轨道交通列车自动驾驶系统通过智能化控制,可实现自动运行控制、节能控制、自动折返以及站台精确停车等。然而,对于站台精准停车仍存在一些问题。以地铁列车为例,2010—2015年,广州地铁3号线因电制动与气制动配合不当,共发生4 970次冲标故障,月均约69次,故障率高[1]。青岛地铁13号线自2018年试运行以来,因信号、车辆及环境因素导致停车精度频繁超限,需司机手动调整,影响运营效率和服务质量[2]。2018年6月青岛地铁2号线0212车由于制动级位下降点的速度值较正常对标时偏大,导致列车到达停车点时未完全停稳而造成在枣山路下行进站冲标60 cm,超出所要求的停车精度[3]。2020年4月,深圳地铁2号线多站发生冲标现象,冲标距离超50 cm,原因为信号系统响应不及时、减速度不匹配、车辆滑行及电空制动配合不平滑[4]。根据上述案例可知,地铁车辆精准对标停车问题在城市轨道交通领域持续存在,干线铁路列车也是如此,并且被公认为一项具有挑战性的难题。其复杂性源于多方面因素的综合影响,进一步强调了对轨道交通精准停车问题进行深入研究的迫切性。YASUNOBU等[5]提出一种基于模糊预测控制算法的停车方法,考虑到乘客舒适度、停车精度和运行时间等因素,成功减少了列车制动过程中的频繁切换,从而提升了停车的平稳性。进一步的研究中,SANDIDZADEH等[6]运用卡尔曼滤波法来优化列车停车过程中的多传感器数据融合,进一步提高了停车精度。KIM等[7]研究了停车误差的主要原因,包括制动力的非线性和速度接收延迟等问题,并通过加速度进行速度预测和非线性校正,以减少地铁停车误差。随着国内轨道交通的发展,相关的精确停车控制技术逐渐获得了更多关注。李茂青等[8]针对动车组精准停车问题,建立多质点非线性动力学模型并设计自适应控制器。仿真结果表明,该方法可实现动车组平稳运行和±5 cm以内的停车误差。何之煜等[9]通过结合列车牵引计算模型和制动系统模型,设计了一种基于终端滑模控制的精确停车算法,并引入参数自适应机制与扰动观测器,成功提高了城轨列车在外部扰动和不确定性下的停车精度和鲁棒性。吴鹏等[10]提出一种基于广义预测控制理论的多目标控制策略,旨在通过优化控制跟踪目标参考曲线来实现精确停车,减少制动过程中切换次数,提升列车的舒适性。刘晓宇等[11]通过提出基于鲁棒模型预测控制的精确停车算法,结合自触发控制策略,有效解决了高速列车停车过程中外部不确定性和干扰问题,确保了高精度的停车曲线跟踪,并通过减少控制输出切换频率提高了停车过程的舒适度和系统的实用性。石卫师[12]则提出一种无模型自适应控制算法,结合参数自适应和结构自适应控制,能够适应不同条件下的停车制动过程,实现了更精准且稳定的停车控制。国内学者在列车精确停车控制方面的研究不仅包括对传统控制算法的改进,还提出了多目标优化算法。ZHOU等[13]提出2种智能列车操作(STO)算法,通过强化学习和专家知识优化地铁能效,并优于现有ATO算法。LI等[14]通过采用改进的GSO算法(GSOANR)搜索最优运行轨迹,实现了节能优化并且确保了停车精度和舒适性。CAO等[15]提出一种基于模糊预测控制的列车速度控制器,成功实现了ATO系统的精准控制,显著提高了列车运行的安全性、舒适度和停车准确性。李蔚等[16]提出连续控制型和离散控制型列车节能速度曲线的优化策略,成功实现了基于多目标优化的列车驾驶策略,通过粒子群优化、模拟退火和模式搜索法优化列车速度曲线,有效降低了列车能耗,并在不同线路条件下验证了节能效果。基于上述研究基础,本文考虑实际应用和适用性,提出一种基于有限集模型预测控制方法的精准停车阶段动态优化方法,主要包含以下内容:1) 基于长沙地铁6号线的实际运行数据建立考虑制动延时与非线性响应的地铁列车制动模型,并通过粒子群算法进行参数辨识,为普适性列车精准停车动态优化提供可靠的理论依据和模型基础。2) 使用FSMPC对列车未来运动状态预测,实现对目标速度曲线以及目标位置曲线的跟踪控制,生成最优的制动策略,有效减少由于控制不精准引起的列车停车误差。3) 引入HMM模型,用于预测电空转换的最佳时机。通过实时分析列车运行速度,动态调整电空转换速度点,优化电空转换过程。
1 列车制动建模与验证
1.1 列车制动过程分析
列车在站台停靠时处于制动工况下,停车过程常采用空、电联合制动,在联合制动系统中,电制动与空气制动的动作至关重要,而在整个停车制动过程中,电空转换速度点的选择成为其中一个关键因素。
列车进站停车制动过程通常可分为3个阶段:电制动阶段、电空混合制动阶段以及空气制动阶段。地铁车辆处于高速阶段时采用电制动,低速阶段时采用空气制动。有效控制电空制动切换时刻,可以在确保列车安全运行,提高运行效率,并保障列车平稳性和安全性的同时,实现列车更精准的停车控制。
1.2 列车制动模型建立
制动控制器通过反馈调节实现对目标加速度的跟踪,这是一个动态的过程。列车制动系统的主要功能是实现功能一致的制动性能,由制动控制器进行控制。制动控制系统通过反馈调节实现对目标控车加速度的跟踪[17]。考虑电气和机械装置的传输延时,此动态过程可以近似为具有延时环节的1阶惯性传递函数系统来描述,是典型控制中1阶滞后纯延时环节。可以用下式来表示:

式中:




列车的实际减速度由制动控制系统产生的运行减速度和附加减速度构成,列车的实际运行速度由实际减速度来决定。其中,附加减速度主要由环境因素决定,其主要是由线路的坡道和弯道引起。由于所选取长沙地铁6号线A―B站的线路数据中坡道和弯道较小,可近似忽略不计,因此

目标减速度是由列车制动控制单元的输入指令来决定的,通过ATO系统输入的制动级位,并将该指令传输给对应的制动控制单元,最终由制动控制单元控制列车减速度对目标减速度进行跟踪。制动级位与目标加速度之间的关系可以用静态函数表示,如式(2)所示。即一个制动级位对应着一个目标减速度。根据A―B站线路运行数据拟合后可以得到制动级位与目标减速度的对应关系如图1所示。


其中,


1.3 列车制动模型辨识
在制动过程中,时滞现象是不可避免的,由压力和空气的传播速度、控制指令传输和制动传动杠杆机构传输时间以及电空阀、中继阀响应时间等时滞因素引起。时滞现象普遍存在于工程系统中,并对系统行为产生影响。由于时滞的引入,系统的力学行为不仅受当前状态影响,还受过去时刻状态的影响,这可能导致系统的失稳和更加复杂的动力学行为[18]。同时,由于与时滞相关的参数通常是未知的,实现非线性时滞系统的控制与同步需要准确地辨识系统参数,特别是延迟参数的精确值。由于非线性时滞系统参数辨识具有反问题的特性,可以通过优化方法来解决[19]。具体而言,利用优化算法可以有效地最小化系统输出与实际测量数据之间的误差,从而逐步逼近真实的系统参数。
粒子群算法因其强大的全局搜索能力,特别适用于非线性时滞系统的参数辨识。在实际应用中,考虑到干扰和噪声的影响,算法的鲁棒性尤为重要。因此,本文运用粒子群算法对制动模型进行参数辨识,以确保在复杂环境下获得可靠结果。
在上述制动模型中,有3个参数需要辨识:稳态增益



其中,N为实际运行值数据的数量;

