随着重载铁路的快速发展,车速提高、行车密度增大、车辆编组数增多,运营里程增长,列车在行车期间易受到极端环境如地震、大风、泥石流等的影响,其中,因地震引起的行车事故时有发生,2004年日本新泻地震、2010年我国台湾地震均引起了列车脱轨事故[1-2]。不同于路基脱轨,高架桥上的列车脱轨除了车轮脱离钢轨约束外,列车具有的惯性力很容易使其冲出桥梁,加剧脱轨事故的损失。
国内外学者针对地震作用下桥上行车安全开展了许多研究[3-17]。翟婉明等[3-5]针对地震作用下简支梁桥上的行车安全进行了研究,建立了临界车速与横向地震强度间的联系。雷虎军等[6]和朱志辉等[7]分别以大跨高墩刚构桥和高速铁路斜拉桥为例,研究了地震与车速阈值间的关系。ZENG等[8]研究了曲线连续梁桥在多遇地震作用下的响应。FU等[9-10]研究了带开闭裂缝的桥梁在地震和列车作用下的动力响应。国巍等[11]基于Simpack软件和地震模拟开源软件Opensees,研究了横向地震和轨道不平顺作用对车辆行车安全的影响。魏峰等[12]采用缩尺模型研究了地震下列车安全问题。江辉等[13]建立了线桥系统非线性数值模型,输入合成平行断层方向的水平地震波,分析了不同地震强度对CRTS II板无砟轨道结构损伤的影响。马理超等[14]研究了地震作用对高速车辆、轨道、桥梁振动特性的影响。罗磊等[15]通过构建车体-轨道-路基耦合有限元模型,探讨了地震作用下列车-轨道系统的动力响应及行车安全性问题,分析了不同地震烈度下轨道结构的动力响应特性,并评估了行车平稳性;崔圣爱等[16]通过系统的数值模拟和概率统计分析,揭示了车桥耦合系统在随机地震作用下的动力响应规律;刘尊稳等[17]通过建立车-线-桥一体化的计算模型,探讨了地震作用下高速铁路桥梁及列车系统的行车安全性,特别是无砟轨道桥梁系统的影响。然而,现有研究主要围绕高速铁路桥上行车安全性开展,对于地震作用下重载铁路桥上行车安全研究较少,并且采用的行车安全性评价指标主要是脱轨系数和轮重减载率等,而诸多研究表明这些指标难以反映脱轨信息[18-20],对地震作用下列车行车安全是否具有控制功能仍需进一步研究。
本文采用货物列车-轨道-桥梁系统(freight train-track-bridge, FTTB)空间振动计算模型[21]及列车脱轨能量随机分析方法[18],建立地震作用下FTTB系统空间振动计算模型,提出地震作用下桥上列车脱轨全过程计算方法及列车脱轨预警原理,分析地震作用下列车脱轨全过程,以便为研发地震作用下重载铁路桥上列车脱轨预警装置提供理论参考。
1 地震作用下FTTB系统空间振动计算模型
1.1 FTTB系统空间振动计算模型
采用的列车编组为1辆机车+M辆货车,每辆车视为1个车辆单元,采用26个自由度的多刚体单元模拟车辆单元,转向架与轮对、车体与转向架分别由一系悬挂、二系悬挂连接,悬挂采用弹簧和阻尼器模拟,其弹簧系数和阻尼系数分别为K和C,下标X、Y、Z表示坐标方向,1和2分别表示一系、二系悬挂,如图1所示。
2025年9期/10.11817j.issn.1672-7207.2025.09.038/alternativeImage/7EB66401-AFF5-4918-80D3-CF1184E6060A-F001.jpg)
基于上述假定,车辆单元空间振动位移模式如式(1)所示。
2025年9期/10.11817j.issn.1672-7207.2025.09.038/alternativeImage/7EB66401-AFF5-4918-80D3-CF1184E6060A-M001.jpg)
式中:2025年9期/10.11817j.issn.1672-7207.2025.09.038/alternativeImage/7EB66401-AFF5-4918-80D3-CF1184E6060A-M002.jpg)
