2012年到2022年间,我国铁路发展迅速,运营里程从9.7万km增长到15.5万km。我国已经是世界上铁路网运营最繁忙的国家。同时,我国也是全球风沙灾害区铁路分布里程最长的国家,累计长度超过1.5万km,部分铁路路段受风沙活动危害影响长度高达30%以上[1]。风沙流不仅会吹蚀、打磨铁路沿线的基础设施和附属工程,还会掩埋涵洞、道床和钢轨,毁坏路基等,造成紧急制动、脱轨和停运等安全事故,强力的横风甚至会倾覆行车车辆、摧毁行车设备,干扰弓网受流安全,引发严重的铁路运营安全事故。随着我国“一带一路”倡议和“交通强国,铁路先行”战略的推进,尤其是西部铁路建设步伐的加快,深入研究风沙灾害区铁路运营系统安全韧性,提高铁路运营系统对风沙灾害的应对能力,对保障我国风沙灾害区铁路安全、准时和舒适的运营具有重要的实际意义。相比于追求“安全防御”的风险管理思想,“韧性”理论更强调运用系统工程的思维去应对灾害,更注重灾害发生后的恢复能力和从灾害中学习以减轻同类灾害造成的影响的适应能力,这为风沙灾害区铁路运营系统的防灾减灾提供了新的研究思路[2]。国内外学者对于铁路运营系统安全韧性进行了研究,如:ILALOKHOIN等[3]通过整合铁路网及其供电系统的网络拓扑模型,评价了英国南部地区铁路网牵引供电系统的韧性;樊燕燕等[4]针对高原地区铁路运营期安全系统韧性,建立了包括管理系统、人员系统、环境系统和物质系统等的评价指标体系,但这些研究中鲜有针对风沙灾害区铁路运营系统的韧性;其次,缺乏从动态的视角来反映铁路系统在风沙灾害区受到的压力和铁路系统受灾后人类对其采取的响应之间的交互关系;最后,常用的铁路运营系统的韧性评价方法——网络层次分析法[5],R-TOPSIS [6],数据包络分析法[7]等,鲜有考虑到待评价对象的矛盾性和模糊性。综上,为合理分析风沙灾害区铁路的运营系统安全韧性评价的全过程,提出采用P-S-R模型,结合韧性理论,以扰动前、中、后的韧性过程为框架,筛选指标并建立适用于风沙灾害区铁路运营系统安全韧性评估的指标体系,运用灰色关联分析改进的序关系分析法和熵权法,结合最小信息熵原理进行组合赋权,为定性描述和定量分析风沙灾害区铁路运营系统安全韧性的矛盾性和模糊性,运用可拓云模型理论进行评价,并提出相应的提升建议,以期为我国风沙灾害区铁路运营系统的安全韧性评估提供参考。
1 风沙灾害区铁路运营系统安全韧性内涵
目前,对于风沙灾害区铁路运营系统的安全韧性,尚无公认的标准和定义,因此结合风沙地区的特点及铁路运营系统的组成,将风沙灾害区铁路运营系统的安全韧性定义为:穿越或毗邻风沙灾害区的铁路在投入使用阶段,其运营系统在面临自然灾害或内部压力时,结合自身的状态条件,通过发挥其抵抗干扰并保持主要功能的鲁棒和冗余能力、迅速恢复铁路正常运营的敏捷和反馈能力以及适应扰动以减小同类扰动损失的智慧和学习能力来做出响应,使铁路运营系统达到更优的状态。
2 风沙灾害区铁路运营系统安全韧性指标体系的构建
2.1 基于P-S-R模型的安全韧性形成机理
P-S-R模型作为一种多用于表述动态关系的评价指标构建框架,其中P代表系统受到的负面干扰压力,S代表压力作用下系统所处的状态,R代表为改善压力的影响而采取的人为响应措施[8]。韧性理论本身具有过程属性,涉及到具有抵抗干扰并保持主要功能的鲁棒和冗余能力、迅速恢复铁路正常运营的敏捷和反馈能力以及适应扰动以减小同类扰动损失的智慧和学习能力。然而该过程属性缺乏对这3种能力之间动态交互的考虑,故将P-S-R模型与韧性理论相结合,风沙灾害区铁路安全韧性可分为3个维度:扰动前的压力韧性,扰动中的状态韧性和扰动后的响应韧性。
扰动前的压力韧性。主要包括可能对铁路正常运营产生影响的各种负面致灾因子。从扰动发生原因来说,运行在风沙灾害区的铁路系统所面临最主要的自然灾害压力是强风沙对流,除此之外,铁路系统内部也会因为人员的不安全意识与行为、设备的安全状态和管理制度的执行程度等原因对铁路的正常运营造成影响。因此压力韧性主要是可能对铁路运营系统产生负面影响的逆反因素。
扰动中的状态韧性。在压力因素发生过程中,铁路系统作为承灾体,主要依靠人、物、环境和安全管理等方面来体现承灾状态和应对压力的冗余能力,此外依据事故致灾机理理论,导致事故发生的因素主要在于人、设备、环境和管理方法4个方面。因此,将风沙灾害区铁路的运营系统具体划分为4个子系统,分别为人员子系统、设施设备子系统、环境子系统和管理交互子系统。其中人员子系统包括机务、车务等部门的所有工作人员;设施设备子系统主要指包括防沙设施在内的基础设施以及运营和检测设备等;环境子系统是指影响铁路运营过程的诸多环境因素,包括自然和社会环境;管理交互子系统包括运营管理过程中的组织机构架构等。因此状态韧性主要是指考虑铁路运营系统中的“人-机-环-管”作为承灾体的综合状态,以及在发生干扰后各子系统抵抗破坏、减小损失并保持主要功能正常运转的能力。
扰动后的响应韧性。在压力因素发生后,铁路系统及外界会实施一系列的救援活动,包括应对扰动使铁路新系统及时恢复正常运营和对扰动带来的经验进行反思、总结和学习适应。因此响应韧性主要体现铁路运营系统在受到干扰后的恢复和适应能力。具体如图1所示。

