永磁电机具有效率高、功率密度高等优点,其与PWM整流器结合,可以实现稳定的直流电压输出,在新能源发电、混合动力汽车供电等领域应用广泛。模型预测控制[1]作为矢量控制[2]和直接转矩控制[3]之后的新一代控制方式,是永磁同步电机控制的研究热点。由于模型预测控制与电机参数密切相关,预测控制对电机电气参数的准确性存在较大的依赖。永磁电机的电气参数主要有定子电感、定子电阻和永磁体磁链。由于定子电阻和永磁体主要受电机温度的影响,其变化过程较慢,而定子电感受电机内部磁场饱和程度的影响,与定子电流的大小相关,变化较快。因此对于定子电感的准确计算是模型预测控制需要解决的问题。近年来,国内外学者已经对预测控制的鲁棒性[4]做了大量的研究,并且也取得了很多成果。主要有参数失配下的预测误差分析和控制。李键等[5]针对永磁同步电机有限控制集模型预测电流控制预测误差进行了分析。郭磊磊等[6]得到了参数失配对不同代价函数下永磁同步电机模型预测控制最优电压矢量选择的影响,为实现模型预测误差补偿控制提供了坚实的理论依据。YOUNG等[7]研究了参数不匹配对预测误差的影响,预测误差不仅与模型中参数误差有关,还与逆变器负载电流和输出电压瞬时值有关。参数鲁棒性的预测控制主要分为基于参数辨识的预测控制[8]、无模型预测控制[9-10]等。基于参数辨识的预测控制首先对永磁电机的参数进行在线辨识,辨识方法主要有最小二乘法[11-12]、模型参考自适应法[13-14]、扩展卡尔曼滤波法[15]等,用辨识的结果修正预测算法中使用的电机参数,得到基于参数辨识的PMSM电流预测控制策略。无模型预测控制无需电机参数即可对电机的状态进行预测,主要有无需参数的增量模型法、超局部模型法[16]。基于增量模型的预测电流控制可以在不引入电机参数的情况下对系统下一时刻状态进行估算,但需要在一个控制周期内采集2次定子电流,对系统硬件要求高[17-18]。超局部模型法仅依据电机输入输出信号构建超局部电流预测模型,将模型预测控制与无模型控制相结合,设计无模型预测控制器,但是需要使用较多的电压电流采样数据,导致动态特性较慢[19],同时需要调整参数。鉴于此,本文提出基于电流预测误差的永磁同步发电机PWM整流器鲁棒预测电流控制方法。该方法首先得到电感参数偏差与预测电流误差之间的关系,然后基于最小二乘的原理对电感参数偏差进行提取,降低了直接参数直接计算的波动性。再设计基于预测电流误差闭环的电感偏差实时修正的方法,利用预测电流误差实时调整电感参数偏差。最终使得预测误差收敛于0。最后,利用5 kW永磁电机对拖实验平台对算法进行了实验验证。实验结果验证了所提分析方法的可行性和有效性。
1 永磁电机模型预测电流控制方法
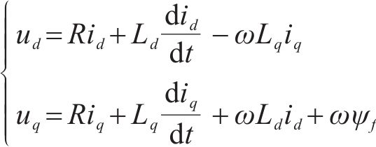
永磁同步电机在三相坐标系中不便进行控制系统的设计。通常在dq旋转坐标系下进行永磁电机控制,其模型可以表示为

式中:ud和uq分别为电机定子d轴和q轴电压;id和iq分别为电机定子d轴和q轴电流;Ld和Lq分别为定子d轴和q轴电感;
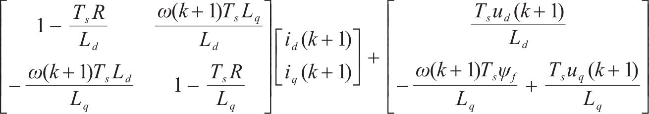
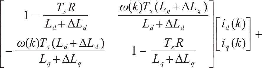
利用前向欧拉法对式(1)进行离散化处理,得到第k个控制周期结束(或者第k+1个控制周期开始)的电流表达式为

由于数字控制器固有一拍延时的影响,式(2)所得的预测电流为上一个控制周期计算的最优矢量作用后的电流。因此预测控制还需对下一个控制周期的电流进行预测。


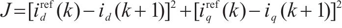
在有限集模型预测控制中,可以利用逆变器开关状态的离散特性,在不同开关状态输出的6个非零电压矢量和零电压矢量中通过式(3)得到预测电流,从中选出能使下一周期预测电流最接近指令电流的最优电压矢量。最优矢量的选择依据式(4)所示的代价函数最小的原则选取。

