永磁同步电机(permanent magnet synchronous motor, PMSM)具有效率高、调速性能好、结构多样化等显著优势逐步在低碳交通运输牵引系统中应用[1]。PMSM有限集模型预测控制(finite-control-set model predictive control, FCS-MPC)通过电机数学模型进行状态预测并选取最优控制输入,对定子电感、电阻和磁链等参数依赖性较高,轨道交通牵引系统运行工况复杂多变,温度、磁饱和等不准确因素会导致电机参数失配,FCS-MPC面对电机参数失配时会导致模型预测不准确,进而引发控制性能下降以及系统稳定性降低[2-3];并且由于转速上升过程中反电动势的增大以及供给侧变频器输出电压有限,电机转速无法进一步提高,限制了电机的进一步升速[4-5]。为扩展永磁同步电机调速范围,需要弱磁控制产生能够抵消电机反电动势的弱磁电流,弱磁控制理论分为数值求解计算法、电压闭环控制法及其他智能算法。NAIR等[6]与SIERRA-GONZALEZ等[7]采用转矩-速度作为输入变量进行查表计算,YOO等[8]采用转矩-磁通作为输入变量计算,HUANG等[9]采用多变量输入计算,离线数值计算方法对电机参数测算准确性要求高,需要大量离线实验数据,并且电机参数在不同工况下由于磁饱和等非线性因素容易改变,鲁棒性较差。为减小弱磁控制对电机模型的依赖,基于电压闭环的弱磁控制策略受到青睐,JING等[10-11]使用单电流调节器的电压闭环控制策略,省略q轴电流调节器,其控制电压直接给定,此策略虽然能提高控制稳定性与弱磁深度,但运转效率较差。罗德荣等[12]提出双电流调节器超前角弱磁控制策略,以电压利用率为基础,依靠新的电压外环判断定子电流矢量角的偏移度,实现弱磁扩速;WANG等[13-14]以蚁群算法为基础,结合超前角弱磁控制策略,改善了弱磁和过调制区域的系统性能,但计算复杂度较高,实时性较差。参数辨识是解决模型预测控制电机参数失配问题的有效方法,通过在线辨识电机参数,可以更新控制模型,提高控制性能。主流在线辨识方法有最小二乘法[15]、模型参考自适应以及扩展卡尔曼滤波[16-18]。传统的最小二乘法计算耗时长,对噪声敏感,黄依婷等[19]提出递推最小二乘法,WANG等[20]提出加窗最小二乘法,但递推最小二乘法数据易饱和,加窗最小二乘法对测量噪声敏感。模型参考自适应面对多参数辨识场景需频繁调整自适应率,过程繁琐。扩展卡尔曼滤波实时性较好,能同时辨识电机运行时的参数与工况,并且能克服噪声敏感问题,比较适合受噪声影响较大的系统。李旭春等[21]为解决电机参数失配影响转子磁极位置估计的准确性,利用扩展卡尔曼滤波对转子磁链与电感进行在线辨识并反馈更新电机模型,提升了实时控制性能,但研究电机为冰箱制冷系统压缩机,所提控制策略在牵引工况下的可行性并未得到验证。李洪凤等[17]为提升模型预测控制的稳态性能,提出了扩展卡尔曼滤波参数在线辨识的无差拍模型预测控制,但考虑交通运输牵引系统运行工况复杂,其动态响应性能与调速范围仍然需要进一步提高。以上为通过提高预测准度来提升参数时变场合的控制性能,但预测是FCS-MPC实现的前提,而代价函数直接决定着预测的控制量,因此也可以通过改进代价函数来进一步提升控制性能[22]。涂文聪等[23]使用模糊动态代价函数改善开关频率,提升了动态性能,史婷娜等[24]通过构造二次型价值函数,简化权重系数整定及求解问题,使电机控制具有较好的跟踪性能,但上述方法均以电机参数匹配为前提,并未涉及电机参数失配导致控制性能下降的问题。陈卓易等[25]提出一种新型代价函数下的模型预测控制,结合PID的思想将传统代价函数转换为比例-积分-微分型代价函数,但只是针对参数在变化范围内降低参数失配对系统的影响,当工况发生变化时控制性能无法跟随变化,影响永磁同步电机的动态性能。针对上述永磁同步电机FCS-MPC调速范围有限,参数鲁棒性差的问题,提出一种全速域鲁棒模型预测电流控制策略。所提策略在模型预测电流控制的基础上,结合超前角弱磁控制策略,动态响应快且不依赖电机参数,从而保证参数鲁棒性的同时,显著拓宽了电机的调速范围,实现电机全速域运行;此外,为减小电机失配参数对预测模型的影响,采用扩展卡尔曼滤波算法在线辨识电机参数并实时反馈至预测模型,提升模型预测控制的鲁棒性;最后采用比例积分型代价函数,有效减小电流稳态误差,进一步提升算法控制性能。通过硬件在环仿真测试,验证了所提控制策略的有效性与优越性。
1 FCS-MPC预测模型
三相两电平逆变器供电的永磁同步电机系统结构如图1所示。