2025年9期/10.11817j.issn.1672-7207.2025.09.038/alternativeImage/7EB66401-AFF5-4918-80D3-CF1184E6060A-M003.jpg)
2025年9期/10.11817j.issn.1672-7207.2025.09.038/alternativeImage/7EB66401-AFF5-4918-80D3-CF1184E6060A-M004.jpg)
2025年9期/10.11817j.issn.1672-7207.2025.09.038/alternativeImage/7EB66401-AFF5-4918-80D3-CF1184E6060A-M005.jpg)
2025年9期/10.11817j.issn.1672-7207.2025.09.038/alternativeImage/7EB66401-AFF5-4918-80D3-CF1184E6060A-M006.jpg)
2025年9期/10.11817j.issn.1672-7207.2025.09.038/alternativeImage/7EB66401-AFF5-4918-80D3-CF1184E6060A-M007.jpg)
根据上述位移模式,曾庆元等[18]推导了第i辆车振动势能ΠVi,并通过叠加得到列车空间振动总势能ΠV:
2025年9期/10.11817j.issn.1672-7207.2025.09.038/alternativeImage/7EB66401-AFF5-4918-80D3-CF1184E6060A-M008.jpg)
对于梁跨(双T梁),沿X方向,以相邻隔板间长度等距离划分为n个梁段单元,其中,采用梁单元模拟钢轨、轨枕、主梁;采用线性弹簧及黏滞阻尼器模拟扣件、道砟、支座,其Y、Z方向弹性系数和阻尼系数分别为Ki和Ci(i=1,2,3,4,5,6)。
对于桥墩,沿Z方向将其划分为P个墩段单元,采用梁单元模拟,墩顶与梁端连接;墩底假设与地面固结,不考虑桩基的影响。由此,建立轨道-桥梁系统空间振动模型如图2所示。
2025年9期/10.11817j.issn.1672-7207.2025.09.038/alternativeImage/7EB66401-AFF5-4918-80D3-CF1184E6060A-F002.jpg)
基于上述假定,采用50个自由度的有限元模型模拟梁段单元,单元节点位移为:
2025年9期/10.11817j.issn.1672-7207.2025.09.038/alternativeImage/7EB66401-AFF5-4918-80D3-CF1184E6060A-M009.jpg)
2025年9期/10.11817j.issn.1672-7207.2025.09.038/alternativeImage/7EB66401-AFF5-4918-80D3-CF1184E6060A-M010.jpg)
2025年9期/10.11817j.issn.1672-7207.2025.09.038/alternativeImage/7EB66401-AFF5-4918-80D3-CF1184E6060A-M011.jpg)
式中:U、V、W和θ分别为沿X、Y和Z方向的线位移和角位移;γ表示钢轨沿X方向的扭转角变化率;上标T、S和B分别为钢轨、轨枕和主梁;下标1和2分别为梁端单元沿X方向的节点;下标R和L分别为梁端单元沿Y方向并以线路中心线为基准的右侧和左侧;U和D分别为主梁的上、下翼缘。
此外,墩段单元位移计算公式为
2025年9期/10.11817j.issn.1672-7207.2025.09.038/alternativeImage/7EB66401-AFF5-4918-80D3-CF1184E6060A-M012.jpg)
式中:1和2分别为墩段单元沿Z方向节点。
2025年9期/10.11817j.issn.1672-7207.2025.09.038/alternativeImage/7EB66401-AFF5-4918-80D3-CF1184E6060A-M013.jpg)