在粒子群算法仿真程序中,将待辨识的参数向量记为

| 参数 | 设定值 |
|---|---|
| 最大迭代次数 | 100 |
| 粒子群个数 | 80 |
| 最大速度 | 1 |
| 最小速度 | -1 |
| c1 | 1.3 |
| c2 | 1.7 |
由表2中所得到的结果可以看出,针对长沙6号线地铁列车,在不同制动等级下的稳态增益K,时间常数θ,传输延时Tdel的参数辨识结果。结果如图2和图3所示,可以看出,各参数均稳定在合理范围内,表明所建立的制动模型能够较好地描述制动系统的动态特性,且粒子群优化算法在参数辨识中的有效性得到了验证。
| 制动级位 | 目标减速度/(cm∙s-2) | 稳态增益 | 时间常数/s | 传输延时/s | 误差/(cm∙s-2) |
|---|---|---|---|---|---|
| -1 | -5.35 | 0.859 0 | 0.197 3 | 1.003 6 | 0.117 3 |
| -2 | -10.7 | 0.849 4 | 0.235 2 | 1.094 1 | 0.923 4 |
| -3 | -16.05 | 0.963 7 | 0.436 8 | 0.846 6 | 0.147 4 |
| -4 | -21.4 | 0.866 5 | 0.248 3 | 0.810 2 | 0.082 7 |
| -5 | -26.75 | 0.864 2 | 0.229 1 | 0.803 5 | 0.646 2 |
| -6 | -32.1 | 0.865 2 | 0.238 9 | 0.811 9 | 0.099 5 |
| -7 | -37.45 | 0.861 4 | 0.215 7 | 1.247 8 | 0.495 0 |
| -8 | -42.8 | 0.860 6 | 0.236 6 | 0.822 5 | 0.472 0 |


1.4 列车制动模型验证
为了评估和验证列车制动模型辨识的有效性,本研究采用长沙地铁6号线A―B站的实际运行数据。在建模过程中使用9 562组数据,验证过程中使用了1 808组独立数据,且两者之间无交集。数据划分确保验证集未参与建模,避免了数据泄露,从而保证了验证结果的准确性。制动模型的仿真结果与实际运行数据进行对比分析,通过对比直观地展示了模型输出与实际数据之间的差异与一致性。
结果(如图4)显示,制动模型输出与列车实际运行数据基本吻合,模型误差值主要在±0.1 m/s²范围内波动,验证了该模型在列车停车制动过程中的有效性,表明该制动模型能够较为准确地模拟列车的制动性能。

2 控制器动态优化设计
为确保列车可以实现精准停车控制,除了可以实现对目标速度曲线的跟踪控制之外,还需要对电空转换点进行预测控制,确保可以将电制动发挥到极致,并确保空气制动可以一次实现精准停车控制。通过对控制过程的设计,实现动态优化控制,达到精准停车控制的目的。
基于所选地铁列车,在地铁车辆制动过程中,如图5所示,首先由制动控制单元(BCU)根据制动级位控制电制动,随着地铁车辆的速度降低至特定的低速电空混合速度转换点(X km/h),列车控制系统(TCMS)发出电空混合转换指令,准备从电制动切换至空气制动并退出电制动。空气制动响应较慢,因此在空气制动开始施加后,电制动会延迟减少直至消失。此时空气制动继续施加直至速度为0。随后,制动系统进入保持制动阶段,空气制动力将达到一个确定的值,以确保车辆稳定停放。

如图6所示,为实现列车车辆精准停车控制,使用动态优化控制策略,即采用有限集模型预测控制实现目标曲线的跟踪控制,利用隐马尔可夫模型并结合列车车辆当前速度、减速度以及当前位置来实现对电空转换速度点的预测,不再是使用确定的电空转换速度点来进行电制动到空气制动的转换过程,根据具体的实际情况以及算法的预测可以实现更精确的停车过程,可使得停车误差控制在10 cm内。此外,本文还引入了故障分析模块,若检测到异常状态,系统将切换至紧急制动模式进行停车控制,以确保安全停车。