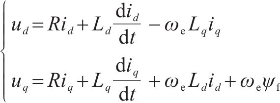
忽略铁心饱和且不计涡流和磁滞损耗,表贴式永磁同步电机在旋转正交坐标系(d-q)下模型表达式为:

式中:








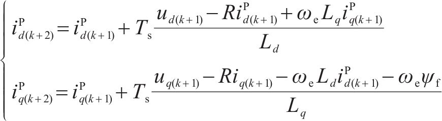
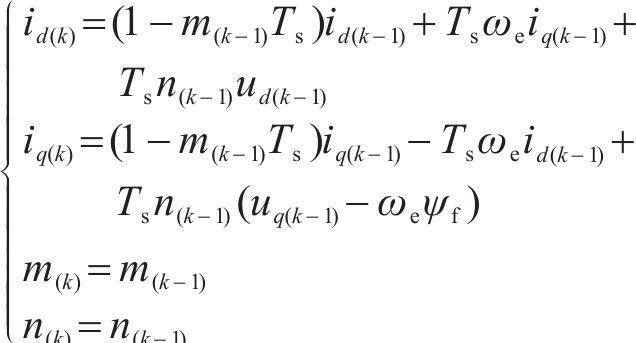
用显式欧拉法对式(1)在k时刻离散化,预测模型为应对数字化运行时控制算法和采样周期的延迟问题,采取延时补偿的方法来抵消潜在的负面影响。从而得到:

式中:

给定值




上述计算过程默认电机参数在运行过程中未发生改变,即假定预测精准,同时控制误差的积累也没有考虑。但是PMSM运行状态不同,磁路饱和程度不同,L和
2 超前角弱磁控制
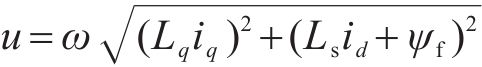
忽略定子压降,永磁同步电机稳定运行时电压方程为:

由式(4)可以看出,电机电压达到逆变器输出电压极限时,即当

由式(4)、式(5)约束条件绘制永磁同步电机电流运行轨迹范围如图2所示,电流约束在图中体现为原点为圆心、半径为Ismax的标准圆,电压约束在图中体现为以点M为圆心,半径随着电机转速增加而逐渐减小的一系列同心圆。在电机运行过程中必须使电流轨迹在二者交集中,以此来确保电机安全运行。表贴式电机MTPA控制为

对于电机在不同负载下的工况,B点电机基速可以由式(6)来计算:

式中,

在基速以下,即O→A→B过程中,电流超前角θ为0,当转速超过基速后,由于逆变器最大输出电压限制,使得电流输出达到饱和,想要转速继续上升必须增加反向电流





3 扩展卡尔曼滤波参数辨识
3.1 传统控制策略参数敏感性分析
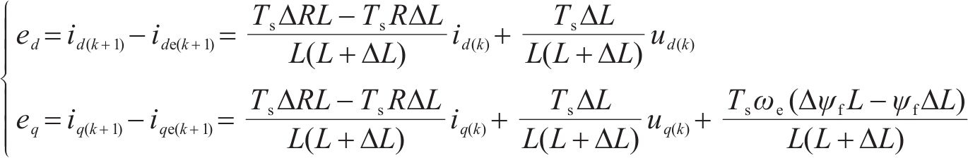
当预测模型与电机参数失配时的实际电流模型作差,得到预测误差:

其中,


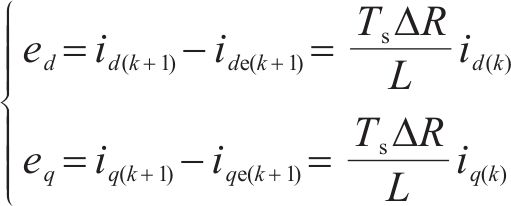
1) 定子电阻失配
这时忽略定子电感与磁链的影响,式(7)改为:

因为使用

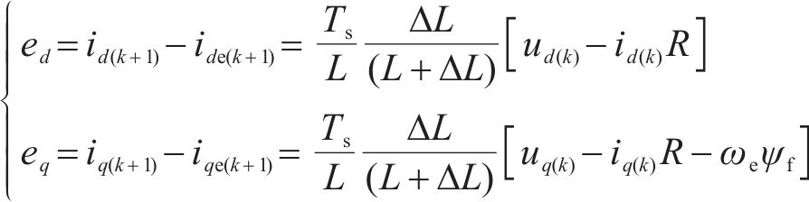
2) 定子电感失配
这时忽略定子电阻与磁链的影响,式(7)改为:

由式(9)可知,d轴电流误差大小取决于d轴的电压分量


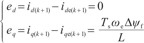
3) 转子永磁体磁链失配
这时忽略定子电感与电阻的影响,式(7)改为:

由式(10)可以看出,由于d轴不含磁链相关部分,所以没有误差,q轴预测误差与磁链失配程度成正比。鉴于磁链失配的影响可以通过积分补偿策略进行有效中和,在后续分析中主要聚焦于定子电感和定子电阻的失配情况。
3.2 参数辨识器设计
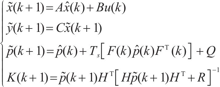
扩展卡尔曼滤波(extended Kalman filter, EKF)本质上是一个递推过程,大概可分为2个阶段:预测阶段和修正阶段。
预测阶段表达式为

式中:



修正阶段表达式为:

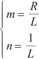
式(2)中含有电阻、电感参数,将其作为状态方程,考虑电阻与电感之间存在耦合关系,因此定义2个中间变量:

考虑PMSM控制周期较短,假定单个控制周期内电阻与电感的值恒定且不突变,所以中间变量在一个控制周期内也不变。所以采用将同样不变的中间变量代入到离散化处理后的预测方程中的方法,结合d、q轴电流预测方程构建状态方程:

由式(14)得到状态变量矩阵为


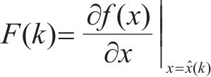
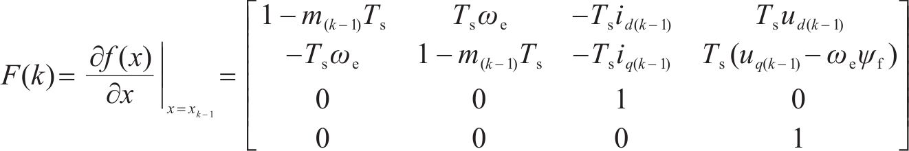
其Jacobian矩阵为

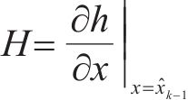
测量矩阵为

将式(16)、式(17)代入式(11)、式(12),得到中间变量


将得到的电阻与电感辨识值

3.3 代价函数设计
对d、q轴电流控制误差积分项I使用隐式欧拉差分法,得到:

其中,Id为d轴电流积分误差代价项,q轴同理;k1为积分增益系数,增大k1可以减小消除电流稳态误差的响应时间,但调节过大会造成I的不稳定。代价函数中加入这一项,理论上能够控制令积分误差代价变大的控制输出,使不断积累的控制误差逐渐趋于0。
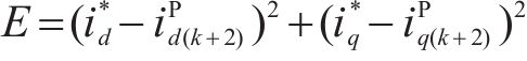
P为传统代价函数中的比例误差项,有

设计新的代价函数为

所提控制策略系统控制框图如图4所示,控制系统包括转速外环,电压环和弱磁环,电压外环作用是当电机转速超过基速或直流线电压利用率达到极值时,弱磁环会输出一个逐渐增大的超前角度,使得




