10):4412-4423.