2 电感参数偏差下的预测电流误差分析
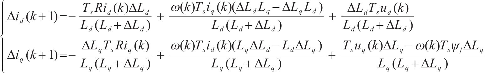
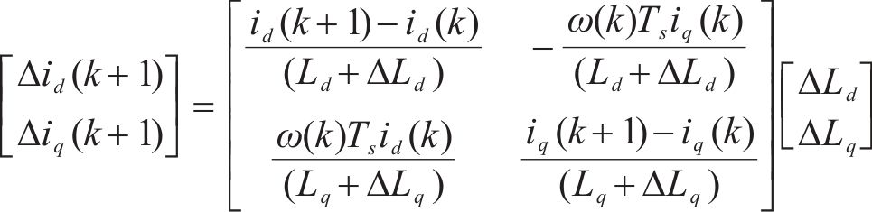
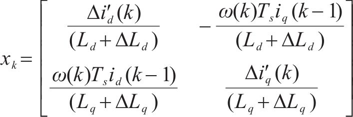
电机工况的变化导致电流的变化,电流变化使得磁场变化。永磁电机的电感参数受到磁场饱和的影响,相比定子电阻和永磁体磁链参数更加容易受到影响,因此本文重点对电感参数失配下的预测电流误差进行分析。在电感参数不准确的情况下,第1步的预测电流误差可以表示为:



式中:


其中,

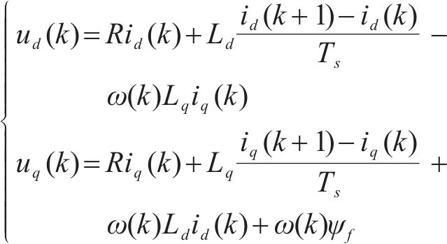
由于永磁电机的定子电压和定子电流存在如下关系:


从式(8)可以看出,dq轴电流的预测误差与dq轴电感的偏差存在交叉耦合关系,同时d轴电流的预测误差由2部分组成。一是单个控制周期内d轴电流的增量与d轴电感偏差的乘积,由于在稳态情况下,单个控制周期内d轴电流的增量会在0附近波动,定义此部分为电流纹波。二是q轴电流大小和q轴电感偏差的乘积。q轴电流的预测误差也可以得到类似的结论。这也意味着当d轴和q轴电流为0时,预测电流的误差只与d轴和q轴的纹波电流大小及对应轴上的电感偏差有关。当忽略dq轴上的电流纹波时,d轴预测电流误差与q轴电感偏差和d轴电感偏差均有关,q轴预测电流误差与d轴电感偏差和q轴电感偏差均有关。若电机未进入弱磁区(id=0),则q轴电流预测的稳态误差不会受到d轴或者q轴电感偏差的影响。
当






3 基于电流预测误差的永磁同步发电机PWM整流器鲁棒预测电流控制
3.1 基于递归最小二乘法的电感偏差提取
在工程应用中,经常会用一组观测数据去估计模型参数,即根据先验知识获得模型,根据数据观测模型参数,从而建立起相关变量的映射关系。但是在实际应用中,获得的数据会存在误差,无法得到一个可以满足所有数据的映射关系。因此通常求近似解,使得所建立的模型满足对于数据的“最佳”拟合。最小二乘法通过最小化误差的平方和来寻找数据的最佳匹配函数,这种方法可以用于拟合曲线,也可以求得目标函数的最优值。
式(8)建立了电感偏差与电流预测误差之间的关系,从而可以根据误差对电感偏差进行提取。虽然采用逆矩阵的方式可以直接对电感偏差进行提取,但由于观测会存在误差(偶然误差、系统误差等),导致电感偏差的估算值离真实值偏差过大,因此,本文采用最小二乘法对电感偏差进行提取。
根据最小二乘法的原理,对于满足

其中,X和Y为对应样本的输入和输出;θ为需要观测的参数,分别表示为



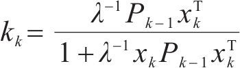
当采用传统的最小二乘法时,随着样本数量的增加,运算难度逐渐增大,本文采用递归最小二乘法,将数据一个一个送入,然后不断根据新数据来更新模型。第k次估算的参数可以表示为如下递归形式:

其中:


其中,
3.2 基于预测误差的参数自校正方法
如果直接利用前文最小二乘法提取的电感参数进行校正,可得到如图2所示的控制框图。

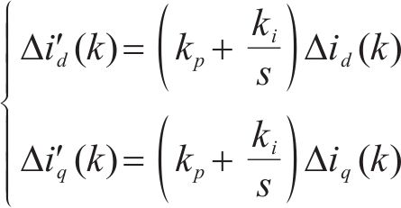
从图中可以看出,由于控制框图中缺少高增益环节,闭环控制不能实现稳态误差为0,也就是无法完全消除电感参数的偏差影响。为此,本文在电流预测误差的前向通路中加入稳态(即0频率)增益无穷大的比例积分环节,分别对预测电流误差与dq轴电感的偏差进行校正,得到如图3所示的电感参数自校正预测电流控制框图。