4 硬件在环仿真测试
为验证所提控制策略的有效性,使用远宽能源MT6020实时仿真器代替逆变器与永磁同步电机模型,使用德州仪器公司XDS100V3的JTAG仿真器将控制策略烧录进以TMS320F28377D为芯片的DSP电机控制器,搭建硬件在环仿真测试平台如图5所示,采样周期


| 参数 | 数值 |
|---|---|
| 额定转速nN/(r∙min-1) | 3 000 |
| 额定转矩TN/N | 4 |
| 母线电压Udc/V | 310 |
| 定子电感L/H | 0.003 4 |
定子电阻![]() | 0.73 |
永磁体磁链![]() | 0.081 |
| 转动惯量J/(kg∙m-2) | 0.000 828 |
| 极对数p | 4 |
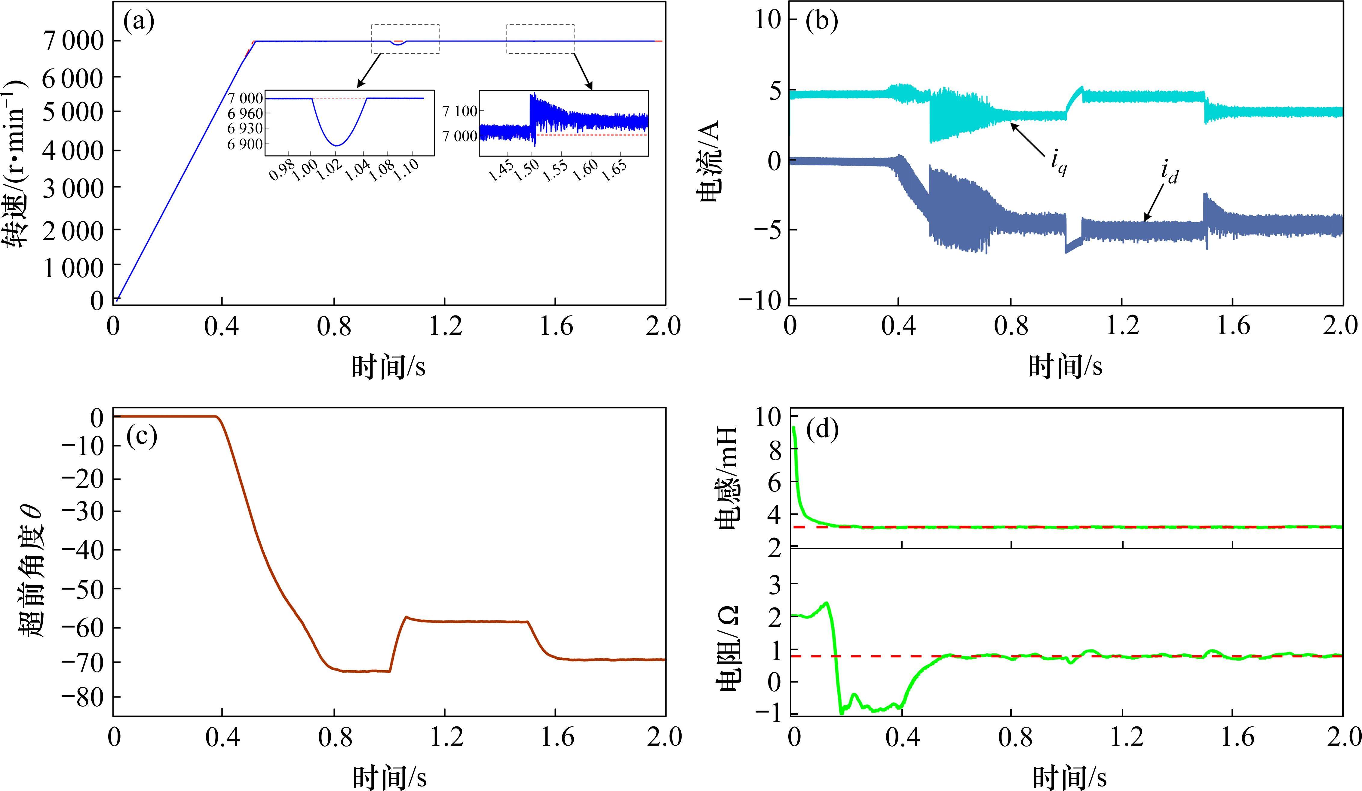
为了更贴近实际工况,测试电机均以带载启动,以50%额定转矩为前提,由式(6)计算得到电机基速为5 200 r/min,图6为MPCC与采用弱磁扩速的FW_MPCC在负载转矩2 N∙m时,给定转速逐步增加至1 500、3 000、4 500、6 000和7 000 r/min时的转速、d-q轴电流波形。由图6(a)和图6(b)可知,3 s之前电机转速小于基速