2.2 初始指标的选取
通过参考相关文献[8],分别对外文Web of Science和中文中国知网权威文献核心数据库以“风沙铁路”and“安全”和“铁路”and“韧性”等词为检索主题,检索后人工筛选符合研究主题的2000年至2023年的外文文献62篇、中文文献128篇,通过CiteSpace 6.2.R3对这些文献进行分析,按关键词共现频次由高到低进行排序,初步选取36个频次高的关键词作为风沙灾害区铁路运营系统安全韧性评估指标,如表1所示,限于篇幅,指标来源只引用部分典型文章。
| 2级指标 | 3级指标 | 指标来源 | 标准差 | 均值 | 变异系数 | 结果 |
|---|---|---|---|---|---|---|
| 压力韧性 | 风蚀气候侵蚀力 | 文献[9-11] | 0.72 | 4.2 | 0.17 | 保留 |
| 沙丘活化指数 | 文献[11-13] | 0.69 | 3.8 | 0.18 | 保留 | |
| 输沙势 | 文献[14-15] | 0.62 | 4.45 | 0.14 | 保留 | |
| 人的安全意识与行为 | 文献[5-6] | 0.57 | 4.34 | 0.13 | 保留 | |
| 设施设备安全状态 | 文献[4-5] | 0.78 | 4.21 | 0.18 | 保留 | |
| 运营管理制度执行度 | 文献[4, 6] | 0.59 | 3.64 | 0.16 | 保留 | |
| 风沙活动强度指数 | 文献[11, 13] | 1.06 | 3.57 | 0.29 | 删除 | |
| 大风日数 | 文献[13-14] | 1.15 | 4.2 | 0.27 | 删除 | |
| 日均客运量 | 文献[4, 16] | 1.11 | 3.64 | 0.31 | 删除 | |
| 土壤风蚀量 | 文献[11, 13] | 1.04 | 3.8 | 0.27 | 删除 | |
| 状态韧性 | 人员专业能力 | 文献[4-5] | 0.63 | 3.95 | 0.18 | 保留 |
| 人员生理心理健康度 | 文献[5, 7] | 0.56 | 4.25 | 0.13 | 保留 | |
| 监控设备状态 | 文献[4, 6] | 0.61 | 4.62 | 0.13 | 保留 | |
| 防沙设施清沙及检修状态 | 文献[17] | 0.58 | 3.89 | 0.15 | 保留 | |
| 植被疏密状态 | 文献[18-19] | 0.76 | 4.27 | 0.18 | 保留 | |
| 地表砂石覆盖状态 | 文献[18-19] | 0.64 | 3.56 | 0.18 | 保留 | |
| 风沙预警体系状态 | 文献[6, 13, 16] | 0.76 | 4.78 | 0.16 | 保留 | |
| 应急预案体系状态 | 文献[4, 6] | 0.54 | 3.87 | 0.14 | 保留 | |
| 信息设备状态 | 文献[4, 6] | 1.18 | 4.25 | 0.28 | 删除 | |
| 应急指挥机构建设情况 | 文献[5-6, 16] | 1.27 | 3.92 | 0.32 | 删除 | |
| 线路保护区环境状态 | 文献[5-6] | 1.02 | 4.06 | 0.25 | 删除 | |
| 人员应急调动配备 | 文献[5, 16, 20] | 1.2 | 3.56 | 0.33 | 删除 | |
| 响应韧性 | 人员配置冗余状态 | 文献[7, 20] | 0.65 | 4.55 | 0.14 | 保留 |
| 人员应急抢修能力 | 文献[7] | 0.57 | 4.34 | 0.13 | 保留 | |
| 救援列车状态 | 文献[5-6, 16] | 0.68 | 3.91 | 0.17 | 保留 | |
| 救援机构救援能力 | 文献[2] | 0.7 | 4.52 | 0.15 | 保留 | |
| 应急物资冗余 | 文献[4-5] | 0.65 | 4.06 | 0.16 | 保留 | |
| 运营恢复计划资金投入 | 文献[2] | 0.58 | 3.92 | 0.13 | 保留 | |
| 人员学习培训情况 | 文献[5, 7] | 0.55 | 3.99 | 0.14 | 保留 | |
| 防沙设备研发及成果推广使用 | 文献[17, 20] | 0.71 | 4.29 | 0.17 | 保留 | |
| 应急培训演练情况 | 文献[6, 16] | 0.61 | 4.05 | 0.15 | 保留 | |
| 事后评估分析能力 | 文献[6, 21] | 0.62 | 3.43 | 0.18 | 保留 | |
| 应急协调能力 | 文献[6, 16, 21] | 1.27 | 3.74 | 0.33 | 删除 | |
| 应急救援体系优化 | 文献[6, 21] | 1.08 | 3.87 | 0.28 | 删除 | |
| 设备故障恢复能力 | 文献[5, 16] | 1.16 | 4.27 | 0.27 | 删除 | |
| 事故信息传递的效率性 | 文献[6, 16] | 1.31 | 4.34 | 0.3 | 删除 |
2.3 基于变异系数的指标筛选
