卡尔曼滤波(Kalman filter, KF)广泛应用于自动驾驶[1]、船舶列车目标定位[2]和机器人视觉导航[3]等领域。然而,传统的卡尔曼滤波基于线性系统状态方程和系统的输入输出数据,对系统状态进行最优估计[4],而实际的航空航天、污水处理和化工工业等系统绝大多数具有非线性。为了进一步解决非线性系统状态估计问题,相继提出了扩展卡尔曼滤波(extended Kalman filter, EKF)、无迹卡尔曼滤波(unscented Kalman filter, UKF)以及容积卡尔曼滤波(cubature Kalman filter, CKF)等。
1) EKF滤波器采用一阶线性化的方式,存在较大的线性化误差[5]。
2) UKF具有二阶精度,但需选择参数且参数取值缺乏理论依据,维数大于3时,精度及稳定性较差[6]。
3) CKF基于球面径向容积准则,无需选择任何参数[7],在保证稳定性的同时可以有效提高状态估计精度[8],已广泛应用于非线性系统状态估计,如电池剩余电量的建模与状态估计[9]、惯性太空器的高度估计[10]、复杂现场机械设备状态估计[11]等。然而,基于CKF的状态估计效果仍然取决于系统模型以及量测噪声,在复杂的工业环境下,模型参数会发生变化并且量测值会掺杂非高斯白噪声,造成估计精度下降,甚至滤波发散。
针对上述问题,SUN等[12]在CKF量测更新上,利用Huber-m极大似然估计方法,有效降低被非高斯白噪声干扰的量测结果,更新权重。EESAZADEH等[13]提出了一种改进的CKF算法,结合三次指数平滑方法,在保证状态估计准确性的同时可以适应不断变化的噪声特性。赵天意等[14]提出了一种噪声方差可变卡尔曼滤波方法的估计算法,解决了噪声初值依赖人的经验而导致估计精度下降的问题。HUANG等[15]添加自适应因子,解决了由于模型参数不准确导致的状态估计精度不高的问题。WANG等[16]利用粒子群优化算法对移动估计窗口长度进行寻优,提高了CKF算法在不同工况下的自适应性。孙鹏宇等[17]在传统带遗忘因子最小二乘法上设置精度阈值,引入梯度矫正,发现此方法可以有效提高估计精度。然而,上述研究仅针对模型参数变化或非高斯白噪声单一因素导致的状态估计精度下降问题,未能在两者同时存在的情况下提高状态估计效果。
神经网络能以任意精度拟合非线性函数,将神经网络与卡尔曼滤波相结合可有效提升系统状态估计的精度。孙君光等[18]采用神经网络法,研究电池容量随温度变化的神经网络温度因子,修正UKF在温度变化条件下的SOC估计值。ZHANG等[19]利用神经网络来拟合电力系统中时延和状态的关系,在保证KF估计效果的同时可以有效解决随机时滞的问题。程志远等[20]为提升UKF的辨识精度与收敛速度,采用离线式神经网络指导粒子群优化算法,建立系统噪声协方差矩阵。尹爱军等[21]考虑到腐蚀状态对生产过程的影响,融合模糊策略和神经网络预测结果,提高了腐蚀状态预测效果。
在上述方法中,神经网络都是离线训练,不仅依赖大量历史数据,而且实时性不足。为此,本文提出了一种基于神经网络在线补偿的CKF状态估计方法,引入神经网络在线补偿系统的未建模动态项,有效提升了非线性系统CKF状态估计的准确性和自适应力。
1 问题描述
在卡尔曼滤波状态估计过程中,假设过程噪声和量测噪声为高斯白噪声,模型参数稳定,即模型参数不发生变化。然而,在实际工业现场中,由于各个传感器的耦合干扰以及工业现场恶劣的生产环境,传感器所接收到的量测噪声无法完全满足高斯白噪声的假设[22],严重影响卡尔曼滤波的估计精度。另外,随着设备老化、工况变化,系统模型参数也可能会发生变化。以铝电解生产过程的氧化铝下料控制为例,量测方程反映了氧化铝质量分数与槽电压的非线性关系,模型内部包含极距、电解温度等诸多参数,这些参数与铝电解生产过程密切相关,在不同的工况下会发生变化[23]。
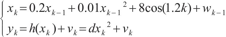
无论是非高斯白噪声的影响还是系统模型参数的变化,均可认为系统真实模型与卡尔曼滤波状态估计所用的系统模型之间存在非线性未建模动态项[24]。假设系统的量测方程存在干扰量,考虑以下离散非线性系统:
2025年9期/10.11817j.issn.1672-7207.2025.09.017/alternativeImage/917C476B-2FC8-4078-9555-F1E897C245AC-M001.jpg)
式中:2025年9期/10.11817j.issn.1672-7207.2025.09.017/alternativeImage/917C476B-2FC8-4078-9555-F1E897C245AC-M002.jpg)
2025年9期/10.11817j.issn.1672-7207.2025.09.017/alternativeImage/917C476B-2FC8-4078-9555-F1E897C245AC-M003.jpg)
2025年9期/10.11817j.issn.1672-7207.2025.09.017/alternativeImage/917C476B-2FC8-4078-9555-F1E897C245AC-M004.jpg)
2025年9期/10.11817j.issn.1672-7207.2025.09.017/alternativeImage/917C476B-2FC8-4078-9555-F1E897C245AC-M005.jpg)
2025年9期/10.11817j.issn.1672-7207.2025.09.017/alternativeImage/917C476B-2FC8-4078-9555-F1E897C245AC-M006.jpg)
2025年9期/10.11817j.issn.1672-7207.2025.09.017/alternativeImage/917C476B-2FC8-4078-9555-F1E897C245AC-M007.jpg)
