永磁同步电机(PMSM)因其动态性能优越,是目前应用领域最广、用途最多的电机种类之一[1-3]。为了获得优良的控制效果,相关学者开展了一系列的PMSM控制研究,提出了诸如直接转矩控制(DTC)[4]、磁场定向控制(FOC)[5]、模型预测控制(MPC)[6]等多种控制策略。预测电流控制(PCC)由于其原理简单、动态响应快等优势,已成为当前永磁同步电机控制系统中的热点研究之一[7]。常规PCC的关键是精准的参数匹配[8],然而在工程实际中存在参数失配问题,即随着工况变化及电机温升,标称参数与电机本体常难以精准匹配,从而降低参考电压的准确性,继而降低PCC的控制性能;因此PMSM的参数失配问题引起了学者们的广泛关注[9-11]。围绕PMSM参数失配下的PCC鲁棒性问题,多种解决方案相继被提出。现有的方法大体分为2类,第1类是通过参数辨识实时获取PMSM的实际电感、磁链等以在线修正控制器参数[12-14]。HAN等[12]以PMSM的q轴电流方程为切入点,将参数扰动视作集总扰动,并设计扩张观测器对其进行了估计,最后利用集总扰动与参数偏差的数学关系倒推辨识值。LEE等[13]采用改进的高频注入法对PMSM的电阻和电感进行了在线辨识,但未考虑磁链失配下的参数辨识问题。ZOU等[14]提出一种PMSM全参数辨识方案,该方案通过高频注入辨识电感,再基于电感辨识值估计电阻和磁链。这显然对提高PMSM控制精度是有益的,但该方案可能需要消耗更多的计算资源。第2类方法不以精确辨识参数为目标,而是通过各类鲁棒控制策略削弱PMSM参数失配带来的控制失稳。较为典型的是ZHANG等[15]提出的无模型PMSM控制方法,以扩张观测器为基础对不确定部分进行补偿,以降低参数失配对控制性能的负面影响。YANG等[16]提出一种基于Luenberger观测器的无模型MPCC方案,该方案将参数失配带来的电流偏差视为总扰动,然后结合超局部模型计算控制电压,虽然该方案能够实现参数失配下的PMSM控制,但观测器的增益对整体控制性能较为敏感。WU等[17]提出一种基于扩张扰动观测器(ESO)的PMSM电感参数推算方法,削弱了高频扰动对ESO精度的影响。XU等[18]设计一种快速终端滑模电流控制策略,该方法同样将参数失配带来的不确定性视为集总扰动,利用特殊的滑模面设计迫使电流跟踪误差趋近于0,然而滑模类方法带来的抖振是不容忽视的。近年来,由于神经网络能够较好地处理含未知参数、模型不确定的系统控制问题,被广泛应用于机电系统参数辨识中。宋琳等[19]利用级联神经网络和卡尔曼滤波算法,实现了直线电机的多电气参数辨识,但神经网络稳定性分析有待进一步探讨。向超群等[20]针对车载牵引变流系统直流支撑电容的故障难诊断问题,构建了基于物理信息神经网络的电容参数辨识模型,仿真表明该方案相对于传统辨识策略具备相当的优越性,但算法的复杂度过高。HE等[21]利用级联神经网络构造PMSM参数辨识器,为解决欠秩问题采用d轴电流注入法构造线性无关方程组,但电流注入将短暂影响PMSM动态性能。上述研究推动了PMSM参数失配控制研究的进步,但观测增益的敏感性常导致参数估计失效,且现有研究多将电阻的摄动忽略[8, 22],认为其对控制性能的影响较小,这显然也是值得进一步研究的。针对上述问题及神经网络方法中缺乏稳定性支撑的缺陷,为降低参数失配对PMSM电流预测控制系统的影响,提出一种新型的基于级联神经网络的PMSM电流预测控制策略。本文主要贡献如下:1) 本文提出的方案没有增加额外的测量与观测器设计,方案的实现简单,利用响应电流偏差方程揭示参数失配的影响机制,为进一步的参数失配辨识奠定基础;2) 在参数失配值辨识的基础上提出补偿控制策略,并进行了闭环稳定性分析。这意味着即使控制器与PMSM本体参数不匹配,也能够提供准确的参考电压;3)本文实现了PMSM全参数失配值辨识,突破了现有研究中部分参数不发生摄动的假设,弥补了现有神经网络类辨识方法缺乏稳定性保障的缺陷。
1 MPCC参数敏感性分析
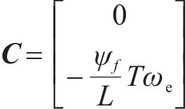
表贴式PMSM系统的数学模型为

式中:




其中






式中:








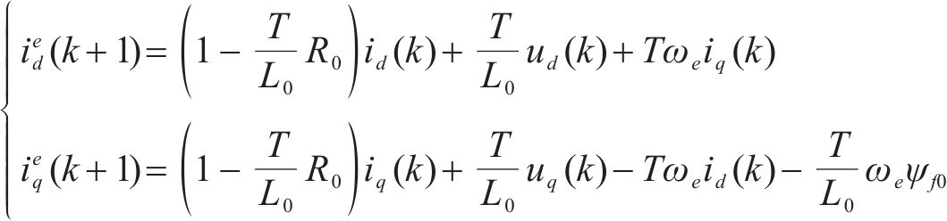
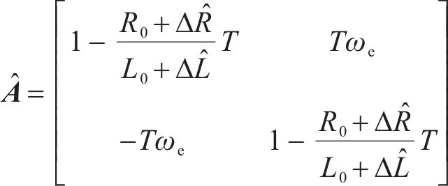
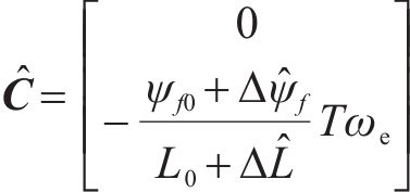
当控制器参数失配时式(2)退化为

式中:




由式(5)可知,第k+1时刻电流响应偏差取决于
2 提出的PMI-PCC方法
正如第1节所分析的,参数失配将直接引起电流响应偏差,直接导致传统的PCC方法性能降低。为降低参数失配带来的负面影响,提出一种参数失配值辨识预测电流控制(parameter mismatch value identification predictive current control, PMI-PCC)方法,该方法构建级联形式的参数失配值辨识器,通过实时在线联动更新,在控制器参数失配情况下,仍然可以提供高精度电流控制。
2.1 辨识器稳定性分析
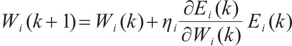
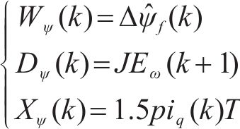
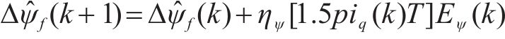
本节使用Adaline神经网络构建可调辨识模型,以电流偏差方程为电机的参考模型。将待辨识的参数失配值设置为权值,通过构造自适应更新策略对实际参数偏差进行在线辨识。Adaline神经网络的数学模型为

式中:



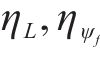
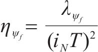
记步长为

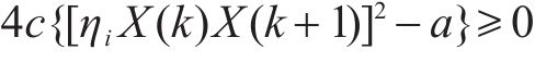
理论1 针对PMSM参数失配电流误差系统(5),若步长满足







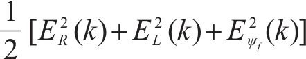
定义


式(10)是3个Lyapunov函数的加减运算,不失一般性,用






要使式(11)满足稳定性条件,等价于

将各项代入计算整理可得

c是一个平方项,当其等于0时式(13)恒成立。当其不为0时,式(13)进一步整理可得

由式(14)可知,当

最终可推出,当

分别用






式(17)进一步整理可得:

式(18)意味着,存在一个时刻



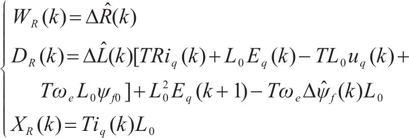
2.2 辨识式的导出
前文分析说明了辨识模型(6)~(8)是稳定的。本节按所提模型导出各参数失配值的辨识式,根据式(5)中的q轴电流部分配置

式中:



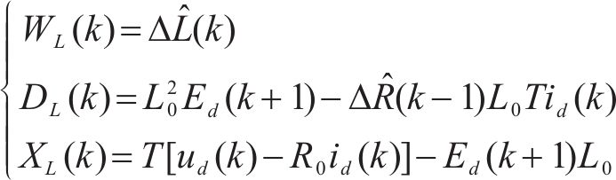
同样地,根据式(5)中的d轴电流部分,配置

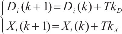
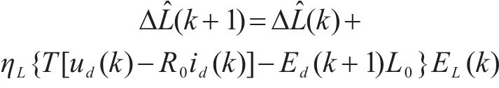
式(21)中为避免代数环问题,将




式中:




根据式(24)配置


值得注意的是,稳定性分析导出的



式中:





2.3 控制律设计

其中,





理论2 对于参数失配的PMSM电流误差系统(5),基于参数失配值辨识器(20)、(22)、(26),构建式(30)为控制律,若设计步长满足式(27)~(29),则能够保障d-q轴电流跟踪误差收敛到0。