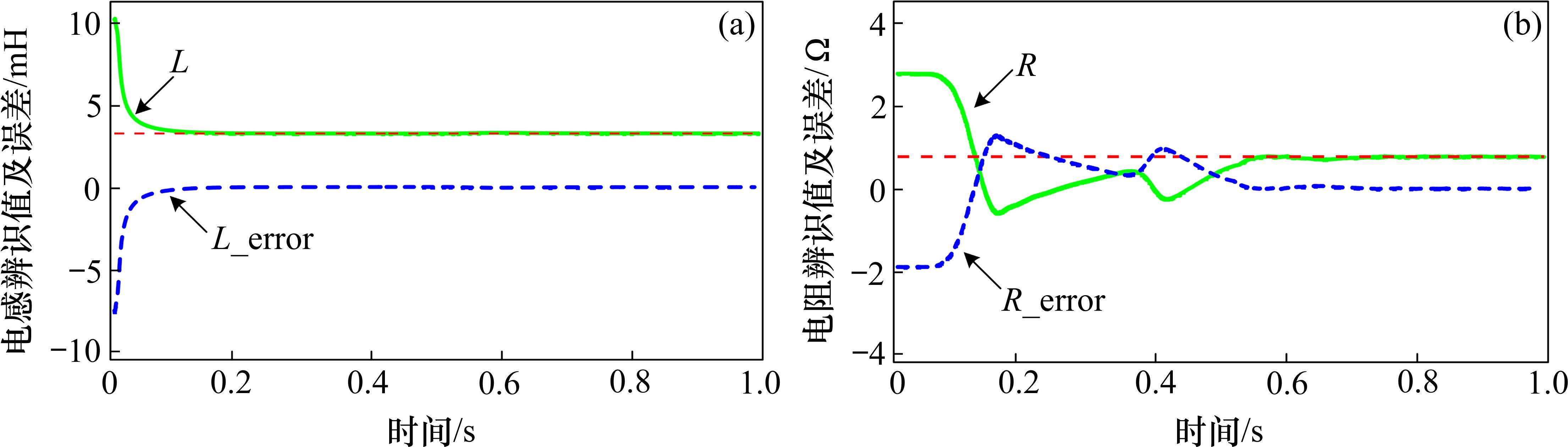
图7为FW_MPCC在2 N∙m,7 000 r/min工况下平稳运行时的波形,由图7(a)可以看出,d、q轴电流均存在较大的稳态误差,图7(b)为改进代价函数后的EKF_FW_PIMPCC电流波形,稳态误差相比于FW_MPCC有所减小。图8(a)为EKF_FW_PIMPCC在线辨识的电感及误差波形,图8(b)为EKF_FW_PIMPCC在线辨识的电阻及误差波形。为了准确评估控制系统的稳态性能,采用电流方均根误差ERMS,定义为



