随着城市轨道交通的网络化运营和客流量持续增长,车站在运营实践中逐渐凸显出集散能力与客流需求不匹配的问题,影响轨道交通线路乃至网络系统的运营安全和效率。车站设计客流作为车站规模确定的关键参数,其预测结果的准确性直接体现了车站规模、投入与效益之间的平衡性和可信度。因此,剖析车站设计客流的影响因素及其作用机制,对于提升客流预测信度及优化车站规划设计质量具有重要意义。目前,轨道交通客流预测及评审的主要关注点是线路客流或车站全日客流,而作为决定车站设计规模的车站设计客流未引起足够重视。在客流预测过程中,通常默认车站高峰时段统一等于所属线路高峰时段,直接将线路高峰小时对应的车站客流用作车站设计客流[1-5]。然而,在实际运用中,经常发现部分车站的高峰小时客流量明显偏小,不能作为车站设计客流,原因可能是这些车站的高峰客流发生时段与全线早、晚高峰时段不一致[6]。顾丽萍等[1]发现日本大阪多数车站与线路存在约30 min的高峰偏差,中国上海有30.36%的车站也面临类似情况。YU等[7]发现重庆地铁1、3、6号线中分别有69.57%、69.44%和70.83%的车站与线路存在高峰偏差。西安市[3-4]、北京市[8]、南京市[9]和深圳市[10]等也存在此现象。因此,不应以线路客流高峰时段所对应的车站客流作为车站的设计客流,而应采用“车站自身高峰小时客流”作为车站的设计客流量,从而合理控制车站的规模和建设成本。建成环境是指涵盖众多空间特征的城市形态[11]。建成环境空间变量可以影响出行的产生和吸引,从而进一步影响交通动态[12]。已有研究已证实建成环境对车站时变客流有显著影响,影响变量大致可分为土地利用、网络属性、可达性和车站类型4类。土地利用方面,站点周边用地布局的差异化导致了车站客流时间分布的异质化[13];相同的土地利用模式和强度对不同时间和地点的客流量产生不同的影响[14]。ZHAO等[15]将用地类型划分为办公、居住、商业、教育、宾馆、餐饮、娱乐、购物、医疗等,利用K-Medoids聚类和多元线性回归方法,发现居住用地与早进站和晚出站高峰客流密切相关,而办公、娱乐、购物和医疗用地与早出站和晚进站高峰客流密切相关。陈宽民等[16]划分为通勤出行用地(居住、行政办公、教育科研、工业)和其他出行用地(商业服务业设施、文化设施、医疗卫生、文物古迹、交通枢纽),基于K-Means聚类和统计分析发现当通勤出行用地/其他出行用地<0.5时,车站高峰时段将有不同程度的偏差。沈景炎等[17-18]发现商业文化中心区域的车站更易出现高峰偏移现象。平少华等[10, 19]也有类似研究。网络属性方面,学者们主要考虑了与市中心距离和中介中心性。ZHAO等[9]发现与市中心距离与车站客流呈显著相关。SHAO等[20]发现中介中心性对地铁客流预测的相对贡献率为14.6%。关于可达性变量,公交线路数量和道路密度被证实与车站高峰客流显著关联。SUNG等[21]发现公交线路数量与早高峰进、出站客流均呈显著正相关。LI等[22]发现道路密度与早高峰出站和晚高峰进站客流呈显著正相关。车站类型主要考虑了首末站和换乘站[15, 23]。LI等[22]将换乘站视作哑变量,发现其与车站高峰客流高度相关。DENG等[24]指出首末站哑变量对车站客流具有显著的促进作用。此外,DENG等[24]还考虑了人口与就业变量。虽然上述文献对车站客流高峰的建成环境影响因素进行了一定的探讨,但所使用的方法多基于聚类和统计分析,缺乏量化关系建模,因此研究结论多停留在宏观层面的经验性指导。此外,这些方法先验性假设了建成环境与车站客流之间线性相关,而已有研究发现建成环境与客流量之间可能存在复杂的非线性关系[25],即建成环境变量只有在特定范围内才对车站客流产生显著影响。因此,线性假设并不符合实际情况,可能会扭曲真实关系,导致对变量的作用效应产生不正确的估计,进而对车站设计和用地规划实践产生错误的指导。为了弥补这些不足,本文以高峰偏差为切入点,采用“车站自身高峰小时客流”作为车站设计客流,基于极端梯度提升树模型(Extreme Gradient Boosting Tree model,XGBoost)和部分依赖图(Partial Dependence Plot,PDP)探究建成环境对车站设计客流的贡献度和非线性影响,明确车站设计客流的关键因素及阈值效应,并进一步分析车站客流在线路高峰与自身高峰时段的影响差异,推断高峰偏差的影响因素。以期为客流预测模型校正、车站设施规模测算及车站周边用地规划提供决策依据。
1 研究区域及变量
1.1 研究区域
以西安市为研究区域,选取西安地铁1~6号线、9号线和机场线的153座车站作为研究对象。客流数据采用2021年5月连续一周5个工作日的AFC数据,彼时,客流强度为1.394万人次/km,位居全国第3。网络规模水平和总体客流量表明以西安市作为案例城市具有一定的代表性。图1显示了线路和站点的空间分布。