专家调查法是指标筛选的一种重要方法,但为确保问卷数据的内部一致性和真实有效性,需要对数据进行信度和效度检验。此次研究面向铁路领域专家、风沙领域专家、铁路一线运营人员和技术人员征询关于风沙灾害区铁路运营系统安全韧性指标选取的意见,一共收回48份有效问卷,其中,1表示非常不重要,2表示不重要,3表示一般重要,4表示比较重要,5表示非常重要。
对问卷进行整理后,进行Cronbach’s α系数、KMO和Bartlett 球形检验,参考文献[8],若Cronbach’s α系数越接近1,说明专家问卷数据信度越高,一般要求大于0.8;KMO值越接近1,说明各变量之间越具有内部一致性,一般要求大于0.7;当Bartlett 球形检验的P值小于0.05时,指标数据呈正态分布。于是,运用SPSS 26.0软件进行专家问卷的信度与效度检验,其中Cronbach’s α系数为0.807,KMO值为0.794,P值等于0.000。最后计算变异系数,变异系数可以反映不同单位样本数据之间的离散程度,而离散程度可以用以衡量相关指标的重要度。若变异系数大于0.2,则说明不同专家意见的差异性比较大,指标关键度比较低,应予以剔除,最终计算结果如表1所示。
利用变异系数法删除风沙活动强度指数等12项指标之后,为使保留的指标对评价结果保持稳定性,对保留的指标再次运用SPSS 26. 0软件进行专家问卷的信度与效度检验,结果显示,Cronbach’s α系数为0.815,KMO值为0.854,P值等于0.000。通过与指标筛选前的计算结果进行对比,可以看出Cronbach’s α系数和KMO值均有所上升,说明指标筛选后的指标体系具有良好的稳定性。
2.4 风沙灾害区铁路运营系统安全韧性指标体系
以P-S-R模型为评价框架,经过指标筛选后得到24个指标,组成风沙灾害区铁路运营系统安全韧性指标体系,其中“+”表示正向指标,“-”表示负向指标,如表2所示。
| 1级指标 | 2级指标 | 属性 | 3级指标 | 定性指标说明及定量指标的计算描述 | 指向 |
|---|---|---|---|---|---|
| 风沙灾害区铁路运营系统安全韧性评价 | 压力韧性 | 自然灾害 | 风蚀气候侵蚀力G1 | 描述风力侵蚀强度大小 | - |
| 沙丘活化指数G2 | 评估沙丘的潜在活性程度 | - | |||
| 输沙势G3 | 表征风在一定时间搬运沙的能力/VU | - | |||
| 系统内部 | 人的安全意识与行为G4 | (定性)按照工人安全意识来打分 | + | ||
| 设施设备安全状态G5 | 运输10亿⋅km事故数(件/换算10亿人⋅km) | - | |||
| 运营管理制度执行度G6 | (定性)按照管理制度执行程度打分 | + | |||
| 状态韧性 | 人员 | 人员专业能力G7 | 接受过本科及以上教育职工比/% | + | |
| 人员生理心理健康度G8 | 职工接受体检心理健康测试/(次∙年-1) | + | |||
| 设施设备 | 监控设备状态G9 | 路段监控设备布置间隔/m | - | ||
| 防沙设施清沙及检修状态G10 | 防沙设施平均清沙检修频率/(次∙年-1) | + | |||
| 环境 | 植被疏密状态G11 | 铁路附近归一化植被指数 | + | ||
| 地表砂石覆盖状态G12 | 铁路沿线地表砂石覆盖率/% | + | |||
| 管理交互 | 风沙预警体系状态G13 | (定性)按照预警能力来打分 | + | ||
| 应急预案体系状态G14 | (定性)按照体系能力评估来打分 | + | |||
| 响应韧性 | 恢复能力 | 人员配置冗余状态G15 | 有2种及以上专业经验职工占比/% | + | |
| 人员应急抢修能力G16 | 有10年及以上工作经验职工占比/% | + | |||
| 救援列车状态G17 | 救援列车与所有列车的比例/% | + | |||
| 救援机构救援力G18 | 救援机构接警到达现场时间/h | - | |||
| 应急物资冗余G19 | 应急物资库房建筑面积/m2 | + | |||
| 运营恢复计划资金投入G20 | 铁路局每年恢复运营投资占比/% | + | |||
| 适应能力 | 人员学习培训情况G21 | 职工个体受铁路运营安全教育频次/(次∙年-1) | + | ||
| 防沙设备研发及成果推广G22 | (定性)按照防沙科研项目的创新性、推广性进行打分 | + | |||
| 应急培训演练情况G23 | 全体职工接受铁路应急演练次数/(次∙年-1) | + | |||
| 事后评估分析能力G24 | (定性)按照事后落实、提高能力打分 | + |
3 风沙灾害区铁路运营系统安全韧性评价赋权方法
3.1 基于灰色关联分析改进的序关系分析法
序关系分析法是一种主观赋权方法。由于该法规避了一致性检验的问题,有效解决了判断矩阵与实际应用间的矛盾。但其在确定序关系时,采用专家排序法会有主观随意性,因此结合灰色关联分析法可以客观地排列指标的优势,对序关系分析法进行改进,减小主观因素对权重造成的影响。具体计算过程如下。
首先确定能反映系统特征的参照序列X0,由于需要对指标进行排序及权重确定,故采用各待评价区间数列的最优值,即正向指标的最大值和负向指标的最小值组成期望序列;其次对数据进行标准化处理,利用待评价区间数列除以期望数列,即可得到标准化矩阵Rij;然后计算待评价区间序列