2025年9期/10.11817j.issn.1672-7207.2025.09.017/alternativeImage/917C476B-2FC8-4078-9555-F1E897C245AC-M008.jpg)
2025年9期/10.11817j.issn.1672-7207.2025.09.017/alternativeImage/917C476B-2FC8-4078-9555-F1E897C245AC-M009.jpg)
2025年9期/10.11817j.issn.1672-7207.2025.09.017/alternativeImage/917C476B-2FC8-4078-9555-F1E897C245AC-M010.jpg)
2025年9期/10.11817j.issn.1672-7207.2025.09.017/alternativeImage/917C476B-2FC8-4078-9555-F1E897C245AC-M006.jpg)
2 算法理论与流程
2.1 容积卡尔曼滤波算法
容积卡尔曼滤波算法利用三阶球径容积准则来近似非线性函数的概率密度分布,具有严谨的数学推导。容积卡尔曼滤波的计算过程如下。
1) 预测更新。假设系统在2025年9期/10.11817j.issn.1672-7207.2025.09.017/alternativeImage/917C476B-2FC8-4078-9555-F1E897C245AC-M012.jpg)
2025年9期/10.11817j.issn.1672-7207.2025.09.017/alternativeImage/917C476B-2FC8-4078-9555-F1E897C245AC-M013.jpg)
2025年9期/10.11817j.issn.1672-7207.2025.09.017/alternativeImage/917C476B-2FC8-4078-9555-F1E897C245AC-M014.jpg)
2025年9期/10.11817j.issn.1672-7207.2025.09.017/alternativeImage/917C476B-2FC8-4078-9555-F1E897C245AC-M012.jpg)
2025年9期/10.11817j.issn.1672-7207.2025.09.017/alternativeImage/917C476B-2FC8-4078-9555-F1E897C245AC-M016.jpg)
2025年9期/10.11817j.issn.1672-7207.2025.09.017/alternativeImage/917C476B-2FC8-4078-9555-F1E897C245AC-M017.jpg)
利用2025年9期/10.11817j.issn.1672-7207.2025.09.017/alternativeImage/917C476B-2FC8-4078-9555-F1E897C245AC-M018.jpg)
2025年9期/10.11817j.issn.1672-7207.2025.09.017/alternativeImage/917C476B-2FC8-4078-9555-F1E897C245AC-M019.jpg)
式中:n为正在计算的状态向量的维数;2025年9期/10.11817j.issn.1672-7207.2025.09.017/alternativeImage/917C476B-2FC8-4078-9555-F1E897C245AC-M020.jpg)
2025年9期/10.11817j.issn.1672-7207.2025.09.017/alternativeImage/917C476B-2FC8-4078-9555-F1E897C245AC-M012.jpg)
2025年9期/10.11817j.issn.1672-7207.2025.09.017/alternativeImage/917C476B-2FC8-4078-9555-F1E897C245AC-M022.jpg)
式中:i取值范围为1~2n。
利用状态转移后的各个容积点计算预测状态2025年9期/10.11817j.issn.1672-7207.2025.09.017/alternativeImage/917C476B-2FC8-4078-9555-F1E897C245AC-M023.jpg)
2025年9期/10.11817j.issn.1672-7207.2025.09.017/alternativeImage/917C476B-2FC8-4078-9555-F1E897C245AC-M024.jpg)
2025年9期/10.11817j.issn.1672-7207.2025.09.017/alternativeImage/917C476B-2FC8-4078-9555-F1E897C245AC-M025.jpg)
2025年9期/10.11817j.issn.1672-7207.2025.09.017/alternativeImage/917C476B-2FC8-4078-9555-F1E897C245AC-M026.jpg)
2) 量测更新。对式(6)计算出的2025年9期/10.11817j.issn.1672-7207.2025.09.017/alternativeImage/917C476B-2FC8-4078-9555-F1E897C245AC-M027.jpg)
2025年9期/10.11817j.issn.1672-7207.2025.09.017/alternativeImage/917C476B-2FC8-4078-9555-F1E897C245AC-M028.jpg)