1.2 建成环境变量及描述
结合已有研究成果、数据可获取性和研究目的,构建涵盖土地利用、网络属性、可达性和车站类型4个维度16个影响因素的建成环境指标体系。
1) 土地利用
土地利用通过影响出行目的从而决定车站客流高峰[2]。依据《国家城市土地利用分类标准》(GB 50137―2011),将用地类型划分为9类:居住、办公、商业、中小学、大学、休闲、医疗、交通枢纽和待开发。计算各类型用地的建筑面积占比作为土地利用类变量。通过百度地图API结合Python获取的POI数据确定用地类型。在卫星地图的辅助下结合街景人工测量以及建筑物容积率计算获得建筑总面积。此外,混合用地熵用于衡量土地利用多样性,数值越大表明用地异质性越高,计算式见式(1)。

式中:
2) 网络属性
网络属性类变量包括与市中心距离和中介中心性。与市中心距离通过百度地图测量得到。中介中心性衡量站点在网络中作为连接其他站点的“桥梁”的重要程度,计算式见式(2)。

式中:

3) 可达性
可达性类变量包括道路密度和公交线路数量。通过百度地图API获取OpenStreetMap道路网及公交线网,将其底图导入ArcGIS软件中进行分析统计计算获得。
4) 车站类型
首末站和换乘站由于具有更大的吸引范围而具有更高的客流量。因此,将车站类型划分为换乘站和首末站,视作2个哑变量纳入车站类型指标体系。
根据西安市地铁车站接驳范围调查结果,车站对步行、公交接驳吸引范围在1 000 m内的客流比例达到81.24%,故本文将车站的影响范围半径设为1 000 m,并使用ArcGIS构建泰森多边形来划分重叠区域[26]。各建成环境变量的具体描述及统计结果见表1。
| 变量类别 | 变量名 | 变量描述 | 平均值 | 标准差 | 最小值 | 最大值 |
|---|---|---|---|---|---|---|
土地 利用 | 居住用地占比 | 车站吸引范围内居住用地建筑面积占比 | 0.61 | 0.29 | 0.02 | 0.88 |
| 办公用地占比 | 车站吸引范围内办公用地建筑面积占比 | 0.11 | 0.21 | 0.00 | 0.38 | |
| 商业用地占比 | 车站吸引范围内商业用地建筑面积占比 | 0.05 | 0.08 | 0.00 | 0.50 | |
| 中小学用地占比 | 车站吸引范围内中小学用地建筑面积占比 | 0.01 | 0.01 | 0.00 | 0.18 | |
| 大学用地占比 | 车站吸引范围内大学用地建筑面积占比 | 0.02 | 0.06 | 0.00 | 0.33 | |
| 休闲用地占比 | 车站吸引范围内休闲用地建筑面积占比 | 0.04 | 0.13 | 0.00 | 0.28 | |
| 医疗用地占比 | 车站吸引范围内医疗用地建筑面积占比 | 0.01 | 0.05 | 0.00 | 0.41 | |
| 交通枢纽用地占比 | 车站吸引范围内交通枢纽用地建筑面积占比 | 0.05 | 0.12 | 0.00 | 0.78 | |
| 待开发用地占比 | 车站吸引范围内待开发用地建筑面积占比 | 0.11 | 0.23 | 0.00 | 0.83 | |