式中:



之后计算灰色关联度。即对每行指标的关联系数求平均值,可得基于灰色关联分析的指标排序,即得指标序关系为

接着对重要程度进行量化,即确定相邻指标间的相对重要度,公式如下:

式中:

最后确定各项指标主观权重


3.2 熵权法
熵权法是一种基于数据差异驱动原理的客观赋权方法,能有效利用指标数据。其原理步骤参考相关文献[22]如下:




式中:



3.3 基于最小信息熵原理的综合权重
改进序关系分析法计算简便但具有主观色彩,熵权法结果客观可信但忽略了指标本身的重要程度,故此,利用最小信息熵原理,将改进序关系分析法和熵权法有机地结合在一起,既可以体现专家的经验,又可以很好地表达指标数据的客观信息。公式如下:

最后,用拉格朗日乘数法优化可得组合权重公式:

式中:Wi≥0且
4 风沙灾害区铁路运营系统安全韧性评价模型
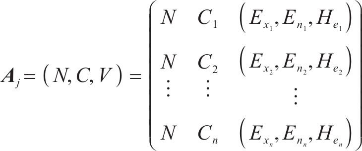
可拓云模型的评价方法是一种将正态云模型与物元可拓理论相结合的多指标评价方法,本质是利用正态云(EX,En,He)来取代物元可拓分析模型中未考虑事物的模糊性和随机性的事物特征对应值V,从而实现对评估过程中模糊性和随机性的数学描述。其中EX为期望值,表示云滴中心;En为熵,表示云滴模糊性;He为超熵,表示云滴随机性。其具体步骤如下。
第1步:指标量化与等级划分。结合相关文献[4],对韧性等级进行划分描述,如表3所示。
| 韧性等级 | 韧性名称 | 韧性等级具体描述 |
|---|---|---|
| Ⅰ级 | 弱韧性 | 铁路运营系统损失极大且无法维持运转,无法组织起有效的救援、维修, 恢复运营时间很长,无法学到任何经验 |
| Ⅱ级 | 较弱韧性 | 铁路运营系统损失较大且可以维持最低功能,能组织基本的救援,能维修基本设施设备, 恢复运营时间较长且能学到基础的经验 |
| Ⅲ级 | 一般韧性 | 铁路运营系统损失中等且可以维持主要功能,能组织全部的救援,能维修所有设施设备, 一定时间内能恢复运营且能学到经验 |
| Ⅳ级 | 较强韧性 | 铁路运营系统损失较小且能维持主要功能和部分其他功能,能组织迅速有效救援, 能有效维修所有设施设备,在较短时间内能恢复运营且能学到有用经验 |
| Ⅴ级 | 强韧性 | 铁路运营系统损失低且能维持主要功能和大部分其他功能,能在短时间内组织迅速 有效的救援,能迅速有效维修所有设施设备,能在短时间内恢复运营且大部分人都能从 中学到实际有用的经验 |
采用黄金分割云生成法结合指标特点,划分风沙灾害区铁路运营系统安全韧性评价等级标准如表4所示。其中G1、G2、G3、G10、G11和G12参考相关文献[11, 19, 23]划分,G4、G6、G13、G14、G22和G24参照专家意见划分,G5、G9、G17、G18、G19、G20和G23参考《铁路交通事故应急救援》[24]划分,G7、G8、G15、G16和G21参考《铁路技术管理规程》[25]划分。
| 3级指标 | 韧性等级 | ||||
|---|---|---|---|---|---|
| Ⅰ级 | Ⅱ级 | Ⅲ级 | Ⅳ级 | Ⅴ级 | |
| G1 | [150,200) | [100,150) | [70,100) | [30,70) | [5,30) |
| G2 | [10 000,15 000) | [5 000,10 000) | [2 000,5 000) | [1 000,2 000) | [100,1 000) |
| G3(VU) | [1200,2000) | [500,1200) | [100,500) | [20,100) | [5,20) |
| G4/分 | [0,20) | [20,40) | [40,60) | [60,80) | [80,100) |
| G5(件/换算10亿人公里) | [2,2.5) | [1.5,2) | [1,1.5) | [0.1,1) | [0.01,0.1) |
| G6/分 | [0,20) | [20,40) | [40,60) | [60,80) | [80,100) |
| G7/% | [0,10) | [10,30) | [30,50) | [50,70) | [70,100) |
| G8/(次∙年-1) | [0,0.5) | [0.5,1) | [1,2) | [2,3) | [3,4) |
| G9/m | [1 000,2 000) | [500,1 000) | [200,500) | [100,200) | [50,100) |
| G10/(次∙年-1) | [0,0.5) | [0.5,1) | [1,2) | [2,3) | [3,4) |
| G11 | [0,0.12) | [0.12,0.35) | [0.35,0.5) | [0.5,0.75) | [0.75,1) |
| G12/% | [0,10) | [10,40) | [40,70) | [70,90) | [90,100) |
| G13/分 | [0,20) | [20,40) | [40,60) | [60,80) | [80,100) |
| G14/分 | [0,20) | [20,40) | [40,60) | [60,80) | [80,100) |
| G15/% | [0,1) | [1,5) | [5,10) | [10,15) | [15,30) |
| G16/% | [0,15) | [15,30) | [30,40) | [40,50) | [50,60) |
| G17/% | [0,1) | [1,3) | [3,5) | [5,7) | [7,10) |
| G18/h | [12,24) | [6,12) | [3,6) | [1,3) | [0.5,1) |
| G19/m2 | [0,100) | [100,300) | [300,500) | [500,700) | [700,1 000) |
| G20/% | [0,0.01) | [0.01,0.02) | [0.02,0.03) | [0.03,0.04) | [0.04,0.05) |
| G21/(次∙年-1) | [0,0.5) | [0.5,1) | [1,2) | [2,3) | [3,4) |
| G22/分 | [0,20) | [20,40) | [40,60) | [60,80) | [80,100) |
| G23/(次∙年-1) | [0,0.5) | [0.5,1) | [1,2) | [2,3) | [3,4) |
| G24/分 | [0,20) | [20,40) | [40,60) | [60,80) | [80,100) |
第2步:确定待评价物元与云参数。采用正态云(EX,En,He)来取代物元模型中的特征对应值V,则可拓云模型为:

式中:Aj为所划分的评价等级;(EX,En,He)为待评指标Cj关于Aj的云表示。
对韧性等级双约束区间



式中:

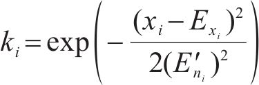
第3步:确定云隶属度。可拓云模型的关键是计算云隶属度,从而能表示不同指标与每个韧性等级之间的关联程度,公式如下:

其中,



其中,
第4步:确定3级指标的云隶属度。为减小随机性对计算结果的影响,对云隶属度进行2 000次计算并取平均值,作为每个指标与不同等级之间最终的3级云隶属度。
第5步:确定上级指标隶属度。将3级指标的隶属度与各自的权重分别加权得到2级指标的云隶属度Y,Y

根据隶属度最大原则,待评物元风沙灾害区铁路运营系统安全韧性等级为其综合隶属度的最大等级。
5 实例分析
5.1 实例概况
以戈壁大风环境为代表的兰新铁路RX3 010±500段和RX2 828±500段,自西向东分别途经百里和烟墩风区,该区域风速大风期长,起风突然,该区年平均降水量不足50 mm,年蒸发量在4 000 mm以上,该风区多年平均大风日数可达208 d,年平均风速为6.7 m/s,最大瞬时风速达64 m/s;以流沙环境为主的包兰铁路RB707±500段和RB709±500段,位于腾格里沙漠南缘,地处草原化荒漠,气候干旱且沙丘密集,降水少而集中且蒸发强,主风方向为西北风,年均风速2.8 m/s,年均降水量约为135 mm,主要集中在7—8月,年均蒸发量>3 000 mm,该区域是我国最早开始进行风沙灾害防治的区域;以高寒风沙环境为主的青藏铁路DK1 100±500段,位于生态环境脆弱的青藏高原,铁路沿线的季节性河床、冻融交替的地表、退化的冻土以及戈壁和强风为风沙灾害提供了充足的动力与物质条件,该段年降水量在250~300 mm,年大风日数约135 d,最大瞬时风速为40 m/s,大风集中在冬春季。故此次研究选取以上5段作为工程实例,进行铁路运营系统的安全韧性评价。
以上5个研究区段分属于中国铁路乌鲁木齐局集团有限公司,兰州局集团有限公司和青藏集团有限公司管理,各公司每年组织各部门有关规范运营的培训至少1次,车组每运行3万km进行1次专项检修,在夏秋风力较弱时,会组织至少1次铁路道路的清砂与检修工作。其中,G1、G2、G3和G10~G12指标数据参考相关文献[11, 15],G4、G6、G13、G14、G22 和G24指标数据来自铁路领域专家、风沙领域专家、铁路一线运营人员和技术人员共计收集到的48份有效问卷,对于不同专家打出的不同分值取平均值,G5、G7~G9、G15~G21和G23指标数据参考乌鲁木齐局、兰州局和青藏集团公司的公开数据。具体如表5所示。
| 区段 | G1 | G2 | G3 | G4 | G5 | G6 | G7 | G8 | G9 | G10 | G11 | G12 |
|---|---|---|---|---|---|---|---|---|---|---|---|---|
| RX3 010±500 | 103.7 | 9 586.3 | 1 129.4 | 72 | 0.08 | 66 | 59.2% | 1 | 500 | 4 | 0.07 | 87% |
| RX2 828±500 | 67.9 | 1 146.6 | 543.8 | 78 | 0.09 | 78 | 58.3% | 1 | 500 | 2 | 0.12 | 82% |
| RB707±500 | 34.8 | 356.6 | 236.6 | 86 | 0.05 | 86 | 61.8% | 2 | 200 | 2 | 0.25 | 34% |
| RB709±500 | 27.6 | 275.7 | 251.9 | 80 | 0.06 | 82 | 63.4% | 2 | 100 | 2 | 0.36 | 30% |