2025年9期/10.11817j.issn.1672-7207.2025.09.038/alternativeImage/7EB66401-AFF5-4918-80D3-CF1184E6060A-M014.jpg)
式中:上标D表示墩段单元;V、W和θ分别为墩段单元的Y、Z方向线位移和角位移。
根据上述位移模式,可分别导出梁段单元和墩段单元的空间振动势能为ΠTBj、ΠPk[21],根据梁段单元数和墩段单元数,将每个单元的势能叠加导出轨道-桥梁系统空间振动势能,得
2025年9期/10.11817j.issn.1672-7207.2025.09.038/alternativeImage/7EB66401-AFF5-4918-80D3-CF1184E6060A-M015.jpg)
为反映轮轨相对运动状态,实现列车脱轨全过程(即车轮从正常状态(图3(a))到车轮贴靠状态(图3(b))直至车轮爬上钢轨状态(图3(c)))。
2025年9期/10.11817j.issn.1672-7207.2025.09.038/alternativeImage/7EB66401-AFF5-4918-80D3-CF1184E6060A-F003.jpg)
采用轮轨相对位移衔接条件作为纽带[18],如下式所示:
2025年9期/10.11817j.issn.1672-7207.2025.09.038/alternativeImage/7EB66401-AFF5-4918-80D3-CF1184E6060A-M016.jpg)
2025年9期/10.11817j.issn.1672-7207.2025.09.038/alternativeImage/7EB66401-AFF5-4918-80D3-CF1184E6060A-M017.jpg)
式中:下标w、t、wt和ior分别为车轮、钢轨、车轮与钢轨、钢轨不平顺;Y和Z分别为横向、竖向位移。
FTTB系统空间振动总势能表示式为
2025年9期/10.11817j.issn.1672-7207.2025.09.038/alternativeImage/7EB66401-AFF5-4918-80D3-CF1184E6060A-M018.jpg)
根据弹性系统动力学总势能不变值原理[22]和“对号入座”法则[22],得到FTTB系统的刚度、阻尼及质量矩阵分别为K、C、M;由构架蛇行波和轨道竖向不平顺组成荷载列阵P。通过组集形成矩阵方程为
2025年9期/10.11817j.issn.1672-7207.2025.09.038/alternativeImage/7EB66401-AFF5-4918-80D3-CF1184E6060A-M019.jpg)
式中:2025年9期/10.11817j.issn.1672-7207.2025.09.038/alternativeImage/7EB66401-AFF5-4918-80D3-CF1184E6060A-M020.jpg)
2025年9期/10.11817j.issn.1672-7207.2025.09.038/alternativeImage/7EB66401-AFF5-4918-80D3-CF1184E6060A-M021.jpg)
2025年9期/10.11817j.issn.1672-7207.2025.09.038/alternativeImage/7EB66401-AFF5-4918-80D3-CF1184E6060A-M022.jpg)
1.2 地震作用
地震荷载由墩底经过墩身、支座、上部结构、轨道传至列车,而轮轨相互作用又由上部结构、支座、墩身传至墩底,形成地震作用下车-轨-桥系统空间振动。为此,将地震作为外部激励,桥梁自由度划分为支承点自由度和非支承点自由度。这样,地震作用下桥梁方程为[3]