| 混合用地熵 | 混合用地熵 | 0.34 | 0.17 | 0.01 | 0.71 | |
| 网络属性 | 与市中心距离/km | 与市中心距离 | 10.65 | 6.89 | 0.24 | 30.60 |
| 中介中心性 | 中介中心性 | 0.10 | 0.08 | 0.00 | 0.48 | |
| 可达性 | 道路密度/(km·km-2) | 车站吸引范围内道路总长度与吸引范围面积之比 | 3.43 | 1.51 | 0.93 | 9.07 |
| 公交线路数量 | 公交线路数量 | 55 | 36 | 1 | 169 | |
| 车站类型 | 首末站哑变量 | 是否为首末站(1=是,0=否) | 0.08 | 0.26 | 0.00 | 1.00 |
| 换乘站哑变量 | 是否为换乘站(1=是,0=否) | 0.10 | 0.29 | 0.00 | 1.00 |
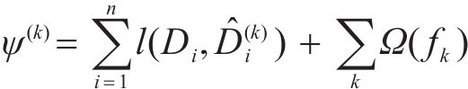
2 车站设计客流影响机理研究方法
2.1 车站设计客流时段划分
由于站、线高峰偏差的存在,采用车站自身高峰小时客流作为车站设计客流。考虑到车站客流在早、晚高峰和进、出站方向具有不同的高峰特性,合并统计会削弱峰值比例,从而低估高峰时段客流的影响,故将车站设计客流细化为4种不同时段的类型:早进/出站高峰时段(MB,MA)和晚进/出站高峰时段(EB,EA)。将各车站在工作日4个时段对应的4类车站设计客流的平均值,设置为建模因变量,样本量为153*4。
2.2 非线性影响关系构建
基于Bagging和Boosting的集成学习方法常常被用于探究自变量对因变量的非线性影响,XGBoost相比于随机森林、梯度提升树等机器学习模型,在预测与解释性能和防止多重共线性与过拟合方面表现出较好的优势[27]。因此,利用XGBoost基于4类建成环境解释变量对车站设计客流进行建模,步骤如下。
1) 树生成和车站设计客流提升
在XGBoost中,通过迭代的方式不断增加新的决策树从而提升车站设计客流的估计精度,最终所有决策树的估计结果之和为车站设计客流的估计输出。树生成和车站设计客流提升过程如式(3)所示:

式中:



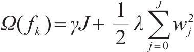
2) 正则化学习目标
为了控制车站设计客流估计过程中的过拟合和克服建成环境变量的多重共线性,XGBoost在简单的梯度增强算法的基础上,在目标函数中引入了正则化项。因此,模型的复杂度可以通过正则化项的收缩系数来控制,迭代k时XGBoost的目标函数如式(4)和式(5)所示:


式中:n为车站总数;l为均方误差损失函数;



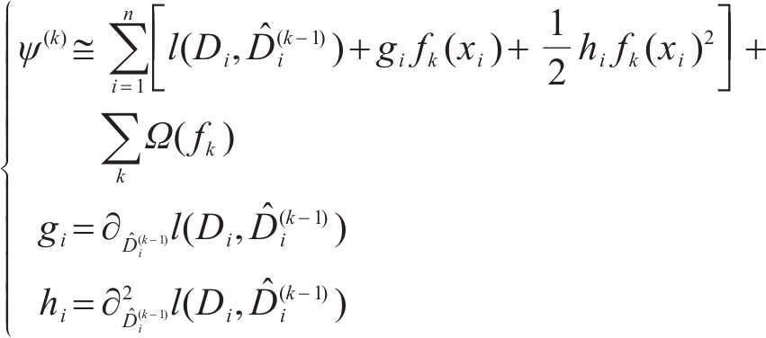
3) 确定最佳树结构
在XGBoost中识别最佳树结构对于获得车站设计客流的最佳模型估计结果非常重要。采用增量训练的方式不断优化目标直到最小。将损失函数项进行泰勒展开,确定具体的优化参数,优化后XGBoost的目标函数如式(6)所示:

式中:

2.3 模型解释
1) 相对重要度
解释变量的重要度是树模型最重要的解释工具,其值越大,表明此因素被更多地用于构建决策树,相应的重要性越高。根据模型最终训练结果,每个解释变量的相对重要度


式中:






2) 非线性影响
部分依赖图(PDP)是解释机器学习模型预测结果的另一重要工具,利用部分依赖函数[28]来描绘建成环境变量对车站设计客流的非线性影响及存在的阈值效应,具体函数如下:


式中:





3 模型结果与分析
3.1 模型结果对比
为证实非线性XGBoost模型的优势并确保接下来模型分析结果的稳健性,将其与其他2种先进的非线性模型(随机森林RF、梯度提升树GBDT)和3种具有代表性的线性特征选择模型(岭回归Ridge、回归特征消除RFE、最小绝对收缩和选择算法LASSO)进行预测结果对比。采用五折交叉验证和网格搜索法确定4个时段XGBoost模型的超参数的最优值,设置最大决策树数量分别为14、15、12、15,最大树深为4、10、10、6,学习率为1、0.9、1、0.8,子样本为0.5、0.4、0.5、0.6,列子样本为0.7、0.5、0.6、0.6,正则化参数γ为0.2、0.3、0.1、0.2,正则化参数λ为0.01、0.22、0.03、0.16。选取数据集的25%作为测试集来实施模型的性能评价,评价结果如表2所示。
| 时段 | MB | MA | EB | EA | ||||
|---|---|---|---|---|---|---|---|---|
| 指标 | R2 | RMSE | R2 | RMSE | R2 | RMSE | R2 | RMSE |
| RF | 0.839 | 425 | 0.819 | 537 | 0.835 | 365 | 0.842 | 377 |
| GBDT | 0.846 | 407 | 0.845 | 435 | 0.846 | 293 | 0.847 | 336 |
| XGBoost | 0.858 | 349 | 0.870 | 351 | 0.873 | 264 | 0.850 | 313 |
| Ridge | 0.625 | 1055 | 0.588 | 1 209 | 0.692 | 791 | 0.675 | 797 |
| RFE | 0.589 | 1240 | 0.522 | 1 323 | 0.551 | 1 154 | 0.673 | 870 |
| LASSO | 0.595 | 1074 | 0.573 | 1 256 | 0.578 | 1 018 | 0.677 | 815 |
选择R2和均方根误差(RMSE)作为模型性能的2个综合评价指标。首先,3种非线性模型在拟合优度和估计误差方面均优于3种线性模型,拟合优度分别在81.9%~87.3%和52.2%~69.2%之间,估计误差分别在264~537和791~1 323之间,证实了车站设计客流中非线性的存在。其次,3种非线性模型中,车站设计客流量被解释的比例从RF模型的81.9%~84.2%和GBDT模型的84.5%~84.7%增加至XGBoost模型的85.0%~87.3%,各模型的RMSE值从RF模型的365~537和GBDT模型的293~435降至XGBoost模型的264~351,表明XGBoost在模拟车站设计客流方面优于其他2种非线性模型。因此,XGBoost模型整体表现更优,拟合结果更加精确。
3.2 解释变量的相对重要度
1) 个体相对重要度
图2以百分比的形式展示了排名前10位的建成环境变量的相对重要度,解释了4个时段87%~91%的车站设计客流取值变化。不同时段建成环境变量的相对重要度存在差异。进站方向,公交线路数量、与市中心距离、待开发用地占比、交通枢纽用地占比、混合用地熵、中介中心性和道路密度对早晚高峰车站设计客流有显著贡献,联合贡献度分别为76%和64%;居住用地占比、办公用地占比和医疗用地占比仅在早高峰有重要贡献,而换乘站、中小学用地占比和商业用地占比仅在晚高峰有重要贡献。出站方向,公交线路数量、换乘站、道路密度、首末站、与市中心距离、交通枢纽用地占比和休闲用地占比是早晚高峰车站设计客流的共有解释变量,联合贡献度分别为71%和70%;中小学用地占比、待开发用地占比和商业用地占比仅对早高峰有重要贡献,而混合用地熵、居住用地占比和办公用地占比仅对晚高峰有重要贡献。