2025年9期/10.11817j.issn.1672-7207.2025.09.017/alternativeImage/917C476B-2FC8-4078-9555-F1E897C245AC-M029.jpg)
对生成的量测容积点通过非线性量测方程进行传播:
2025年9期/10.11817j.issn.1672-7207.2025.09.017/alternativeImage/917C476B-2FC8-4078-9555-F1E897C245AC-M030.jpg)
根据非线性传播后的容积点计算量测预测值2025年9期/10.11817j.issn.1672-7207.2025.09.017/alternativeImage/917C476B-2FC8-4078-9555-F1E897C245AC-M031.jpg)
2025年9期/10.11817j.issn.1672-7207.2025.09.017/alternativeImage/917C476B-2FC8-4078-9555-F1E897C245AC-M032.jpg)
2025年9期/10.11817j.issn.1672-7207.2025.09.017/alternativeImage/917C476B-2FC8-4078-9555-F1E897C245AC-M033.jpg)
2025年9期/10.11817j.issn.1672-7207.2025.09.017/alternativeImage/917C476B-2FC8-4078-9555-F1E897C245AC-M034.jpg)
2025年9期/10.11817j.issn.1672-7207.2025.09.017/alternativeImage/917C476B-2FC8-4078-9555-F1E897C245AC-M035.jpg)
2025年9期/10.11817j.issn.1672-7207.2025.09.017/alternativeImage/917C476B-2FC8-4078-9555-F1E897C245AC-M036.jpg)
2025年9期/10.11817j.issn.1672-7207.2025.09.017/alternativeImage/917C476B-2FC8-4078-9555-F1E897C245AC-M037.jpg)
2025年9期/10.11817j.issn.1672-7207.2025.09.017/alternativeImage/917C476B-2FC8-4078-9555-F1E897C245AC-M038.jpg)
进行状态更新和协方差矩阵更新:
2025年9期/10.11817j.issn.1672-7207.2025.09.017/alternativeImage/917C476B-2FC8-4078-9555-F1E897C245AC-M039.jpg)
2025年9期/10.11817j.issn.1672-7207.2025.09.017/alternativeImage/917C476B-2FC8-4078-9555-F1E897C245AC-M040.jpg)
2.2 前向传播神经网络
前向传播神经网络具有结构简单、计算量少的特点,能够有效拟合复杂的非线性函数。因此,其在工业现场具有广阔应用前景。图1所示为前向传播神经网络示意图。前向神经网络包含2025年9期/10.11817j.issn.1672-7207.2025.09.017/alternativeImage/917C476B-2FC8-4078-9555-F1E897C245AC-M041.jpg)
2025年9期/10.11817j.issn.1672-7207.2025.09.017/alternativeImage/917C476B-2FC8-4078-9555-F1E897C245AC-M042.jpg)
2025年9期/10.11817j.issn.1672-7207.2025.09.017/alternativeImage/917C476B-2FC8-4078-9555-F1E897C245AC-M043.jpg)
2025年9期/10.11817j.issn.1672-7207.2025.09.017/alternativeImage/917C476B-2FC8-4078-9555-F1E897C245AC-M044.jpg)
2025年9期/10.11817j.issn.1672-7207.2025.09.017/alternativeImage/917C476B-2FC8-4078-9555-F1E897C245AC-F001.jpg)
图1中,2025年9期/10.11817j.issn.1672-7207.2025.09.017/alternativeImage/917C476B-2FC8-4078-9555-F1E897C245AC-M045.jpg)
2025年9期/10.11817j.issn.1672-7207.2025.09.017/alternativeImage/917C476B-2FC8-4078-9555-F1E897C245AC-M044.jpg)
2025年9期/10.11817j.issn.1672-7207.2025.09.017/alternativeImage/917C476B-2FC8-4078-9555-F1E897C245AC-M047.jpg)
2025年9期/10.11817j.issn.1672-7207.2025.09.017/alternativeImage/917C476B-2FC8-4078-9555-F1E897C245AC-M044.jpg)