从式(32)可知,电流跟踪误差本质上取决于

根据式(6)~(8)及式(25)~(26),记



式中:


进一步整理可得

式中:




3 仿真结果与分析
为验证所提的PMI-PCC控制策略性能,在MATLAB/SIMULINK平台构建了PMSM控制系统,开展参数偏差辨识性能与动态性能评估仿真研究。直流母线电压为311 V,采样周期为1×10-4 s,转速环采用PI控制策略,比例与积分系数分别为0.25和50。λR=1×10-6,λL=0.04,λR=5×10-8,电机参数如表1所示。
| 参数 | 取值 | 参数 | 取值 |
|---|---|---|---|
| 母线电压Udc/V | 311 | 额定功率PN /kW | 1.25 |
| 定子电阻R/Ω | 3 | 额定转矩/(N∙m) | 10 |
| 电感L/mH | 8.5 | 额定转速/(r∙min-1) | 1 200 |
| 磁链ψf /Wb | 0.168 | 极对数 | 4 |
3.1 参数偏差辨识验证
参数偏差辨识仿真设置2种情形,采用常规MPCC控制器,控制参数分别设置为标称值的±30%,目标转速设定为1 200 r/min,电机带10 N∙m负载启动。仿真时总时长1 s,前0.5 s参数不发生失配,在第0.5 s突然发生参数失配。图2~图4给出了参数失配值辨识的仿真结果。



图2(a)给出了+30%电阻失配的辨识结果,本文设计的辨识器能迅速跟踪电阻动态,电阻失配值为ΔR1=0.9 Ω,辨识值
从图3(a)可知,发生参数失配后,电感失配值为ΔL1=2.55 mH,辨识值

如图4(a)所示,发生参数失配后,磁链失配值为Δψ1=0.050 6 Wb,辨识值收敛在

综上,在所有参数突然发生失配的情况下,本文提出的辨识策略能够有效快速地对参数失配值进行辨识。
3.2 参数和工况突变容错性能验证
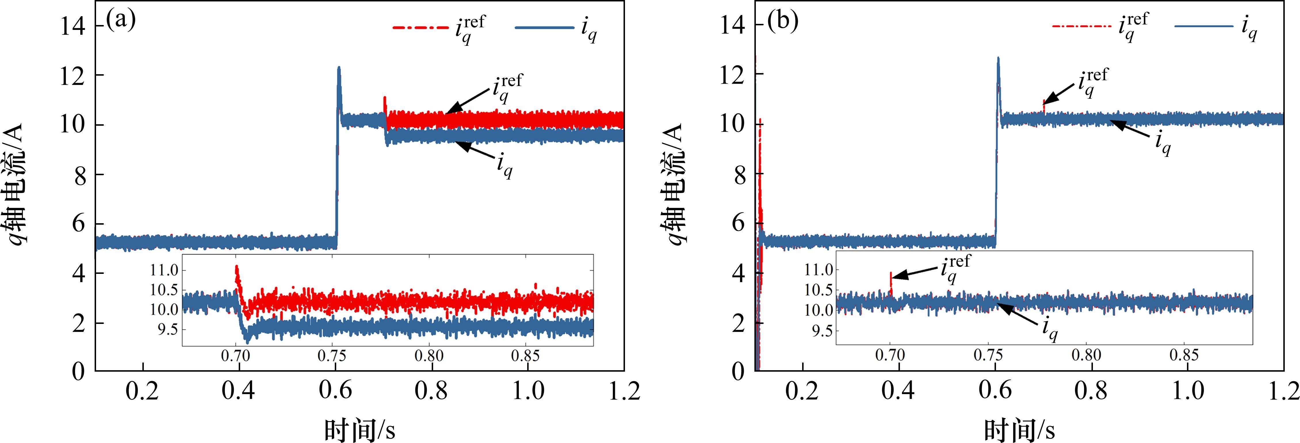
参数突变容错验证设置PMSM以额定转速带5 N∙m负载启动,在第0.6 s负载突变至10 N∙m,在第0.7 s突发+30%的参数失配。本部分一是考察算法对负载扰动的鲁棒性,二是考察高负载下参数失配的容错能力。图5~图8给出了常规PCC和本文所提PMI-PCC方法的仿真对比。