MPCC与FW_MPCC稳态性能指标如表2所示,d轴电流稳态误差由FW_MPCC时的0.15减小至0.005,q轴电流稳态误差由FW_MPCC时的0.589减小至0.002,均减少90%以上,表明所提控制策略在拓宽调速范围的基础上能够显著减小电流稳态误差,提升电机在带载、高速区域的稳态性能。
| ERMS | q轴 | d轴 |
|---|---|---|
| FW_MPCC | 0.589 | 0.15 |
| EKF_FW_PIMPCC | 0.002 | 0.005 |
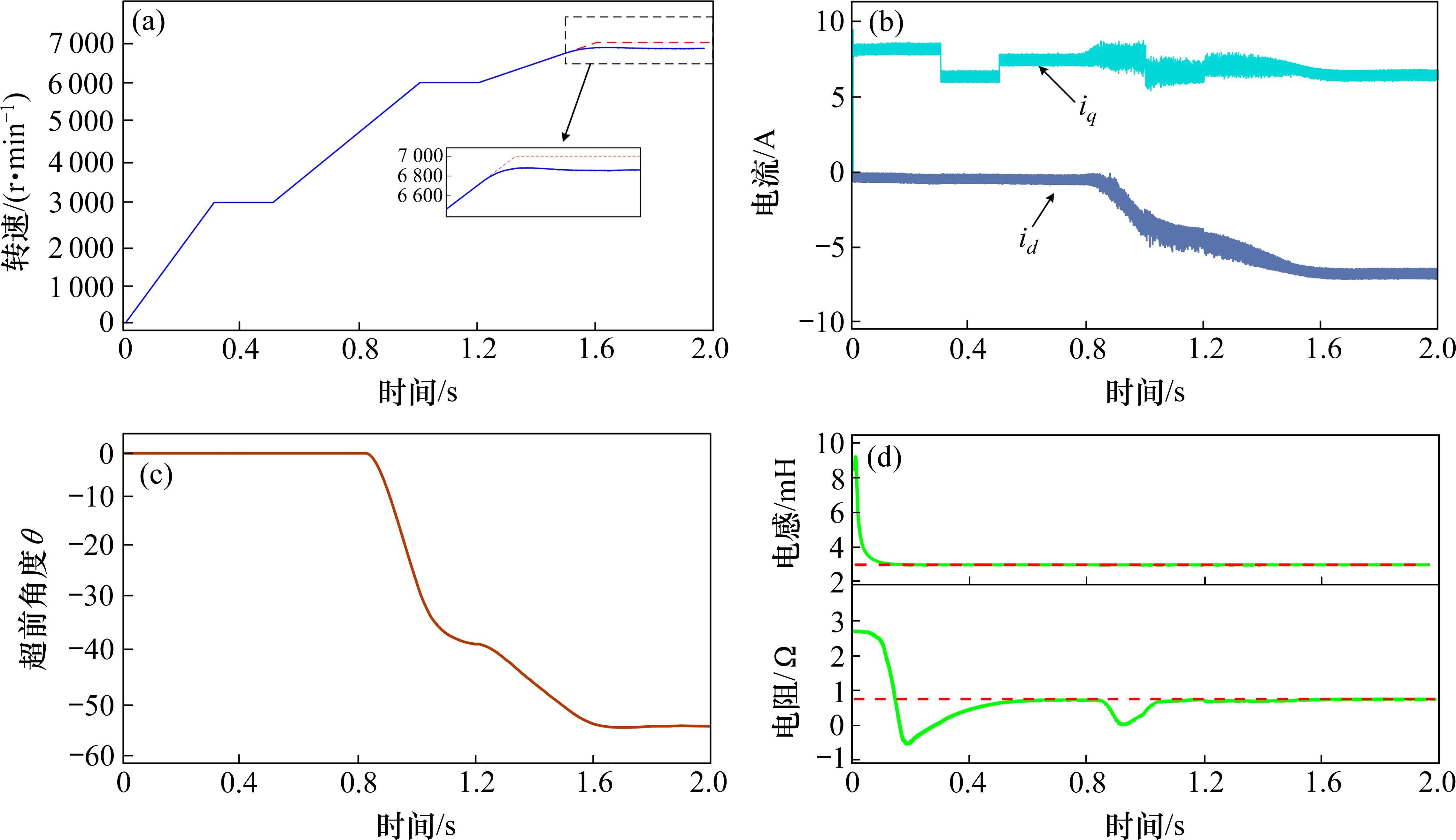
为验证所提控制策略的动态性能,图9为EKF_FW_PIMPCC在75%额定负载,即3 N∙m时转速改变的动态波形,初始给定转速3 000 r/min、0.5 s时改变转速至6 000 r/min、1.2 s时改变给定转速至7 000 r/min。图9(a)为EKF_FW_PIMPCC转速波形,图9(b)为EKF_FW_PIMPCC电流波形,图9(c)为EKF_FW_PIMPCC电流超前角波形,图9(d)为EKF_FW_PIMPCC参数辨识波形。电机在0.3 s时达到额定转速,此时由于电机处于基速区,电流超前角为0;0.5 s时随着电机转速升高,0.85 s时超越基速,此时电机端电压对于逆变器直流母线电压利用率已达到最大,电机运行进入弱磁区,伴随着超前角增大,d、q轴电流均减小,1 s时达到给定转速;1.2 s时继续增加转速,由于定子电流矢量轨迹多重限制,电机达到该负载条件下最大转速,超前角此时为该工况下最大角度,全程电感辨识曲线可以快速收敛,电阻辨识曲线波动后也可以较快收敛。这说明在恒定负载转矩、转速改变工况下,所提控制策略可以实现电机转速良好的动态跟踪。