| DK1 100±500 | 64.6 | 894.7 | 478.4 | 64 | 0.07 | 74 | 50.6% | 1 | 1 000 | 1 | 0.4 | 43% |
| 区段 | G13 | G14 | G15 | G16 | G17 | G18 | G19 | G20 | G21 | G22 | G23 | G24 |
| RX3 010±500 | 70 | 60 | 5% | 17.8% | 3.2% | 4 | 395.5 | 0.02% | 2 | 72 | 1 | 76 |
| RX2 828±500 | 76 | 66 | 6% | 17.5% | 3.6% | 5.5 | 468.5 | 0.02% | 2 | 78 | 2 | 74 |
| RB707±500 | 80 | 72 | 6% | 18.1% | 3.8% | 2 | 473.8 | 0.03% | 3 | 90 | 3 | 86 |
| RB709±500 | 82 | 70 | 6% | 17.9% | 3.9% | 2.5 | 485.4 | 0.03% | 3 | 84 | 3 | 80 |
| DK1 100±500 | 62 | 60 | 5% | 16.8% | 1.7% | 4 | 328.6 | 0.01% | 1 | 60 | 1 | 62 |
5.2 安全系统韧性评价结果及分析
采用公式(1)~(10)对24个指标进行组合赋权,其结果如表6所示。
| 赋权结果 | G1 | G2 | G3 | G4 | G5 | G6 | ||||
|---|---|---|---|---|---|---|---|---|---|---|
| 3级指标 | 0.077 | 0.087 | 0.089 | 0.003 | 0.059 | 0.002 | ||||
| 2级指标(压力韧性) | 0.317 | |||||||||
| 赋权结果 | G7 | G8 | G9 | G10 | G11 | G12 | G13 | G14 | ||
| 3级指标 | 0.023 | 0.065 | 0.034 | 0.098 | 0.032 | 0.012 | 0.001 | 0.002 | ||
| 2级指标(状态韧性) | 0.268 | |||||||||
| 赋权结果 | G15 | G16 | G17 | G18 | G19 | G20 | G21 | G22 | G23 | G24 |
| 3级指标 | 0.065 | 0.029 | 0.050 | 0.081 | 0.041 | 0.064 | 0.030 | 0.001 | 0.052 | 0.003 |
| 2级指标(响应韧性) | 0.415 | |||||||||
通过表6可看出,对风沙灾害区铁路运营系统安全韧性影响最大的2级指标是响应韧性,其中救援机构救援力G18、人员配置冗余状态G15和运营恢复计划资金投入G20等指标权重最大,因此需要与各级救援单位保持联络,在事故发生的第一时间派遣救援力量;培训基层员工的不同专业能力,能够应对不同的突发状况;同时保证年度用于应急救灾的资金预算,在资金层面提供迅速恢复运营的保障。此外,3级指标中防沙设施清沙及检修状态G10、输沙势G3和沙丘活化指数G2等指标的权重也较突出,因此需重视对防沙设施的清沙,加强对风沙灾害的监测预警,并注重保护铁路沿线的生态环境,以减轻风沙灾害造成的影响。
依据表4韧性指标等级的划分,按照式(12)~(14)进行云参数计算,运用MATLAB软件即可绘制其等级界限云图,限于篇幅,仅展示部分压力韧性的评价等级云图,如图2所示。