2025年9期/10.11817j.issn.1672-7207.2025.09.038/alternativeImage/7EB66401-AFF5-4918-80D3-CF1184E6060A-M023.jpg)
2025年9期/10.11817j.issn.1672-7207.2025.09.038/alternativeImage/7EB66401-AFF5-4918-80D3-CF1184E6060A-M024.jpg)
式中:Pg为作用在支承处的反力向量;2025年9期/10.11817j.issn.1672-7207.2025.09.038/alternativeImage/7EB66401-AFF5-4918-80D3-CF1184E6060A-M025.jpg)
将式(14)展开,可得
2025年9期/10.11817j.issn.1672-7207.2025.09.038/alternativeImage/7EB66401-AFF5-4918-80D3-CF1184E6060A-M026.jpg)
由拟静力位移概念可知,桥梁位移由支承点运动引起的拟静力位移及其振动引起的动力位移组成如下:
2025年9期/10.11817j.issn.1672-7207.2025.09.038/alternativeImage/7EB66401-AFF5-4918-80D3-CF1184E6060A-M027.jpg)
式中:j和d分别表示桥梁位移的拟静力部分和动力部分。
将式(16)代入式(15),当采用集中质量矩阵并假设阻尼矩阵与刚度矩阵呈正比,则式(15)可简化为
2025年9期/10.11817j.issn.1672-7207.2025.09.038/alternativeImage/7EB66401-AFF5-4918-80D3-CF1184E6060A-M028.jpg)
式中:2025年9期/10.11817j.issn.1672-7207.2025.09.038/alternativeImage/7EB66401-AFF5-4918-80D3-CF1184E6060A-M029.jpg)
2025年9期/10.11817j.issn.1672-7207.2025.09.038/alternativeImage/7EB66401-AFF5-4918-80D3-CF1184E6060A-M030.jpg)
当地震激励为一致激励时,影响矩阵R为单位矩阵。此时,将地震激励直接等效为结构质量乘以地面加速度产生的外力,即
2025年9期/10.11817j.issn.1672-7207.2025.09.038/alternativeImage/7EB66401-AFF5-4918-80D3-CF1184E6060A-M031.jpg)
2 地震作用下桥上货物列车脱轨全过程计算方法
重现列车脱轨全过程是探究车轮脱轨信息的有效途径。目前,列车脱轨全过程重现技术主要有列车脱轨试验和仿真计算,前者容易造成事故,故难以轻易实现。曾庆元等[18-20]提出采用仿真法计算列车脱轨全过程(即车轮轮缘爬上钢轨顶部时FTTB系统振动响应的动态变化),其中,曾庆元等[18]从能量角度出发,将轨道不平顺、车轮踏面锥度、车辆偏心等复杂因素作为FTTB系统横向振动的输入能量,并采用构架实测(人工)蛇行波标准差σp来反映。为了得到σp,他们在我国多条铁路干线开展构架蛇行波实测,统计得到了σp-v曲线 (v表示车速),如图4所示。然后,根据σp-v曲线,确定某车速v下的σp,采用Monte-Carlo法模拟构架蛇行波,作为能量输入FTTB系统,计算FTTB系统振动响应。
2025年9期/10.11817j.issn.1672-7207.2025.09.038/alternativeImage/7EB66401-AFF5-4918-80D3-CF1184E6060A-F004.jpg)