总体而言,公交线路数量和与市中心距离对4个时段车站设计客流有较高且稳健的影响,贡献度超过5%,是车站设计客流预测的关键因子。交通枢纽用地占比和与市中心距离的影响具有潮汐性,前者以早出站和晚进站为主,后者则以早进站和晚出站为主,表明以公务、探亲访客为目的的对外出行以及中长距离通勤出行具有较强的双向同质性。道路密度和公交线路数量的影响具有方向异质性,各自以出站、进站为主,表明通勤者在起始端更依赖于通过公交接驳到达地铁站,而在终点端倾向于通过步行、非机动车等方式到达目的地,揭示了相较于出发地,通勤者更关注目的地的绿色交通出行环境及效率。
2) 集体相对重要度
4类变量的集体相对重要度如表3所示。就4个高峰时段而言,土地利用和可达性的相对重要度较高且稳健,分别为33%~39%、23%~36%。网络属性变量的相对重要度具有时空潮汐性,早高峰时段对进站方向客流的影响大于出站方向,分别为24%和7%,而晚高峰时段则相反,分别为17%和27%。这表明,随着时间的推移,网络属性变量的主导影响逐渐从起始端向目的端转变,可能原因是职住分离度较高,居民通勤距离和通勤耗时较长。车站类型变量的影响主要集中在早出站高峰时段,重要度为23%,表明这一时段通勤者的刚性需求较为强烈。相较于出发地,通勤者更关注目的地站点的接驳换乘、服务延伸等功能及出行效率。建成环境变量的集体贡献度平均值表明,从总体水平上,影响车站设计客流最重要的因素是土地利用(35%),其他要素依次为可达性(31%)、网络属性(19%)和车站类型(14%)。
| 高峰时段 | MB | MA | EB | EA | 平均值 |
|---|---|---|---|---|---|
| 土地利用 | 0.39 | 0.36 | 0.33 | 0.34 | 0.35 |
| 网络属性 | 0.24 | 0.07 | 0.17 | 0.27 | 0.19 |
| 可达性 | 0.33 | 0.33 | 0.36 | 0.23 | 0.31 |
| 车站类型 | 0.03 | 0.23 | 0.14 | 0.17 | 0.14 |
3.3 关键建成环境变量对车站设计客流的非线性效应
为进一步探究建成环境变量与车站设计客流之间复杂的关系,为用地规划和交通管理提供有效范围指导,基于XGBoost的建模结果,根据变量重要度排序,利用部分依赖图描绘各关键变量对车站设计客流的非线性影响和阈值效应。
图3描绘了土地利用类关键变量与车站设计客流之间的关系。对于通勤用地而言,其在早进站和晚出站高峰时段均对车站设计客流具有阈值效应。当居住比例在0.60~0.90时,对应时段车站高峰客流分别增加约500人、250人;当居住比例超过0.90时,车站高峰客流爆发式增长,极易出现瞬时大客流集聚及高峰偏差的风险。当办公比例从0增加到0.2时,车站高峰客流分别下降约500人、250人。非通勤用地中,商业用地占比的影响幅度较大,且呈一致性非线性正向影响,4个时段的阈值分别为0.06、0.14、0.14、0.07,启示规划人员应将站点周边商业用地面积控制在一定范围内,否则易形成高峰偏差。交通枢纽用地占比仅在晚出站高峰时段呈非线性影响,当其从0增加到0.03时,车站设计客流下降约550人,这意味着适当地提升交通枢纽用地比例有助于减缓车站高峰客流拥挤的压力。