2025年9期/10.11817j.issn.1672-7207.2025.09.017/alternativeImage/917C476B-2FC8-4078-9555-F1E897C245AC-M049.jpg)
2025年9期/10.11817j.issn.1672-7207.2025.09.017/alternativeImage/917C476B-2FC8-4078-9555-F1E897C245AC-M050.jpg)
2025年9期/10.11817j.issn.1672-7207.2025.09.017/alternativeImage/917C476B-2FC8-4078-9555-F1E897C245AC-M051.jpg)
2025年9期/10.11817j.issn.1672-7207.2025.09.017/alternativeImage/917C476B-2FC8-4078-9555-F1E897C245AC-M050.jpg)
2025年9期/10.11817j.issn.1672-7207.2025.09.017/alternativeImage/917C476B-2FC8-4078-9555-F1E897C245AC-M053.jpg)
2025年9期/10.11817j.issn.1672-7207.2025.09.017/alternativeImage/917C476B-2FC8-4078-9555-F1E897C245AC-M054.jpg)
2025年9期/10.11817j.issn.1672-7207.2025.09.017/alternativeImage/917C476B-2FC8-4078-9555-F1E897C245AC-M055.jpg)
将神经网络的所有连接权重和偏置都视为状态量,构建神经网络状态空间方程:
2025年9期/10.11817j.issn.1672-7207.2025.09.017/alternativeImage/917C476B-2FC8-4078-9555-F1E897C245AC-M056.jpg)
式中:2025年9期/10.11817j.issn.1672-7207.2025.09.017/alternativeImage/917C476B-2FC8-4078-9555-F1E897C245AC-M057.jpg)
2025年9期/10.11817j.issn.1672-7207.2025.09.017/alternativeImage/917C476B-2FC8-4078-9555-F1E897C245AC-M044.jpg)
2025年9期/10.11817j.issn.1672-7207.2025.09.017/alternativeImage/917C476B-2FC8-4078-9555-F1E897C245AC-M059.jpg)
2025年9期/10.11817j.issn.1672-7207.2025.09.017/alternativeImage/917C476B-2FC8-4078-9555-F1E897C245AC-M060.jpg)
2025年9期/10.11817j.issn.1672-7207.2025.09.017/alternativeImage/917C476B-2FC8-4078-9555-F1E897C245AC-M044.jpg)
2025年9期/10.11817j.issn.1672-7207.2025.09.017/alternativeImage/917C476B-2FC8-4078-9555-F1E897C245AC-M012.jpg)
2025年9期/10.11817j.issn.1672-7207.2025.09.017/alternativeImage/917C476B-2FC8-4078-9555-F1E897C245AC-M063.jpg)
2.3 自适应CKF-NN状态估计算法
CKF-NN在卡尔曼滤波的量测更新过程中引入神经网络,补偿由于模型参数变化或者非高斯白噪声而产生的未建模动态项。考虑存在干扰的量测输出值和实际值的关系如式(17)所示。
2025年9期/10.11817j.issn.1672-7207.2025.09.017/alternativeImage/917C476B-2FC8-4078-9555-F1E897C245AC-M064.jpg)
式中:2025年9期/10.11817j.issn.1672-7207.2025.09.017/alternativeImage/917C476B-2FC8-4078-9555-F1E897C245AC-M065.jpg)
2025年9期/10.11817j.issn.1672-7207.2025.09.017/alternativeImage/917C476B-2FC8-4078-9555-F1E897C245AC-M066.jpg)
2025年9期/10.11817j.issn.1672-7207.2025.09.017/alternativeImage/917C476B-2FC8-4078-9555-F1E897C245AC-M067.jpg)
为了补偿这个非线性未建模动态项2025年9期/10.11817j.issn.1672-7207.2025.09.017/alternativeImage/917C476B-2FC8-4078-9555-F1E897C245AC-M068.jpg)
2025年9期/10.11817j.issn.1672-7207.2025.09.017/alternativeImage/917C476B-2FC8-4078-9555-F1E897C245AC-M069.jpg)
式中:2025年9期/10.11817j.issn.1672-7207.2025.09.017/alternativeImage/917C476B-2FC8-4078-9555-F1E897C245AC-M070.jpg)