然而,上述σp为列车正常行车下构架蛇行波标准差,不是列车脱轨时的构架蛇行波标准差,自然难以模拟列车脱轨。为此,曾庆元等[18]根据功能转换原理,认为结构输入能量越大,结构振动响应越大。列车脱轨时FTTB系统的输入能量σpr比σp大,采用试算法,选取σpr,采用Monte Carlo方法模拟构架蛇行波作为引起FTTB系统横向振动的输入能量,计算FTTB系统振动响应。在计算过程中,采用车轮脱轨几何准则[18]判别每一计算步长时的车轮悬浮量是否达到限值,若达到,则计算停止,判定列车脱轨,采用的σpr即为列车脱轨时FTTB系统的输入能量;若未达到,则假定更大的σpr,重复上述过程,直至判定列车脱轨为止。
众所周知,地震动具有突发性,难以系统地开展构架蛇行波测试,无法统计相应标准差σpe。但根据功能转换原理,地震作用下结构振动响应必然比非地震作用下结构振动响应大,因此,地震作用下σpe必然比非地震作用下σp大。为此,本节参考前述列车脱轨全过程计算方法,采用试算法计算地震作用下桥上列车脱轨全过程变化。假设地震强度不变,选取大于σp的σpe,采用Monte Carlo方法生成构架蛇行波作为引起FTTB系统横向振动的输入能量,计算FTTB系统振动响应,若车轮悬浮量达到车轮脱轨几何准则判别值,则判定列车脱轨;若未到达,则增大地震强度,重复上述计算,直至车轮悬浮量到达车轮脱轨几何准则判别值,从而实现地震作用下桥梁上列车脱轨全过程的计算,具体计算步骤如图5所示。
2025年9期/10.11817j.issn.1672-7207.2025.09.038/alternativeImage/7EB66401-AFF5-4918-80D3-CF1184E6060A-F005.jpg)
3 列车脱轨预警原理
在实现列车脱轨全过程计算基础上,得到反映车轮脱轨信息的FTTB系统振动响应。考虑到车轮为列车走行部分,不宜安装预警装置。因此,本文采用转向架振动响应来描述轮轨相对位置,不同轮轨接触状态下转向架状态如图6所示。
2025年9期/10.11817j.issn.1672-7207.2025.09.038/alternativeImage/7EB66401-AFF5-4918-80D3-CF1184E6060A-F006.jpg)
随车轮横向移动,一侧车轮由正常行车状态(图6(a))逐渐贴靠钢轨(图6(b)),再到爬上钢轨顶部(图6(c)),而另一侧车轮即将从钢轨上掉落,此时,转向架质心由紫色虚线横移至绿色虚线(紫色虚线表示线路中心线,绿色虚线表示转向架中心线),发生的横向位移为转向架与钢轨间的横向相对位移ΔYtr。将ΔYtr/K(K表示安全系数,其值为日本在计算行车安全性时的系数1.25[23]),将其作为列车脱轨预警阈值,为研发列车脱轨预警装置提供参考。
4 实例分析
4.1 地震作用下重载铁路列车脱轨全过程计算
为计算列车脱轨全过程,地震波以El Centro 地震加速度波为例,如图7所示。通过规格化,得到地震峰值加速度Agh分别为0、0.5、1.0、1.5、2.0和2.5 m/s2时的地震波,作为FTTB系统的横向地震作用,FTTB系统竖向地震作用采用竖向地震加速度峰值Agv表示,Agv=0.5Agh[7]。轨道由60 kg/m钢轨、II型混凝土轨枕及碎石道砟组成。桥梁采用参标 桥2019,考虑7跨,桥墩截面为圆形(直径2.4 m),墩高10.0 m。此外,考虑到列车脱轨多以空车为主[18],列车编组选取1辆机车+16辆空载敞车,车速v=60 km/h。通过计算,得到列车脱轨全过程振动响应如图8~13所示。图中的“0线”表示线路中心线,车辆响应为0时表示该车已经出桥。
2025年9期/10.11817j.issn.1672-7207.2025.09.038/alternativeImage/7EB66401-AFF5-4918-80D3-CF1184E6060A-F007.jpg)
2025年9期/10.11817j.issn.1672-7207.2025.09.038/alternativeImage/7EB66401-AFF5-4918-80D3-CF1184E6060A-F008.jpg)