结合表6、图2及公式(15),通过计算可得各指标的云隶属度,由隶属度最大原则,待评价段的云隶属度最大等级,即为其安全韧性等级。待评价段云隶属度及安全韧性评级和2级指标的安全韧性评级,如表7、表8所示。
| 待评价区间 | 综合云隶属度 | 安全韧 性等级 | ||||
|---|---|---|---|---|---|---|
| Ⅰ级 | Ⅱ级 | Ⅲ级 | Ⅳ级 | Ⅴ级 | ||
| RX3 010±500 | 0.026 6 | 0.093 8 | 0.074 6 | 0.032 5 | 0.02 | Ⅱ级 |
| RX2 828±500 | 0.027 6 | 0.032 5 | 0.069 9 | 0.038 3 | 0.019 5 | Ⅲ级 |
| RB707±500 | 0.026 7 | 0.027 2 | 0.08 2 | 0.081 1 | 0.026 8 | Ⅲ级 |
| RB709±500 | 0.026 7 | 0.027 4 | 0.04 9 | 0.082 6 | 0.033 4 | Ⅳ级 |
| DK1 100±500 | 0.038 3 | 0.069 2 | 0.033 4 | 0.023 8 | 0.019 2 | Ⅱ级 |
| 2级指标评级 | RX3 010±500 | RX2 828±500 | RB707±500 | RB709±500 | DK1 100±500 |
|---|---|---|---|---|---|
| 压力韧性等级 | Ⅱ级 | Ⅲ级 | Ⅲ级 | Ⅳ级 | Ⅲ级 |
| 状态韧性等级 | Ⅲ级 | Ⅲ级 | Ⅲ级 | Ⅲ级 | Ⅲ级 |
| 响应韧性等级 | Ⅲ级 | Ⅲ级 | Ⅳ级 | Ⅳ级 | Ⅱ级 |
根据表7可以看出,兰新铁路RX3 010±500段、RX2 828±500段的综合云隶属度分别为Ⅱ级较弱韧性和Ⅲ级一般韧性,包兰铁路RB707±500段和RB709±500段的综合云隶属度分别为Ⅲ级一般韧性和Ⅳ级较强韧性,而青藏铁路DK1 100±500段的综合云隶属度为Ⅱ级较弱韧性,总的来说兰新铁路和青藏铁路的运营安全韧性等级较弱,而包兰铁路的运营安全韧性等级较强。根据表8可看出,对于压力韧性来说,RX3 010±500段韧性评级低于其他待评价段的评级,说明该段所面临的风沙灾害及其他干扰的压力高于其他待评价段,而RB709±500段的压力韧性评级高于平均,说明该段的风沙灾害及其他干扰较小,这与该段形成的“四带一体”风沙灾害防治体系和“以固为主,固阻结合”风沙灾害防治经验有关,该段防护工程曾获国家科学技术进步特等奖,已成为我国铁路干线风沙灾害防治的典范[1];对于状态韧性来说,所有待评价段的韧性等级都属于Ⅲ级一般韧性,这说明在压力韧性作用下,每个待评价段的铁路运营系统都会受到影响,都会产生恢复正常运营的需求;对于响应韧性来说,RB707±500段和RB709±500段的韧性评价高于其余待评价段,说明这2段的恢复和适应能力优于其余待评价段,能在短时间内恢复正常运营,这与该段临近城市群,能够使用的多种救援设备有关,而DK1 100±500段响应韧性评价低于平均,这与该段处于自然条件恶劣的青藏高原地区,难以开展有效的救援有关,与现有研究相符[15]。