2.1 FSMPC在电制动过程的应用
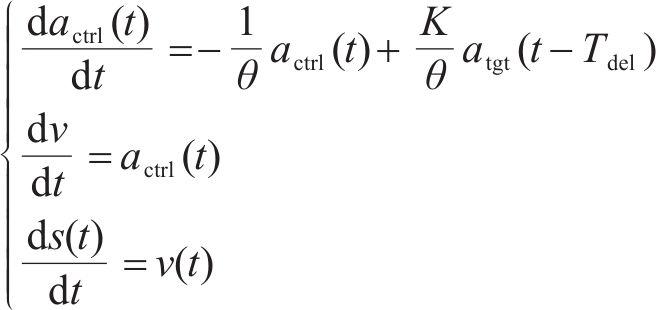
有限集模型预测控制是一种在线优化控制方法,通过不断地优化控制序列来预测系统未来的行为[20]。在每个时间步,FSMPC基于当前的状态信息预测未来的系统输出,并在给定的预测时域内最小化代价函数。FSMPC的基本工作流程包括以下3个主要步骤。
1) 预测模型:制动模型
预测模型用于描述列车未来状态的变化,并作为优化控制的基础。其状态变量包括位置



对于列车制动控制过程,采用有限集模型预测控制,本文对系统进行离散化处理,以便在离散时间框架下进行优化控制。

其中,
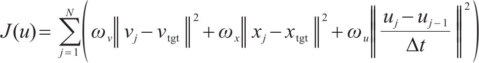
2) 代价函数
为了实现列车在电制动阶段停车误差最小的控制,实现对电制动力的精准控制,代价函数的设计是综合考虑了列车的速度跟踪误差、列车位置跟踪误差以及控制输入变化率,可以将代价函数表示为

其中:






控制加速度约束:加速度约束通常表示为系统离散时间的

其中,


3) 优化问题
通过求解优化问题,确定在预测时域内的最优空、电控制即转换序列u*(k),u*(k+1),…,


该优化问题在每个采样时刻在线求解,求取最优的目标加速度进行输出,以确保制动控制策略可以适应系统的变化。
FSMPC能实现地铁车辆进站停车过程中电制动的精确控制,主要是对列车制动目标速度和列车停车目标位置的跟踪控制,然而当地铁列车速度降低至一定程度时,因牵引电机发电势降低导致电制动力减弱,无法提供足够的制动力,此时需切换至空气制动。电空转换的平稳过渡是列车停车制动控制中关键问题。为实现精确切换,在电制动阶段使用有限集模型预测控制,而在电空转换阶段则引入隐马尔可夫模型对列车电空转换速度点进行预测。隐马尔可夫模型可以基于历史数据预测电空转换速度点,从而更精确调控制动模式的切换,以确保地铁列车在低速阶段的平稳停车,同时提高整个制动的平滑性。
2.2 HMM在电空转换点预测中的应用
本文利用隐马尔可夫模型预测和评估不同电空转换速度点下地铁列车最终的停车误差情况。为了准确建模列车在电空转换过程中可能的状态转移以及观察到的控制效果,HMM首先通过参数初始化和训练过程建立状态转移矩阵、观测矩阵及初始状态概率分布[21]。
1) 隐马尔可夫模型的参数初始化
初始状态概率向量用于描述系统在初始时刻处于各隐状态的概率分布。该向量基于列车的初速度、当前的制动状态以及列车制动策略来进行假设。初始状态概率向量的具体形式为:

其中,π1是列车在初始时刻处于电制动状态的概率;π2是列车在初始时刻处于空气制动状态的概率。
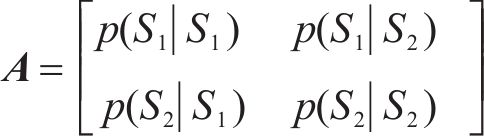
状态转移矩阵A表示对于列车的电空转换速度点预测问题,假设列车在不同速度点下电制动状态S1到空气制动状态S2的转移概率组成的矩阵。定义若干代表不同速度点离散状态,状态转移矩阵A具体形式如下:

其中:p(S1|S1)表示列车在当前处于电制动状态时,系统继续保持在电制动状态的概率;p(S1|S2)表示列车在当前处于电制动状态时,系统切换至空气制动状态的概率;p(S2|S1)=0表示列车进入空气制动不可逆转回电制动概率;p(S2|S2)=1表示列车进入空气制动后稳定保持概率。
观测矩阵B定义给定隐状态下,列车的停车误差值的分布情况。在缺乏历史数据的情况下,假设停车误差服从正态分布,并根据制动模型设定参数。观测矩阵B的具体形式如下:

其中,ot是时刻t的观测值,即列车的停车位置误差值;p(ot|S1)和p(ot|S2)分别是给定电制动和空气制动下,观测值的概率。随后,使用Baum-Welch算法迭代地更新转移矩阵和观测概率,以确保转移概率的准确性并提高模型的预测能力。
2) 维特比算法寻找最优的状态转移矩阵路径
在列车的电空转换控制中,基于维特比算法,根据列车的观测数据(速度、位置等)以及设定的制动模型,来推断出最有可能的制动状态序列,从而预测最优的电空转换速度点。该过程通过递推计算每个时刻系统可能处于各个状态的概率,最终通过最优路径确定电空转换速度点。在递推过程中,维特比算法通过状态转移矩阵和观测概率矩阵来计算每个时刻列车可能处于的状态,递推公式如下:

其中:
在回溯过程中,维特比算法通过记录每个时刻选择的最大概率路径,找出最优的状态路径,即从电制动到空气制动的切换时刻。回溯公式如下:

其中,ψi(t)表示在时刻t列车处于状态Si时最优前驱状态Sj,即前一个时间步最可能导致当前状态的前驱状态。通过回溯,维特比算法可以得出列车最优的电空转换速度点。
2.3 精确计算空气制动力大小
本文根据所需的空气制动力结合列车的速度、坡道阻力和基本阻力以及精准停车的需求,通过输出最优的空气制动力,可以在电制动结束后平稳过渡到空气制动阶段后,在空气制动阶段实现定量列车制动,进而实现精准停车。此过程的关键在于计算空气制动力的大小,以确保在达到目标停车位置时,列车能够顺利停车且停车误差最小。根据上述情况,精确计算空气制动力大小的公式如下:

其中,Fair是所需的空气制动力大小;m是列车质量;v是列车当前的速度;Δx是列车当前位置与目标位置差值;Ff是列车当前基本阻力大小;FGr是列车当前坡道阻力的大小,由于所选取长沙地铁6号线A―B站的线路数据中坡道和弯道较小,FGr≈0;ε是随机误差,因考虑到模拟闸瓦偏差或其他不确定因素。
3 仿真分析
3.1 仿真实验设计
为了验证本文提出的列车精准停车阶段动态优化的有效性,基于地铁列车设计相应的仿真验证实验。设置期望停车曲线的初速度为19.69 m/s,仿真中采用动力配置为2动4拖的6节编组B型地铁列车。仿真中设置地铁列车制动初始位置为9 978 539.98 m,目标停车点为9 978 973.879 m。
在本次仿真中,选取长沙地铁6号线的A―B两站之间的线路,该线路情况相对平坦,无较大的坡道和曲线弯道,如表3所示,因此可以近似忽略这些因素对地铁列车停车过程的影响。通过以上设置,研究地铁列车制动模型在进站停车时的状态,根据停车精度、制动速度曲线跟踪精度以及位置曲线跟踪精度来评估所设计的动态控制优化算法的实际效果。
| 开始位置/m | 坡段长度/m | 坡度/‰ | 竖曲线半径/m |
|---|---|---|---|
| YDK18+200 | 250 | 2 | 3 000 |
| YDK18+483.442 | 250 | -20 | 5 000 |
| YDK18+883.265 | 400 | 7 | 5 000 |
| YDK19+436.813 | 450 | -10.664 | 5 000 |
| YDK19+703.708 | 250 | 2 | 3 000 |
| YDK20 | 310 | -2 | 3 000 |
为验证本文所提出控制策略的正确性,仿真参数如表4所示。
| 参数 | 数值 |
|---|---|
| 列车质量/t | 287.96 |
| 控制周期/s | 0.02 |
| 制动模型传输延时Tdel/s | 1.1 |
| 制动模型时间常数θ/s | 0.25 |
| 制动模型稳态增益K/s | 0.95 |
| actrl(t)max/(m∙s-2) | 0 |
| actrl(t)min/(m∙s-2) | -1 |
| 制动初速度/(m∙s-1) | 19.69 |
| 制动初始位置/m | 9 978 539.98 |
| 目标停车点/m | 9 978 973.879 |
| 预测步长 | 100 |
| 基本阻力公式/(N∙kN-1) | Ff(v)=2.755 102+0.000 429v2 |
3.2 仿真结果分析
在电制动阶段,系统实现了对目标速度曲线和目标位置曲线的精确跟踪控制。电空转换速度点的预测与电制动阶段的控制过程是同步进行的。当列车的当前运行速度降至6 km/h以下时,系统进入电空转换点的预测阶段。在此阶段,电制动的目标速度曲线跟踪仍在持续,直至隐马尔可夫模型输出最优的电空转换速度点,地铁列车才会切换至空气制动阶段。空气制动的大小是根据地铁列车当前位置与目标停车位置之间的距离,以及当前的运行速度进行计算。在此计算过程中,考虑基本运行阻力以及随机因素(如闸瓦偏差问题)。通过对这些因素的综合分析,可以计算出所需施加的空气制动力。具体的目标加速度将输入到地铁列车的动力学模型中,以实现最终的制动目标。
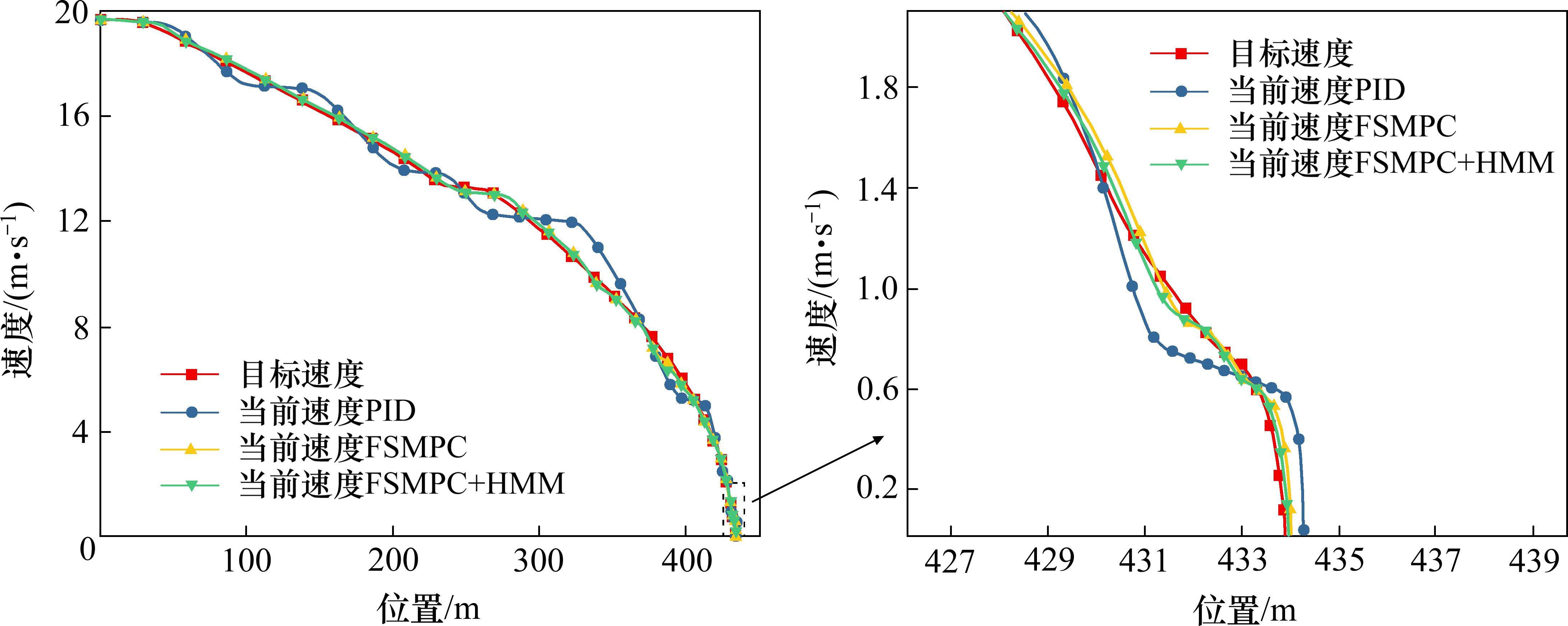
从仿真结果图7~图9以及图10可以看出,3种不同控制方法在地铁列车的精准停车控制效果上表现出显著差异,具体分析如下。