2025年9期/10.11817j.issn.1672-7207.2025.09.038/alternativeImage/7EB66401-AFF5-4918-80D3-CF1184E6060A-F009.jpg)
2025年9期/10.11817j.issn.1672-7207.2025.09.038/alternativeImage/7EB66401-AFF5-4918-80D3-CF1184E6060A-F010.jpg)
2025年9期/10.11817j.issn.1672-7207.2025.09.038/alternativeImage/7EB66401-AFF5-4918-80D3-CF1184E6060A-F011.jpg)
2025年9期/10.11817j.issn.1672-7207.2025.09.038/alternativeImage/7EB66401-AFF5-4918-80D3-CF1184E6060A-F012.jpg)
2025年9期/10.11817j.issn.1672-7207.2025.09.038/alternativeImage/7EB66401-AFF5-4918-80D3-CF1184E6060A-F013.jpg)
图8所示为地震作用下第2车第4轴右轮悬浮量ZP的时程曲线。由图8可知:当Agh≤1.0 m/s2时,ZP较小;当Agh>1.0 m/s2时,ZP显著增大,其中,在Agh为1.5和2.0 m/s2时,ZP分别为15.8 mm和22.2 mm,而在Agh为2.5 m/s2时,ZP为25 mm,达到车轮脱轨几何准则限值要求[18],判定车轮脱轨。可见,当地震波加速度超过1.0 m/s2时,车轮悬浮量显著增大,在地震波加速度为2.5 m/s2时车轮脱轨。
图9所示为地震作用下第2车第4轴右轮脱轨系数Dc时程曲线。由图9可见:当Agh为0、0.5、1.0、1.5、2.0和2.5 m/s2时,车轮在未脱轨条件下的Dc最大值分别为0.32、2.39、2.87、4.11、5.38和7.59,其中,除了无地震下的Dc最大值外,其他均大于规范限值1.0[24];而车轮在脱轨瞬间的Dc最大值分别为0.11、0.28、0.32、0.45、0.53和1.49,其中,在Agh≤1.0 m/s2时,地震作用对Dc影响不大,在Agh>1.0 m/s2时,Dc显著增大,在Agh=2.5 m/s2时,Dc大于规范限值1.0。可见,地震作用下脱轨系数超过规范限值,难以判别车轮是否脱轨,但随着地震强度的增大,脱轨系数增大,行车越不安全。
图10所示为不同地震强度下第2车第4轴右轮轮重减载率Wr时程曲线。由图10可见:当Agh为0、0.5、1.0、1.5、2.0和2.5 m/s2时,未脱轨条件下的Wr最大值分别为0.13、0.39、0.48、0.62、0.75和1.0,其中,在Agh=2.0 m/s2时Wr最大值超过规范限值0.65[24],在Agh=2.5 m/s2时Wr最大值为1.0,此时,轮轨处于轮轨分离的状态;而在脱轨瞬间的Wr最大值分别为0.16、0.23、0.28、0.30、0.43和0.67,除Agh=2.5 m/s2外,在其他条件下,Wr最大值小于规范限值0.65[24]。可见,随地震强度的增大,轮重减载率显著增大,尤其是Agh=2.5 m/s2时车轮完全减载,轮轨分离。
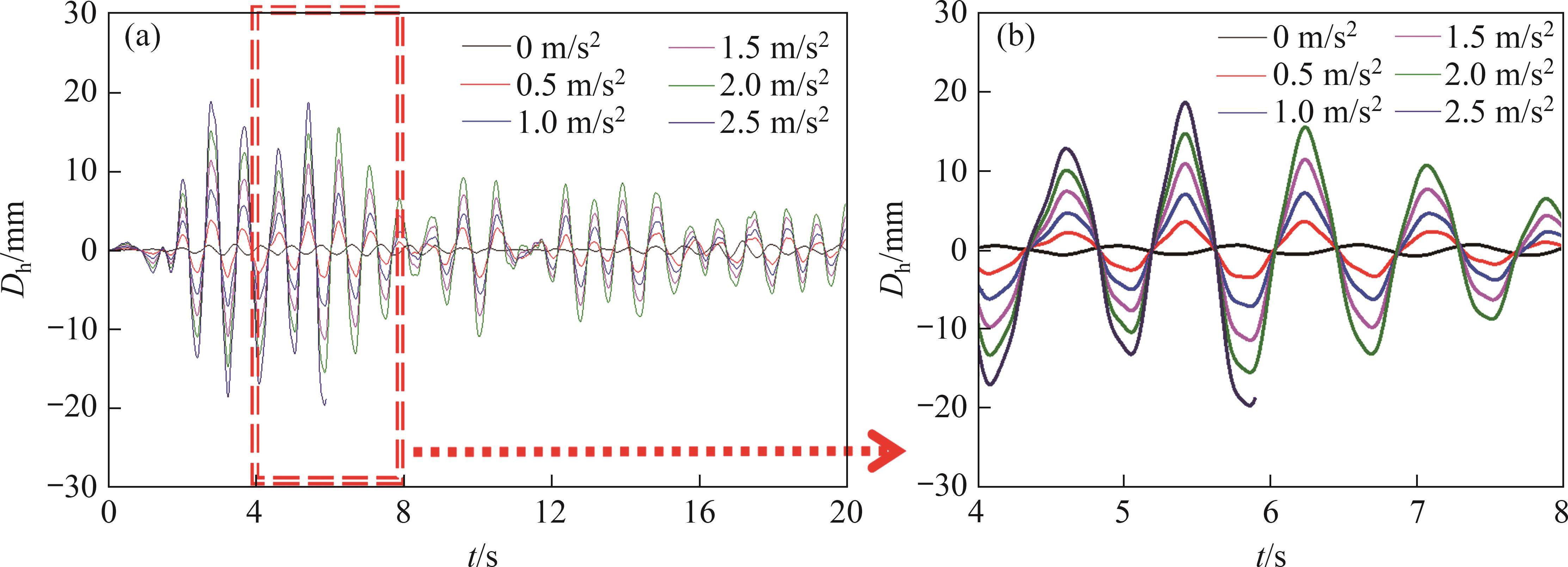
图11和图12所示分别为地震作用下第3跨跨中横向位移Bh和墩顶横向位移Dh时程曲线。从图11和图12可知:当Agh为0、0.5、1.0、1.5、2.0和2.5 m/s2时,车轮在未脱轨条件下的Bh最大值分别为0.7、8.6、17.7、27.2、36.9和46.9 mm,Dh最大值分别为0.4、3.8、7.6、11.4、15.1和18.8 mm;而车轮在脱轨瞬间的Bh最大值分别为1.0、6.9、14.5、23.4、31.9和40.5 mm,Dh最大值分别为0.2、3.3、6.9、10.9、14.8和18.7 mm。除无地震作用外,在其他条件下,Bh和Dh分别大于规范限值3.56 mm和0.70 mm[25]。可见,地震作用会引起梁跨及桥墩的大幅度横向振动,但在Bh和Dh超过规范限值时,未能反映车轮脱轨。