2025年9期/10.11817j.issn.1672-7207.2025.09.017/alternativeImage/917C476B-2FC8-4078-9555-F1E897C245AC-M071.jpg)
2025年9期/10.11817j.issn.1672-7207.2025.09.017/alternativeImage/917C476B-2FC8-4078-9555-F1E897C245AC-M072.jpg)
CKF-NN基于卡尔曼滤波框架,在量测更新部分添加了神经网络输出补偿,需要估计的状态量包括系统状态和神经网络的权重和偏置,两者相互独立。系统的状态空间方程如式(19)所示。
2025年9期/10.11817j.issn.1672-7207.2025.09.017/alternativeImage/917C476B-2FC8-4078-9555-F1E897C245AC-M073.jpg)
在量测更新过程中,加入了神经网络的补偿,时间更新步骤未引入神经网络补偿,故预测更新步骤与式(2)~(6)相同。而在量测更新过程中,其状态估计值融合了量测方程的输出值与神经网络的补偿值之和。
2025年9期/10.11817j.issn.1672-7207.2025.09.017/alternativeImage/917C476B-2FC8-4078-9555-F1E897C245AC-M074.jpg)
根据非线性传播后的容积点计算量测预测值2025年9期/10.11817j.issn.1672-7207.2025.09.017/alternativeImage/917C476B-2FC8-4078-9555-F1E897C245AC-M075.jpg)
2025年9期/10.11817j.issn.1672-7207.2025.09.017/alternativeImage/917C476B-2FC8-4078-9555-F1E897C245AC-M076.jpg)
2025年9期/10.11817j.issn.1672-7207.2025.09.017/alternativeImage/917C476B-2FC8-4078-9555-F1E897C245AC-M077.jpg)
2025年9期/10.11817j.issn.1672-7207.2025.09.017/alternativeImage/917C476B-2FC8-4078-9555-F1E897C245AC-M078.jpg)
2025年9期/10.11817j.issn.1672-7207.2025.09.017/alternativeImage/917C476B-2FC8-4078-9555-F1E897C245AC-M079.jpg)
2025年9期/10.11817j.issn.1672-7207.2025.09.017/alternativeImage/917C476B-2FC8-4078-9555-F1E897C245AC-M080.jpg)
对于式(14)可得,CKF的估计精度主要受量测值和量测预测值之差2025年9期/10.11817j.issn.1672-7207.2025.09.017/alternativeImage/917C476B-2FC8-4078-9555-F1E897C245AC-M081.jpg)
2025年9期/10.11817j.issn.1672-7207.2025.09.017/alternativeImage/917C476B-2FC8-4078-9555-F1E897C245AC-M082.jpg)
2025年9期/10.11817j.issn.1672-7207.2025.09.017/alternativeImage/917C476B-2FC8-4078-9555-F1E897C245AC-M083.jpg)
2025年9期/10.11817j.issn.1672-7207.2025.09.017/alternativeImage/917C476B-2FC8-4078-9555-F1E897C245AC-M084.jpg)
2025年9期/10.11817j.issn.1672-7207.2025.09.017/alternativeImage/917C476B-2FC8-4078-9555-F1E897C245AC-M085.jpg)
2025年9期/10.11817j.issn.1672-7207.2025.09.017/alternativeImage/917C476B-2FC8-4078-9555-F1E897C245AC-M086.jpg)
进行状态更新:
2025年9期/10.11817j.issn.1672-7207.2025.09.017/alternativeImage/917C476B-2FC8-4078-9555-F1E897C245AC-M087.jpg)
CKF-NN的算法流程如图2所示。
2025年9期/10.11817j.issn.1672-7207.2025.09.017/alternativeImage/917C476B-2FC8-4078-9555-F1E897C245AC-F002.jpg)
3 实验验证与结果分析
通过数值仿真和工业应用实例验证本文所提出的CKF-NN方法的有效性。在数值仿真中,使用CKF-NN方法对输出模型的不准确性和测量噪声中的非高斯白噪声进行补偿。在工业实例应用中,采用线性时不变模型来描述铝电解工业中的氧化铝质量分数变化,并利用CKF-NN方法在线补偿氧化铝质量分数的估计误差,进一步体现了所提出的方法的优越性。
3.1 数值仿真
3.1.1 模型参数变化
考虑以下单输入、单输出非线性模型:
2025年9期/10.11817j.issn.1672-7207.2025.09.017/alternativeImage/917C476B-2FC8-4078-9555-F1E897C245AC-M088.jpg)
式中:2025年9期/10.11817j.issn.1672-7207.2025.09.017/alternativeImage/917C476B-2FC8-4078-9555-F1E897C245AC-M089.jpg)
2025年9期/10.11817j.issn.1672-7207.2025.09.017/alternativeImage/917C476B-2FC8-4078-9555-F1E897C245AC-M090.jpg)
2025年9期/10.11817j.issn.1672-7207.2025.09.017/alternativeImage/917C476B-2FC8-4078-9555-F1E897C245AC-M091.jpg)
2025年9期/10.11817j.issn.1672-7207.2025.09.017/alternativeImage/917C476B-2FC8-4078-9555-F1E897C245AC-M092.jpg)
补偿神经网络的选取既要考虑到网络的非线性映射能力,又要兼顾计算系统的实时计算能力。因此,选用如图3所示1-3-1结构的前向传播神经网络进行状态估计补偿。
2025年9期/10.11817j.issn.1672-7207.2025.09.017/alternativeImage/917C476B-2FC8-4078-9555-F1E897C245AC-F003.jpg)
神经网络常用的激活函数有tanh、ReLU和sigmoid函数等。tanh函数具有对称性和平滑梯度特性,能有效缓解梯度消失问题,更适合在线训练场景。因此,选择tanh作为每个神经元的激活函数。则神经网络的输出函数为:
2025年9期/10.11817j.issn.1672-7207.2025.09.017/alternativeImage/917C476B-2FC8-4078-9555-F1E897C245AC-M093.jpg)
式中:2025年9期/10.11817j.issn.1672-7207.2025.09.017/alternativeImage/917C476B-2FC8-4078-9555-F1E897C245AC-M094.jpg)
2025年9期/10.11817j.issn.1672-7207.2025.09.017/alternativeImage/917C476B-2FC8-4078-9555-F1E897C245AC-M095.jpg)
2025年9期/10.11817j.issn.1672-7207.2025.09.017/alternativeImage/917C476B-2FC8-4078-9555-F1E897C245AC-M096.jpg)
2025年9期/10.11817j.issn.1672-7207.2025.09.017/alternativeImage/917C476B-2FC8-4078-9555-F1E897C245AC-M097.jpg)
2025年9期/10.11817j.issn.1672-7207.2025.09.017/alternativeImage/917C476B-2FC8-4078-9555-F1E897C245AC-M098.jpg)
经神经网络补偿后的状态空间模型为:
2025年9期/10.11817j.issn.1672-7207.2025.09.017/alternativeImage/917C476B-2FC8-4078-9555-F1E897C245AC-M099.jpg)
共进行100次随机试验,当仿真步长为65时,式(28)中模型参数2025年9期/10.11817j.issn.1672-7207.2025.09.017/alternativeImage/917C476B-2FC8-4078-9555-F1E897C245AC-M100.jpg)
2025年9期/10.11817j.issn.1672-7207.2025.09.017/alternativeImage/917C476B-2FC8-4078-9555-F1E897C245AC-M101.jpg)
2025年9期/10.11817j.issn.1672-7207.2025.09.017/alternativeImage/917C476B-2FC8-4078-9555-F1E897C245AC-M102.jpg)
2025年9期/10.11817j.issn.1672-7207.2025.09.017/alternativeImage/917C476B-2FC8-4078-9555-F1E897C245AC-F004.jpg)
由图4(a)可见:模型参数未发生变化即预测步长在65步之内时,2种算法均可以实现状态准确估计,偶有偏差也可以较快恢复跟踪,但CKF相比于CKF-NN受初始状态影响较大,需要较长的调整时间才能保持良好的跟随效果;当预测步长大于65时,模型参数发生变化,CKF的状态估计值与真实值开始出现较大偏差,且无法通过自身调整实现状态准确估计。CKF-NN神经网络的各个参数能够在线训练并且输出补偿值,及时消除模型参数变化的影响,有效提高了状态估计的准确性。由此可见,所提出的CKF-NN能够有效降低模型参数变化对系统状态估计的影响。由图4(b)可见,CKF的绝对误差大于CKF-NN的绝对误差,而且CKF-NN可以将绝对误差限制在一个较小的范围内,进而证明了所提方法的稳定性。由图4(c)可见,神经网络所有的权值和偏置不断变化,充分说明神经网络根据实际系统情况进行在线更新。实验结果表明,在模型参数发生变化的条件下,CKF-NN相比于CKF的均方根误差降低了约76.19%,相关系数提高了约52.5%,估计标准差降低了约75.62%,有效提升了状态估计的抗干扰能力。