不同控制方法在地铁列车精准停车控制效果上表现出显著差异。如图7所示,FSMPC显示出较为平滑的速度曲线,能够较好地跟踪目标速度,尤其在接近目标停车位置时,误差较小,表明该方法具备较高的控制精度。FSMPC+HMM方法在仿真中表现优于单独的FSMPC和PID控制。HMM的引入,使得该方法能够在电空转换阶段预测最佳转换速度点,从而在空气制动阶段实现更为平滑的减速过程。
相比之下,如图8所示,传统PID控制作为经典控制方法,其曲线相对其他方法稍显滞后,特别是在跟踪目标速度曲线时,跟踪误差较大。这表明传统PID控制方法在精准停车控制中的效果不如FSMPC控制,尤其在系统复杂性和非线性较高的情况下,PID控制难以快速、准确地响应。并且如图9所示,FSMPC能够提供更优的平滑性,从而确保乘客的舒适性。
如图10所示,对仿真结果进行分析,3种控制方法在精准停车控制中的表现存在显著差异。PID控制在仿真后期出现较大的误差波动,尤其是在最后阶段,误差不断增大,最终停车误差达到28.541 cm,反映出该方法在系统稳定性和误差抑制方面存在较大不足。相比之下,FSMPC控制有效减小了误差波动,误差在中后期趋于稳定,最终误差为12.849 cm,表明该方法能够较好地抑制误差的增长,具有较强控制能力。FSMPC+HMM控制则在精度和稳定性上表现出明显优势,其目标位置误差几乎保持恒定,并且最终误差控制在6.943 cm,明显优于前两者。该方法在电制动到空气制动的切换过程中实现了平稳过渡,进一步提升了系统的稳定性和精准度。总体而言,FSMPC+HMM方法能够在精准停车控制中有效实现10 cm内的目标位置误差,并保证系统的高稳定性,表明本文提出的阶段动态优化方法在精准停车控制方面效果最佳。
4 结论
1) 通过应用有限集模型预测控制,地铁列车的停车误差成功控制在10 cm以内,显著优于PID控制方法,为列车的精准停车控制提供了有效的解决方案。
2) 引入隐马尔可夫模型进行列车制动电空转换速度点的预测,优化了列车电制动与空气制动之间的切换过程,使得制动响应更加平滑,减少了因制动不匹配导致的停车冲标现象。
3) 动态调整电空转换速度点的策略在实际应用中有效提升了列车接近停车点时的制动效果,确保了列车运行平稳性和安全性,整体上增强了地铁列车的运行稳定性和可靠性。
然而,本研究存在一定的局限性,例如在仿真过程中未考虑复杂线路环境下的地铁车辆制动的影响,可能导致结果的适用范围受到限制。此外,仅选取了某一段线路,对该线路下的地铁车辆的制动过程进行分析,可能会影响结果的普遍性。未来的研究可以考虑在真实运行环境中进行更多实地测试,以验证控制策略的有效性,并探索在复杂线路环境下的鲁棒性问题。
基于FSMPC和HMM的列车精准停车优化方法,能够有效解决制动延时和电空转换不精准等问题。仿真结果表明,该方法可以将列车停车误差控制在10 cm以内,为列车自动驾驶系统的精准停车控制提供了一种高效、可靠的解决方案。未来的研究将考虑基于复杂线路环境建模,以进一步验证控制策略的适应性。
李蔚,曹悦,娄永梅等.基于FSMPC的列车精准停车阶段动态优化研究[J].铁道科学与工程学报,2025,22(10):4424-4435.
LI Wei,CAO Yue,LOU Yongmei,et al.Study on optimization of train precise stop stage adjustment based on finite set model predictive control[J].Journal of Railway Science and Engineering,2025,22(10):4424-4435.