图13所示为地震作用下第2车后转向架(后转向架与第4轴车轮对应)与钢轨横向相对位移ΔYtr时程曲线。由图13可见:当Agh为0、0.5、1.0、1.5、2.0和2.5 m/s2时,在未脱轨条件下的ΔYtr最大值分别为1.4、28.4、39.4、53.6、67.9和91.9 mm;而在脱轨瞬间的ΔYtr最大值分别为11.9、13.0、22.5、34.5、46.2和72.3 mm。可见,随地震强度增大,ΔYtr增大显著。由于Agh=2.5 m/s2时车轮脱轨,故以脱轨瞬间的ΔYtr作为反映列车脱轨信息的阈值,根据预警原理,计算得出ΔYtr/1.25=72.3 mm/1.25=57.8 mm,将该值作为列车脱轨预警阈值,为地震作用下桥上列车脱轨预警装置的研制提供参考。
4.2 不同车速下地震作用对列车脱轨规律的影响
为分析车速及地震作用对列车脱轨全过程变化的影响。将车速v设置为60~80 km/h,其他参数与4.1节相同。计算得到的振动响应见表1。主要指标随v及Agh的变化如图14所示。
| V /(km∙h-1) | Agh/(m∙s-2) | ZP/mm | 是否脱轨 | 脱轨车辆和车轮 | Dc | Wr | ΔYtr/mm |
|---|---|---|---|---|---|---|---|
| 60 | 0.5 | 1.7 | 否 | — | 0.28 | 0.23 | 13.0 |
| 1.0 | 4.7 | 否 | — | 0.32 | 0.28 | 22.5 | |
| 1.5 | 15.8 | 否 | — | 0.45 | 0.30 | 34.5 | |
| 2.0 | 22.2 | 否 | — | 0.53 | 0.43 | 46.2 | |
| 2.5 | 25.0 | 是 | 第2车第4轴右轮 | 1.49 | 0.67 | 72.3 | |
| 65 | 0.5 | 2.1 | 否 | — | 0.49 | 0.25 | 18.6 |
| 1.0 | 5.3 | 否 | — | 0.56 | 0.37 | 24.7 | |
| 1.5 | 16.4 | 否 | — | 0.71 | 0.49 | 38.6 | |
| 2.0 | 22.6 | 否 | — | 0.97 | 0.61 | 48.1 | |
| 2.5 | 25.0 | 是 | 第2车第1轴左轮 | 1.73 | 0.74 | 78.1 | |
| 70 | 0.5 | 3.2 | 否 | — | 0.54 | 0.30 | 25.7 |
| 1.0 | 6.2 | 否 | — | 0.60 | 0.41 | 36.1 | |
| 1.5 | 18.5 | 否 | — | 0.75 | 0.53 | 48.1 | |
| 2.0 | 23.4 | 否 | — | 1.26 | 0.75 | 59.1 | |
| 2.5 | 25.0 | 是 | 第3车第3轴左轮 | 2.69 | 1.00 | 86.8 | |
| 75 | 0.5 | 4.1 | 否 | — | 0.65 | 0.43 | 48.5 |
| 1.0 | 7.0 | 否 | — | 0.84 | 0.59 | 60.2 | |
| 1.5 | 20.5 | 否 | — | 1.14 | 0.73 | 71.1 | |
| 2.0 | 25.0 | 是 | 第4车第1轴左轮 | 1.89 | 0.88 | 84.4 | |
| 2.5 | 25.0 | 是 | 第2车第3轴左轮 | 2.85 | 1.00 | 91.2 | |