图10为EKF_FW_PIMPCC在转速为7 000 r/min,负载突变时动态波形,1 s时负载转矩由1 N∙m突变至2 N∙m,1.5 s时突减至1.2 N∙m。图10(a)为EKF_FW_PIMPCC转速波形;图10(b)为EKF_FW_PIMPCC电流波形;图10(c)为EKF_FW_PIMPCC电流超前角波形;图10(d)为EKF_FW_PIMPCC转速改变时参数辨识波形。电机在0.5 s达到给定转速,电流超前角抵达最大,在1 s时电机负载突增1 N∙m,转速跌至6 900 r/min,随即在40 ms后恢复至给定转速,经过计算电压利用率后电流超前角减小;1.5 s电机负载突减0.8 N∙m,转速随即超调至7 002 r/min,在40 ms恢复稳定,同时超前角度仍然能够同步快速跟踪,保持弱磁区域内电流的快速响应,使得电机运行在弱磁区仍然具有与MPCC相似的动态响应性能;参数辨识波形在受到扰动后仍然能够快速收敛,且辨识误差均在5%以内。通过图9与图10这2种工况对比,验证了EKF_FW_PIMPCC在恒定负载、转速改变以及恒定转速、负载突变的扰动下仍然能够快速跟踪,且超调量小,说明所提策略在工况改变时具有较好的动态性能。

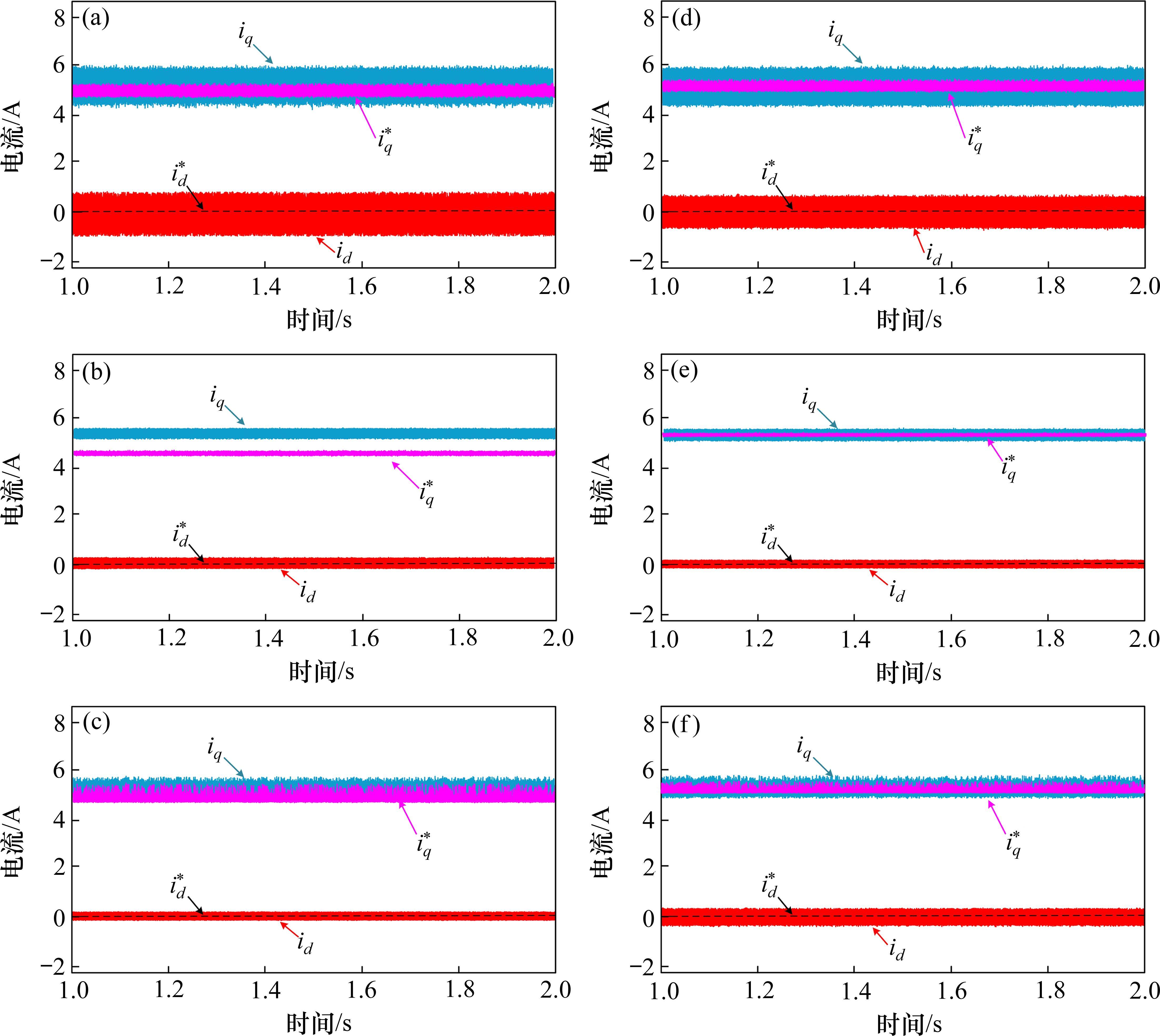
图11为FW_MPCC与EKF_FW_PIMPCC抗扰性能验证波形,转速为4 000 r/min,负载为2.5 N∙m,参数失配条件参阅了文献[26],将失配条件定为电阻失配超过10倍额定值,电感失配为2倍与0.5倍额定值。由图11(a)看出,电机运行中电感L=0.5Ls时,q轴给定电流向下移动,且d、q轴实际电流波动幅度较大;当L=2Ls,由图11(b)看出,q轴给定电流明显下移,给定电流不能准确跟随实际电流,这是由于电感失配会带来d、q轴电流预测误差,此外,电感失配程度较高时,还会影响电机控制系统稳定性。从图11(c)能够看出,当R=10R时,d轴电流变化不大,q轴参考电流同样下移,这是由于电阻失配情况下会产生q轴电流的预测误差。由图11(d)、图11(e)和图11(f)可以看出,采用EKF_FW_PIMPCC后,3种失配条件下d、q轴电流稳态误差相对于FW_MPCC均有减小,仍采用电流方均根误差ERMS量化优化后的稳态误差,性能指标如表3所示,减小电感失配导致的d轴电流稳态误差至少15%以上,同时减小q轴电流稳态误差达90%以上。在电机稳态运行时,所提控制策略对于电感、电阻参数变化能够改善稳态性能,具有更强的参数鲁棒性。