3.1.2 非高斯白噪声干扰
在本例中,模型仍使用式(28)所示模型,仿真过程中模型参数不变化,但量测噪声2025年9期/10.11817j.issn.1672-7207.2025.09.017/alternativeImage/917C476B-2FC8-4078-9555-F1E897C245AC-M103.jpg)
2025年9期/10.11817j.issn.1672-7207.2025.09.017/alternativeImage/917C476B-2FC8-4078-9555-F1E897C245AC-M104.jpg)
式中:噪声系数2025年9期/10.11817j.issn.1672-7207.2025.09.017/alternativeImage/917C476B-2FC8-4078-9555-F1E897C245AC-M105.jpg)
2025年9期/10.11817j.issn.1672-7207.2025.09.017/alternativeImage/917C476B-2FC8-4078-9555-F1E897C245AC-M106.jpg)
2025年9期/10.11817j.issn.1672-7207.2025.09.017/alternativeImage/917C476B-2FC8-4078-9555-F1E897C245AC-M107.jpg)
2025年9期/10.11817j.issn.1672-7207.2025.09.017/alternativeImage/917C476B-2FC8-4078-9555-F1E897C245AC-M108.jpg)
2025年9期/10.11817j.issn.1672-7207.2025.09.017/alternativeImage/917C476B-2FC8-4078-9555-F1E897C245AC-M105.jpg)
2025年9期/10.11817j.issn.1672-7207.2025.09.017/alternativeImage/917C476B-2FC8-4078-9555-F1E897C245AC-M106.jpg)
2025年9期/10.11817j.issn.1672-7207.2025.09.017/alternativeImage/917C476B-2FC8-4078-9555-F1E897C245AC-F005.jpg)
由图5(a)可见:2种状态估计算法均出现误差。CKF在每个时刻都存在着不同程度的偏差。而CKF-NN在非高斯白噪声的干扰下可以降低非初始时刻的状态估计误差,体现了神经网络的补偿作用。神经网络权值和偏置的在线训练结果如图 5(c)所示,神经网络根据系统实际情况进行在线更新。实验结果表明,在非高斯白噪声干扰的条件下,CKF-NN相比于CKF的均方根误差降低了约41.28%,相关系数提高了约29.46%,估计标准差降低了约65.27%,具有更高的准确性和更强的抗干扰能力。
3.2 工业现场应用实例
为了进一步验证本文所提算法的有效性,将其应用于流程工业典型环节铝电解生产过程,估计氧化铝质量分数。铝电解生产普遍采用霍尔-埃鲁特法,即电解质-氧化铝熔融盐电解法[25]。在生产过程中,氧化铝粉末通过打壳装置和下料执行机构的相互配合,进入到电解槽内温度为950 ℃左右的熔融电解质中[26],在直流电的作用下,在电解槽内发生反应:
2025年9期/10.11817j.issn.1672-7207.2025.09.017/alternativeImage/917C476B-2FC8-4078-9555-F1E897C245AC-M111.jpg)
2025年9期/10.11817j.issn.1672-7207.2025.09.017/alternativeImage/917C476B-2FC8-4078-9555-F1E897C245AC-M112.jpg)
氧化铝质量分数是铝电解过程中反映生产状态的关键指标。铝电解过程中氧化铝质量分数应控制在1.5%~3.5%。由于铝电解的生产工艺特点(高温、强腐蚀、强电流、强磁场),目前无法实时在线测量氧化铝质量分数[27]。因此,精准估计氧化铝质量分数具有重要的意义。
文献[28-29]建立了如式(33)的氧化铝质量分数机理模型。
2025年9期/10.11817j.issn.1672-7207.2025.09.017/alternativeImage/917C476B-2FC8-4078-9555-F1E897C245AC-M113.jpg)
式中:2025年9期/10.11817j.issn.1672-7207.2025.09.017/alternativeImage/917C476B-2FC8-4078-9555-F1E897C245AC-M114.jpg)
2025年9期/10.11817j.issn.1672-7207.2025.09.017/alternativeImage/917C476B-2FC8-4078-9555-F1E897C245AC-M044.jpg)
2025年9期/10.11817j.issn.1672-7207.2025.09.017/alternativeImage/917C476B-2FC8-4078-9555-F1E897C245AC-M116.jpg)
2025年9期/10.11817j.issn.1672-7207.2025.09.017/alternativeImage/917C476B-2FC8-4078-9555-F1E897C245AC-M044.jpg)
2025年9期/10.11817j.issn.1672-7207.2025.09.017/alternativeImage/917C476B-2FC8-4078-9555-F1E897C245AC-M118.jpg)