| 80 | 0.5 | 5.4 | 否 | — | 0.84 | 0.51 | 58.2 |
| 1.0 | 8.3 | 否 | — | 1.29 | 0.63 | 70.1 | |
| 1.5 | 23.8 | 否 | — | 1.33 | 0.82 | 73.5 | |
| 2.0 | 25.0 | 是 | 第6车第2轴右轮 | 2.19 | 0.91 | 89.6 | |
| 2.5 | 25.0 | 是 | 第2车第4轴左轮 | 2.93 | 1.00 | 98.9 |
2025年9期/10.11817j.issn.1672-7207.2025.09.038/alternativeImage/7EB66401-AFF5-4918-80D3-CF1184E6060A-F014.jpg)
图14所示为Zp、Dc、Wr、ΔYtr等随v和Agh的变化。由图14(a)可知:在v=60~80 km/h条件下,当Agh≤1.0 m/s2时,Zp增幅较小,相比于车轮脱 轨几何准则25 mm,有较大的安全裕量;当Agh=1.5 m/s2时,Zp增大显著;当Agh=2.0 m/s2时,部分Zp接近25 mm;当Agh=2.5 m/s2时,Zp均达到 25 mm。可见,当Agh≤1.0 m/s2时行车具有一定的安全裕量;当Agh=1.5 m/s2时,行车安全受到影响;当Agh≥2.0 m/s2时,车轮容易脱轨。同时,由图14(b)~(c)可见:Dc和Wr随v和Agh的增大显著增大。当v≥70 km/h且Agh≥2.0 m/s2时,Dc>1.0[24], Wr>0.65[24]且其最大值为1.0。可见,脱轨系数和轮重减载率越大,行车越不安全,尤其是随着地震强度及车速的增大,车轮完全减载,轮轨分离(即车轮跳轨),影响行车安全。
基于上述分析,得到了车轮悬浮量达到25 mm时车轮脱轨工况。由图14(d)可见:随v和Agh增大,ΔYtr随之增大,但主要分布在72.3~98.9 mm;将ΔYtr除以1.25,得到具有脱轨信息的预警阈值分布在57.8~79.1 mm,如表1所示。
5 结论
1) 当地震峰值加速度≤1.0 m/s2且车速为60~
80 km/h时,地震和车速对车轮悬浮量影响较小;当地震峰值加速度1.5 m/s2时,车轮悬浮量显著增大。当地震峰值加速度≥2.0 m/s2且车速≥70 km/h时,列车更易脱轨。
2) 随着地震作用及车速的增大,脱轨系数和轮重减载率显著增大,但列车未发生脱轨时部分工况也超过了规范限值,其限值未能判定车轮的脱轨状态。此外,随地震作用的增大,轮重减载率逐渐接近或等于1.0,轮轨发生分离,车轮出现跳轨现象。
3) 在地震作用下,梁跨跨中和墩顶横向位移大幅度增大。当地震峰值加速度≤1.5 m/s2时,尽管列车未发生脱轨,但上述指标也超过规范限值。梁跨跨中和墩顶横向位移限值与列车脱轨间的映射关系有待进一步研究。
4) 在地震作用下,转向架与钢轨横向相对位移显著增大,反映了车辆横向移动的状态。通过计算,得到了具有脱轨预警功能的转向架与钢轨横向相对位移阈值。
龚凯, 罗江铃, 向俊, 等. 地震作用下重载铁路桥上列车脱轨规律及预警阈值研究[J]. 中南大学学报(自然科学版), 2025, 56(9): 4012-4023.
GONG Kai, LUO Jiangling, XIANG Jun, et al. Research on derailment law and control threshold of train on heavy-haul railway bridge under seismic condition[J]. Journal of Central South University(Science and Technology), 2025, 56(9): 4012-4023.
http://dx.doi.org/10.11817/j.issn.1672-7207.2025.09.038