| ERMS | 0.5Ls | 2Ls | 10R | |||
|---|---|---|---|---|---|---|
| id | iq | id | iq | id | iq | |
| FW_MPCC | 0.364 | 0.462 | 0.103 | 0.612 | 0.184 | 0.395 |
| EKF_FW_PIMPCC | 0.269 | 0.009 | 0.069 | 0.001 | 0.152 | 0.003 |
5 结论
1) 所提控制策略EKF_FW_PIMPCC在保留MPCC响应速度快的基础上,显著扩展了永磁同步电机的调速范围。硬件在环仿真测试结果表明,所提控制策略在不依赖电机参数的条件下能够实现电机30%额定转速至200%额定转速区间内快速、灵活调速,实现宽速域运行。
2) 通过改进代价函数,EKF_FW_PIMPCC有效减小了FW_MPCC的电流稳态误差。结果表明,改进后的策略在不同工况下均能保持较低的电流稳态误差,显著提升了控制精度。
3) 通过分析预测模型对永磁同步电机不同参数失配后的敏感性,EKF_FW_PIMPCC使用扩展卡尔曼滤波器(EKF)对电机定子电感、电阻在线辨识。结果表明,辨识误差保持在5%以下,在线计算量小,参数辨识准确度高,并且扩展卡尔曼滤波器便于设计,易于实现。
所提控制策略不仅拓宽了永磁同步电机的调速范围,还减小了参数失配导致预测精度降低的影响,显著提升了控制系统的鲁棒性和适应性,为电机在复杂工况下的稳定运行提供支持。永磁同步电机的弱磁控制性能决定了其高速扩速能力,后续如何在深度弱磁工况下提升控制性能,结合模型预测控制设计最优的电流轨迹进行弱磁升速,实现最优的弱磁升速效果需要进一步研究。
高锋阳,冯阳博,祖河等.永磁同步电机全速域鲁棒模型预测电流控制[J].铁道科学与工程学报,2025,22(10):4661-4673.
GAO Fengyang,FENG Yangbo,ZU He,et al.Permanent magnet synchronous motor full speed domain robust model predictive current control[J].Journal of Railway Science and Engineering,2025,22(10):4661-4673.