图5给出了常规PCC方法与本文方法的d轴电流仿真对比结果。可以看出,负载从5 N∙m跳变到10 N∙m(0.6~0.7 s)期间2种方法的d轴电流都能较好地跟踪给定值。而在发生参数失配后(第0.7 s),常规方法的d轴电流瞬间偏离给定值-0.23 A,而所提PMI-PCC方法的d轴电流在参数失配瞬间回归给定值。
图6给出了常规PCC方法与本文方法的q轴电流仿真对比。由图6可以看出,在参数失配后常规PCC方法的q轴电流从10 A偏离至9.5 A,电流响应体现出显著的偏差。而所提的PMI-PCC几乎不受参数失配影响。
图7给出了转速的仿真对比结果,可以看出在参数失配后PMI-PCC的转速不受影响,如图7(a)所示。而常规PCC方法受参数失配影响,转速回归给定值需一定的调整时间。
图8给出了转矩仿真对比结果。图8(a)显示,受参数失配影响,常规PCC的电磁转矩的平滑度产生了较大波动,在参数失配后(0.7 s后)电磁转矩的振幅显著高于参数失配之前(0.7 s之前)。而PMI-PCC方法的电磁转矩平滑度没有受到参数失配的影响。
图9给出了在负载与参数突变情形下的PMI-PCC多参数失配值在线辨识结果。图9(a)显示了电阻失配值的辨识结果,在负载变化后(0.6~0.7 s)电阻失配值辨识收敛在0附近。在参数失配发生的瞬间(第0.7 s),辨识器迅速响应,此时的ΔR=0.9 Ω,辨识值收敛于



经过仿真对比,很容易得出如下结论:PMI-PCC策略能够在负载扰动情况下精确辨识参数失配值,并对偏差进行鲁棒补偿,在响应电流、转速、电磁转矩方面明显优于传统的PCC控制。
4 实验结果与分析
为验证所提策略的有效性,构建了如图10所示的Dspace实验平台展开有效性验证。平台包括对拖电机、扭矩传感器、Dspace控制核心、直流电源与变频柜。实验条件设置与3.2节一致,实验结果如图11~13所示。




图11给出了常规PCC方法和本文方法的d轴电流实验结果。如图11(a)所示,在参数突变时刻(第0.7 s)常规PCC方法的d轴电流下降为-0.2 A,稳态电流振荡幅值由±0.04 A增大为±0.09 A,这表明常规PCC对参数是极为敏感的。因参数摄动无法保持id=0,PMSM的动态性能无法达到最优。如图11(b)显示,本文方法的d轴电流仅在参数失配瞬间波动但快速回归给定值,参数突变前后电流振荡幅值分别为±0.04 A和±0.09 A,d轴电流稳态性能比常规方法提升44.4%。
图12给出了参数突变下的q轴电流实验结果。如图12(a)所示,常规PCC方法的q轴电流在参数突变后偏离期望值,偏差值为-0.5A,且从局部放大可看出电流纹波显著增大。而如图12(b)所示,使用本文所提方法能够极大程度削弱参数突变带来的负面影响,从局部放大可以看出在参数突变后q轴实际电流仍然能高精度跟踪给定值。
图13给出了参数突变下的转矩实验结果。PMSM的输出转矩与q轴电流高度相关,因此如图13(a)所示,常规PCC方法的输出转矩在参数突变后波动幅值为±0.8 N∙m;而图13(b)显示,本文方法的PMSM输出转矩几乎不受参数突变的影响,转矩波动幅值为±0.5 N∙m,转矩稳态性能提升37.5%。
综上,实验表明本文所提控制策略在参数突变情况下,能够有效抑制电流与转矩性能劣化,相对于常规PCC方法具备更强鲁棒性。
5 结论
1) 突破“PMSM仅部分参数发生摄动”的假设是有意义且可行的,所提的辨识策略能够实现多参数失配值的在线辨识,为控制律设计提供依据。
2) 基于参数失配值辨识结果,构建的PMI-PCC控制律,能有效抑制参数失配引起的电流响应及机械响应(转速、转矩)失稳。
3) 与常规PCC相比,PMI-PCC策略在同等工况下抗参数失配的鲁棒性更强,在参数失配及负载突变的情况下能够实现更高精度的控制效果。
4) PMI-PCC策略能有效实现表贴式PMSM电气参数失配的容错控制,而内置式PMSM由于d-q轴电感不相等,因此存在更为显著的欠秩问题。针对内置式PMSM的PMI-PCC策略有待进一步研究。
程翔,瞿少成,何静.考虑参数失配的PMSM级联神经网络预测电流控制[J].铁道科学与工程学报,2025,22(10):4674-4686.
CHENG Xiang,QU Shaocheng,HE Jing.Cascaded neural network predictive current control for PMSM considering parameter mismatch[J].Journal of Railway Science and Engineering,2025,22(10):4674-4686.