2025年9期/10.11817j.issn.1672-7207.2025.09.017/alternativeImage/917C476B-2FC8-4078-9555-F1E897C245AC-M012.jpg)
2025年9期/10.11817j.issn.1672-7207.2025.09.017/alternativeImage/917C476B-2FC8-4078-9555-F1E897C245AC-M120.jpg)
2025年9期/10.11817j.issn.1672-7207.2025.09.017/alternativeImage/917C476B-2FC8-4078-9555-F1E897C245AC-M012.jpg)
在工业应用实例验证中,实验数据来源于国内某铝厂400 kA铝电解槽。基于在线检测可行性分析,选择槽电压和系列电流为输入变量。槽电压和系列电流由工业现场的数据采集装置获取,采集频率为4 s,基于3σ准则剔除明显偏离均值的异常点,共采集100组数据。在工业现场采集电解质样品,采样间隔为20 s,共采集20组电解质样品,冷却定型后,送到实验室化验分析得到氧化铝质量分数[30]。考虑到铝电解生产过程具有周期性与重复性,不同工况的氧化铝质量分数变化规律可通过有限数据样本进行描述。因此,本实验验证正常生产工况和出铝工况下的CKF-NN估计效果。结合工业现场,在数据采集到240 s时,铝电解生产从正常工况进入到出铝工况。根据出铝的操作记录可知,此次出铝后极距提升约10 mm。
铝电解生产过程中存在非高斯白噪声,在正常生产、出铝和换极等多种工况下氧化铝质量分数模型参数会发生变化。考虑到神经网络隐含层数和隐层节点数影响模型的复杂度和训练效果,节点数过多可能导致过拟合,而节点数过少则可能导致欠拟合。结合铝电解工业场景对实时性的需求,通过交叉验证等方法确定补偿神经网络采用1-3-1结构,神经网络各个参数的初始值设置为1。考虑到初始状态对非线性系统状态估计的影响,经过多次迭代验证,设置初始状态值为2.237,初始方差为100。共进行100次仿真实验,每个预测步长为槽电压和系列电流数据的采集频率。在仿真第60步时,模型参数开始变化,与极距相关的可变参数a、b和c均增大10%。为了分析CKF-NN算法的优越性,在相同条件下,将槽电压和系列电流作为CKF、EKF-NN和CKF-NN的输入数据,将输出的氧化铝质量分数估计值与实验室化验得到氧化铝质量分数真实值进行对比。
图6所示为CKF、EKF-NN和CKF-NN的氧化铝质量分数估计效果对比。由图6(a)可见,大约在第60步时,模型参数发生变化,对应铝电解生产现场工况切换的实际情况;CKF在60步开始出现状态估计值的严重偏移,无法满足实际现场对于氧化铝质量分数的估计,而EKF-NN和CKF-NN能够保证氧化铝质量分数估计值在要求的范围之内。相较于EKF-NN,CKF-NN具有更加优越的估计效果。由图6(b)可见,CKF-NN能够根据模型参数变化自动在线补偿。实验结果表明,CKF-NN方法的均方根误差相较于CKF降低了约30.48%,相较于EKF-NN降低了约11.82%。
2025年9期/10.11817j.issn.1672-7207.2025.09.017/alternativeImage/917C476B-2FC8-4078-9555-F1E897C245AC-F006.jpg)
表1所示为不同实验条件下CKF-NN与其他滤波方法的状态估计精度对比。从表1可见:CKF-NN算法具有更高的状态估计精度和更强的抗干扰能力,在模型参数变化和非高斯白噪声干扰的条件下,仍能保持稳定的高精度估计性能,展现出显著的鲁棒性优势。
| 实验条件 | 滤波方法 | RMSE | R2 | 标准差 |
|---|---|---|---|---|
| 模型参数变化 | CKF | 14.188 6 | 0.598 | 0.402 |
| CKF-NN | 3.378 9 | 0.912 | 0.098 | |
| 非高斯白噪声干扰 | CKF | 5.724 4 | 0.689 | 0.311 |
| CKF-NN | 3.361 2 | 0.892 | 0.108 | |
| 工业现场应用 | CKF | 0.063 1 | 0.741 | 0.259 |
| EKF-NN | 0.049 8 | 0.820 | 0.180 | |
| CKF-NN | 0.043 9 | 0.862 | 0.148 |
4 结论
1) 提出了一种容积卡尔曼滤波和神经网络结合的补偿算法,并通过一个数值仿真模拟现场的干扰以及实际工业模型可能出现的变化,来验证所提算法的有效性。
2) 所提出的算法能够根据神经网络以任意精度拟合非线性干扰,将神经网络和卡尔曼滤波算法结合在一起,为解决工业现场干扰提供了新的思路。
3) 所提出的算法对神经网络进行状态空间建模,采用在线训练的方式训练神经网络,避免了使用离线训练所需的大量数据,提高了实时性的要求。
阎群, 张钰龙, 王明刚, 等. 基于神经网络补偿的自适应容积卡尔曼滤波状态估计[J]. 中南大学学报(自然科学版), 2025, 56(9): 3760-3770.
YAN Qun, ZHANG Yulong, WANG Minggang, et al. Adaptive cubature Kalman filter state estimation based on neural network compensation[J]. Journal of Central South University(Science and Technology), 2025, 56(9): 3760-3770.
http://dx.doi.org/10.11817/j.issn.1672-7207.2025.09.017