5.3 风沙灾害区铁路运营系统安全韧性提升策略
结合以上实例结果与分析,风沙灾害区铁路运营系统安全韧性有以下几方面提升空间。
压力韧性方面。对于兰新铁路RX3 010±500段来说,风沙灾害是制约该段铁路运营安全韧性提升的最主要因素,但同时不能忽视其他原因造成的安全事故,所以应该增强灾害预警系统的预警能力,提前通知列车进行降速避风,并做好列车晚点相关准备措施,提升基层工作人员日常检修能力,加大对列车组设备的清洗、检修与更换,利用科学的理论和现有的经验来完善铁路运营管理制度,力图减小外界或自身压力造成的损失。
状态韧性方面。对于所有待评价区段的铁路运营系统来说,需要提高专业人员的专业能力,保持所有工作人员的生理心理健康状态;对于待评价的路段进行全天候视频监控,并且及时清理防沙设施里的积沙,保持防沙设施的良好状态;保护好铁路线路附近的生态环境;同时确保风沙预警体系的科学运转,牢记应急预案措施,保持随时应对安全事故的状态。
响应韧性方面。对于青藏铁路DK1 100±500段的恢复能力来说,应对经常出现故障的设施设备零件留有备件,对风沙灾害区造成的事故留有充足恢复资金,铁路维修人员应熟练掌握维修风沙灾害导致列车故障的能力;在适应能力方面,在已有防风防沙基础设施之上,研发新型防沙设施并推广使用,在每次风沙灾害造成铁路运营系统损失之后,检查铁路应急制度合理性,并对与实际救灾情况不符合的部分进行修改,而铁路运营的所有工作人员每年都应该接受安全事故的培训演练,以提高铁路运营系统在下次风沙地区安全事故的应对能力。
6 结论
1) 结合P-S-R模型、铁路运营系统和韧性属性,以扰动前的压力韧性、扰动中的状态韧性和扰动后的响应韧性为框架,并运用变异系数法筛选指标,构建风沙灾害区铁路运营系统安全韧性评价指标体系。
2) 基于灰色关联分析改进的序关系分析法确定主观权重,结合熵权法确定的客观权重,通过最小信息熵原理将主客观权重结合,为风沙灾害区铁路运营系统安全韧性评价时的指标赋权提供了一种思路;通过建立基于可拓云模型理论的风沙灾害区铁路运营安全韧性评价模型,解决了评估过程缺乏模糊性和随机性的问题。
3) 以兰新铁路、包兰铁路和青藏铁路等5段工程实例进行运营安全韧性评价,得到兰新铁路RX3 010±500段为较弱韧性,RX2 828±500段为一般韧性,包兰铁路RB707±500段为一般韧性,RB709±500段为较强韧性,青藏铁路DK1 100±500段为较弱韧性,并提出了韧性提升措施,对风沙灾害区高铁运营系统的防灾减灾建设具有一定的参考价值。
樊燕燕,王伟宇,冯莉.风沙灾害区铁路运营系统安全韧性评价[J].铁道科学与工程学报,2025,22(04):1815-1827.
FAN Yanyan,WANG Weiyu,FENG Li.Safety resilience evaluation of railway operation system in sandstorm areas[J].Journal of Railway Science and Engineering,2025,22(04):1815-1827.