在图3中,















其中,



4 仿真验证
在simulink中搭建永磁电机预测电流控制的仿真模型。在仿真中电机工作于恒转速模式,工作转速为200 rpm。为了验证本文提出的预测电流控制的效果,在控制中认为电机的电感参数存在50%左右的正偏差,即dq轴电感分别为31.6 mH和59.7 mH。首先直接利用最小二乘法提取的电感参数进行校正,在1 s之前采用传统的MPC控制方法,1 s之后采用最小二乘法提取电感误差并矫正电感参数。给定电机d轴电流为-3 A,给定q轴电流为5 A。
得到电机的定子电流如图4所示。

由图5可知,1 s开始采用最小二乘法提取电感误差并矫正电感参数后,d轴预测电流误差从-0.06 A左右降低至-0.02 A左右,而q轴预测电流误差从-0.015 A左右降至接近0。由图6可知,1 s采用最小二乘法提取电感误差并矫正电感参数后,提取的d轴电感误差约为0.005 H,提取的q轴电感误差约为0.01 H。因此,该方法提取到的电感参数误差并不准确。


然后验证本文提出的闭环矫正预测电流控制方法,采用的工作转速仍然为200 rpm,在控制中认为电机的电感参数存在50%左右的正偏差。在1 s之前采用传统的MPC控制方法,1 s之后用本文所提方法进行闭环校正。为验证所提方法在不同工况下的控制效果,在2 s之前电机d轴电流给定为-3 A,q轴电流给定为5 A,2 s之后d轴电流给定为-5 A,q轴电流给定为10 A。


由图9可知,1 s开始用闭环矫正模型参数后,d轴预测电流误差从-0.06 A左右降至接近0,q轴预测电流误差从-0.015 A左右降至接近0。增加的比例积分环节明显减小了稳态电流预测误差。2 s时d轴电流由-3 A增大至-5 A,q轴电流由5 A增大至10 A。增大给定电流后电流预测误差仍然较小。由图7可知,1 s闭环矫正模型参数后,提取的d轴电感误差略小于0.01 H,提取的q轴电感误差略小于0.02 H。增大给定电流后,提取的d轴电感误差和q轴电感误差同样接近真实的电感误差。因此,所提方法可以较为准确地提取电感参数误差。


5 实验验证
为了验证本文提出方法的正确性,在实验室搭建了永磁电机同轴对拖的实验平台,如图11所示。该实验平台包括一台感应电机和一台永磁电机,位置和速度反馈由增量编码器获得,控制算法使用数字信号处理(DSP)/TMS320F28377实现,PWM脉冲由现场可编程门阵列(FPGA)实现。

其中永磁电机的参数如表1所示,永磁电机充当被试电机,感应电机充当陪试电机。2台电机分别由2台变频器驱动,为了方便能量回馈,2台变频器采用共直流母线的连接方式。陪试电机变频器控制陪试电机工作于恒转速模式,被试电机的变频器运行本文提出的控制算法。采用传统MPC控制方法在电感参数存在50%左右正偏差时,即

| 参数名称 | 数值 | 参数名称 | 数值 |
|---|---|---|---|
| 定子电阻/Ω | 1.88 | 永磁体磁链/Wb | 0.92 |
| d轴电感/mH | 21.6 | 电机极对数 | 5 |
| q轴电感/mH | 39.7 | 控制周期/us | 100 |


采用本文所提电感参数闭环矫正方法后,定子电流如图14所示,其中A相电流FFT分析结果如图15所示。


可知,电感参数存在约50%正误差时,A相电流谐波为21.91%,采用所提电感参数辨识方法修正电机模型后,A相电流谐波为11.51%,电流谐波明显减小。这是由于电感参数失配增大了电流纹波,从而增大了电流总谐波畸变率。
设计的电感误差为


6 结论
1) 针对永磁同步电机电感参数易受电机内部磁场饱和程度影响,导致模型预测电流控制电流误差大、纹波高的问题,结合电感参数偏差与预测电流误差关系校正,提出一种永磁同步电机PWM整流器鲁棒预测电流控制策略。
2) 推导了内置式永磁同步发电机dq轴电感参数偏差与电流预测误差之间的关系,得到了预测电流误差与电感参数偏差之间的数学模型,在此基础上通过最小二乘原理提取电感参数偏差来降低直接参数计算方法的波动性,并基于预测电流误差闭环进行电感偏差实时修正,利用预测电流误差实时调整电感参数偏差,最终使得电流预测误差收敛到0。
3) 将所提出的控制策略与其他参数辨识开环预测进行了对比仿真验证,并采用5 kW永磁电机对拖实验平台对所提出策略进行了实验验证,其结果表明该控制策略明显减小了预测电流误差,验证了所提分析方法的可行性和有效性。
文宇良,陈春阳,曾小凡等.一种基于预测误差校正的永磁同步电机模型预测电流控制方法[J].铁道科学与工程学报,2025,22(04):1778-1787.
WEN Yuliang,CHEN Chunyang,ZENG Xiaofan,et al.A model predictive current control method for permanent magnet synchronous motor model based on prediction error correction[J].Journal of Railway Science and Engineering,2025,22(04):1778-1787.