值得注意的是,同为教育用地范畴,中小学用地和大学用地对车站设计客流的影响具有显著差异性。其中大学用地的相对重要度较低,影响不明显,而中小学用地在早出站和晚进站高峰时段呈非线性负向影响,占比阈值为0.005。表明大学用地与车站高峰客流无关,可能原因是大学生通常在校内住宿且受学业限制,更倾向于在周末出行。待开发用地的合理规划有助于提升早进站、早出站和晚进站3个高峰时段的车站客流,但提升效果有限,仅当用地占比在0.1以内时影响显著。混合用地熵仅在早进站和晚出站高峰时段非线性效应显著,负向有效范围集中在0.05~0.2之间,对应的客流降幅分别为300人、400人,表明混合用地熵应至少达到0.05才有效,增加土地利用的多样化有助于平衡高峰期和非高峰期的客流,减小早进站和晚出站客流高峰偏差出现的风险。
总体而言,土地利用类各关键变量与车站设计客流存在非线性联系,特别是阈值效应,且不同变量在不同时段的影响模式有所不同。变量对晚高峰客流的生成量低于早高峰,这可能与早高峰客流更多是通勤客流直接相关,通勤客流的上班时间相对比较稳定、集中;晚高峰的形成则受更多的因素干扰和影响,地铁出行活动的选择相比早高峰更加多样化,时间跨度长、客流分布亦更平缓。
图4描绘了网络属性类变量与车站设计客流之间的关系。与市中心距离和中介中心性在4个时段均呈非线性影响,但影响作用相反。与市中心距离呈负向影响,这一发现与已有研究[9, 15]一致。其有效影响范围为10~15 km,客流降幅约为700~1 750人次。其中,早高峰进站方向的影响大于出站,晚高峰则出站方向的影响大于进站,反映了各时段城市交通的主要方向,即早高峰时段进站通勤出行向市中心移动,晚高峰时段出站通勤出行远离市中心,这一发现反映了明显的职住分离现象。早进站高峰时段客流降幅最大,可能原因是刚性的上班时间致使该时段通勤客流对距离变化比较敏感,职住分离程度高的居民可能会转移至其他交通方式,降低地铁出行的效应。这可以为地铁网络和城市功能区的布局提供启示。中介中心性具有正向影响,当其从0.10增加到0.25时,客流增幅约为200~300人次,然而,一旦超过0.25,客流量就会保持不变。表明只有在一定范围内,车站中介中心性的增加与客流量的增加有关。

图5描绘了可达性类变量与车站设计客流之间的关系。道路密度在4个时段呈非线性异质化影响,早出站和晚进站高峰时段影响为正,有效范围为4~5.2 km/km2,表明道路密度的提高对这2个高峰时段的车站客流有积极的影响,原因可能是道路连通度的增大提升了多式联运的便捷性从而吸引了更多的地铁客流;早进站和晚出站高峰时段呈轻微的负向影响,有效范围为2~2.5 km/km2,应该认识到,道路供应也会刺激汽车保有量和使用率[29],降低地铁对于基于家的通勤出行的吸引力,启示应谨慎考虑车站周围不同道路等级的合理配比。这一发现对城市规划有帮助。公交线路数量在所有时段的一致性积极影响表明,接驳公交服务对相当数量的地铁乘客完成出行链中从起点到目的地的整个出行的重要性,而不是进站和出站之间的出行,这些发现与CHOI等[30]的研究结果一致。依据影响幅度对高峰时段排序为早出站>晚进站>晚出站>早进站,相应的有效范围分别为[20, 45]、[20, 35]、[30, 35]、[25, 32],应强调多式联运在推动地铁客流量方面的重要性,通过在地铁站周围设置更多的接驳公交线路,地铁客流潜力将会进一步被挖掘。这些发现表明,通过改善土地利用、公交供应和站点网络地位来规避车站高峰偏差风险应关注其指标的有效范围。此外,由于站点类型为哑变量,因此换乘站、首末站和折返站哑变量的部分依赖图为直线。

3.4 车站客流在自身高峰与线路高峰的影响差异分析
地铁客流在一天的不同时间波动,因此,建成环境特征在线路高峰与车站自身高峰对车站客流的影响有所不同。本节通过对比建成环境对2类高峰车站客流的影响差异,推断识别潜在的差异项及车站高峰偏移的影响因素,为完善车站设计客流预测理论与方法提供依据。
图6和图7展示了XGBoost建模结果中各建成环境变量对车站客流在车站自身高峰与线路高峰的相对重要度的差值和箱线图。可以看出,变量相对重要度差值呈时空异质性分布,且各变量的异质化程度不尽相同。居住、办公、商业、大学、休闲、医疗、待开发用地和混合用地熵在4个时段的重要度差值较小,表明这些变量对线路高峰与车站自身高峰的车站客流影响程度较为接近。然而,换乘站、公交线路数量、与市中心距离及交通枢纽用地的重要度差值在时空上呈现显著的波动性,波动范围分别为[-0.06, 0.14]、[-0.1, 0.2]、[-0.15, 0.07]、[-0.14, 0.03],表明这些变量可能是解释线路高峰车站客流与车站自身高峰客流之间差异性的关键因素,也可能是影响车站高峰产生偏移的重要因素。


具体而言,早进站高峰时段,与市中心距离(-0.15)的影响重要度显著下降,可以推测城市外围车站在此时段更可能产生高峰偏移,且其对站点地理区位的依赖减弱;早出站高峰时段,公交线路数量(-0.1)和中小学用地(-0.06)的影响重要度显著降低,但换乘站(0.14)和首末站(0.06)的影响重要度显著上升,这意味着适当增加中小学用地比例、提升公交接驳服务有助于提高该时段的客流通勤率、减小车站高峰偏移的可能性;晚进站高峰时段,换乘站和中介中心性的影响重要度变化分别为-0.06、0.06,表明站点自身属性对此时段高峰偏移的影响显著,具有换乘功能的站点以通勤回家客流为主,对常规晚高峰进站客流贡献显著;而网络地位重要的站点通常也为城市商业、文化、经济活动中心,晚间吸引的到达客流以非通勤为目的的返程回家客流为主,由于该部分群体出行时间灵活、舒适性要求高,倾向于避开常规高峰出行。纵向对比4个时段重要度差值的分布特征,进站方向差值分布较为均衡,近似正态分布。晚出站高峰时段重要度变动的变量数量最多,意味着该时段车站高峰偏移的影响因素更为复杂,反映了晚高峰时段地铁出行活动或出行链更为复杂,这可能与下班后居民出行目的较为多元、出行时间更为分散有关。
4 结论
1) 非线性模型在预测所考虑时段车站设计客流方面均显著优于线性模型,证实了车站设计客流中非线性的存在。建成环境变量中,影响车站设计客流最重要的因素是土地利用(35%),其他要素依次为可达性(31%)、网络属性(19%)和车站类型(14%)。研究结果可作为城市轨道交通客流预测方法及模型设计的一种有益补充。
2) 建成环境对车站设计客流的影响机制在不同时段表现各异。公交线路数量和与市中心距离在所有时段均有较高且稳健的影响及阈值效应。居住用地占比超过0.90时,早进站和晚出站高峰时段的车站客流易出现高峰偏差。待开发用地对车站客流的提升作用有限,仅当其占比在0.1以内时有效。道路密度在早进站和晚出站高峰时段呈现负向影响,范围为2~2.5 km/km2,而在早出站和晚进站高峰时段则呈现正向影响,范围为5~5.5 km/km2。大学用地占比的影响曲线较为平稳。
3) 建成环境对车站客流的影响在线路高峰和车站自身高峰有所不同。换乘站、公交线路数量、与市中心距离和交通枢纽用地是解释车站高峰偏移的关键因素。早进站高峰时段,城市外围车站更易发生高峰偏移。适当增加中小学用地比例、提升公交接驳服务有助于降低早出站高峰偏移的风险。晚出站高峰时段车站高峰偏移的影响因素较为复杂,可能与下班后居民出行目的较为多元、出行时间更为分散有关。
鉴于居民的日常通勤活动主要集中在工作日,本研究主要聚焦于工作日车站设计客流的研究。对于特殊情况,如普通节假日、特殊节假日出现的车站高峰客流或体育场馆、会展中心等车站出现的偶然性突发客流未作考虑,此类特殊情况可通过客流组织方式,校核车站设计规模的适应性。
魏杰,李海军,吕斌等.建成环境对城轨车站设计客流的非线性影响研究[J].铁道科学与工程学报,2025,22(03):1016-1028.
WEI Jie,LI Haijun,LÜ Bin,et al.Nonlinear effect of built environment on station design ridership in urban rail transit[J].Journal of Railway Science and Engineering,2025,22(03):1016-1028.

