镍基单晶高温合金具有优异的高温性能,已被广泛应用于航空发动机热端部件尤其是涡轮叶片的制造[1-2]。镍基单晶高温合金中添加了很多的合金元素,在凝固过程中存在较为严重的元素偏析[3-5]。随着航空工业的发展,对飞机发动机推重比的要求不断提高,涡轮前的进气温度也越来越高,要求高温合金具备更强的承温能力。镍基单晶高温合金正向更高代次发展,其特征是合金中的W、Re、Ta等难熔元素的添加量越来越高[6-7],这使得合金凝固过程中的元素偏析更为严重,更多的γ′相形成元素Al、Ti和Ta富集于枝晶间,从而形成数量更多、尺寸更大的共晶组织[8-10],这些粗大的共晶组织很难通过后续的固溶热处理完全消除,导致合金的高温性能尤其是高温蠕变性能大幅下降[11-12]。开发一种新的高温合金尤其是高代次高温合金,对其凝固组织及元素偏析进行系统研究具有重要意义。因此,本文以新开发的国产第三代单晶高温合金WZ30为研究对象,对WZ30合金的单晶凝固组织进行研究,测量合金的关键凝固参数,并对其单晶铸件的宏观晶粒形貌、微观凝固组织进行表征;采用点阵法对各合金元素的分凝系数进行精确测算,并对合金二次枝晶臂的生长过程进行分析,以便为后续定向凝固工艺的制定和优化提供理论指导和依据。
1 实验方法
第三代单晶高温合金WZ30及第二代单晶高温合金CMSX-4的成分如表1所示,这2种合金的主要差别在于WZ30合金中加入了更多的难熔元素Re。
| 合金牌号 | Cr | Co | W | Mo | Al | Ti | Ta | Re | Nb | Hf | Ni |
|---|---|---|---|---|---|---|---|---|---|---|---|
| WZ30 | 3.50 | 6.00 | 6.50 | 0.40 | 5.80 | 0.15 | 8.00 | 4.95 | 0.10 | — | 余量 |
| CMSX-4 | 6.38 | 9.48 | 6.37 | 0.61 | 5.82 | 0.98 | 6.57 | 2.82 | 0.02 | 0.09 | 余量 |
取WZ30合金碎屑,采用差热分析(DSC)法测量WZ30合金的液相线及固相线温度。为了制备WZ30合金单晶试棒,采用10根直径为15 mm、高度为180 mm的蜡棒围绕模组浇注系统的中柱杆组成圆环型的蜡树,采用熔模失蜡法制成氧化铝陶瓷模壳,制壳层数为6.5层,模壳厚度约为7 mm。制壳完成后,将模壳进行检漏、清洗和干燥,然后,利用ALD公司制造的VIM-IC/DS/SC型真空定向凝固炉进行单晶试棒浇注和定向凝固。定向凝固时,首先将模壳升入模壳保温包中,待模壳达到预设温度(1 500 ℃)后,将WZ30合金锭熔化并浇注入模壳中。浇注完成后,将模壳缓慢向下抽拉进入冷区完成定向凝固,模壳抽拉速率为3 mm/min。定向凝固完成后,除去陶瓷模壳和浇注设备,将铸件进行化学腐蚀,腐蚀剂成分(体积分数)为33%硝酸+33%乙酸+33%水+1%氢氟酸。腐蚀完成后,检查铸件的单晶完整性。采用线切割机从试棒横截面取样,并进行打磨、抛光和腐蚀,采用NIKON MM-400金相显微镜进行金相观察,采用FEI quanta 650扫描电镜观察微观形貌,采用扫描电镜附带的EBSD探头检测晶体取向,采用JOL-100型电子探针检测样品的元素分布。
2 结果与讨论
2.1 DSC曲线
WZ30合金的DSC曲线如图1所示。从图1可见:WZ30合金的液相线温度TL和固相线温度TS分别为1 418 ℃和1 363 ℃,与CMSX-4合金[13]相比,液相线温度升高了19 ℃,且凝固间隔(TL-TS)也明显比CMSX-4合金的大。这是因为WZ30合金含有更多的难熔元素Re、W和Ta。

2.2 铸件表面检测
WZ30和CMSX-4合金单晶试棒铸件内表面宏观照片如图2所示。从图2(a)可以看到:WZ30合金试棒的中上部内表面都出现了大量的雀斑缺陷,雀斑链的长度超过了试棒长度的一半。根据定向凝固炉内热场条件[14-15],试棒的上部和内侧具有较低的温度梯度和较宽的糊状区,从而促进了雀斑的形成。从图2(b)可以看到:在相同工艺条件下制备的CMSX-4合金单晶试棒表面没有观察到雀斑缺陷。WZ30合金的雀斑缺陷更严重的原因是其凝固间隔更大,在相同的温度梯度下进行定向凝固时,WZ30合金具有更长的糊状区,更利于隧道式对流的产生和加剧,对流将凝固前沿的枝晶臂被冲断,从而形成了雀斑缺陷[16-17]。

2.3 铸件微观组织形貌
图3(a)所示为WZ30合金单晶试棒铸件横截面的金相照片,可见:WZ30合金单晶试棒铸件具有典型的树枝晶形貌,一次枝晶间距的平均值为287 μm;在“十字形”枝晶之间分布有较多的亮白色的γ/γ′共晶组织,其体积分数达到了10.2%。采用扫描电镜观察WZ30合金枝晶间区域,结果如图3(b)所示。从图3(b)可见:枝晶间共晶组织外围的不规则孔洞为显微疏松,主要分布于共晶组织生长的末端,这是因为当凝固界面以树枝晶的方式向上进行凝固时,位于树枝晶根部糊状区内的残余液体由于元素偏析会富集Al、Ti和Ta等共晶形成元素,当残余液体成分达到共晶成分时,发生共晶反应形成γ/γ′共晶,大量的共晶析出造成了较大的体积收缩,而最后凝固的枝晶间区域无法得到上部合金液体的有效补缩,因此,枝晶间区域的共晶组织旁边会出现较明显的显微疏松。

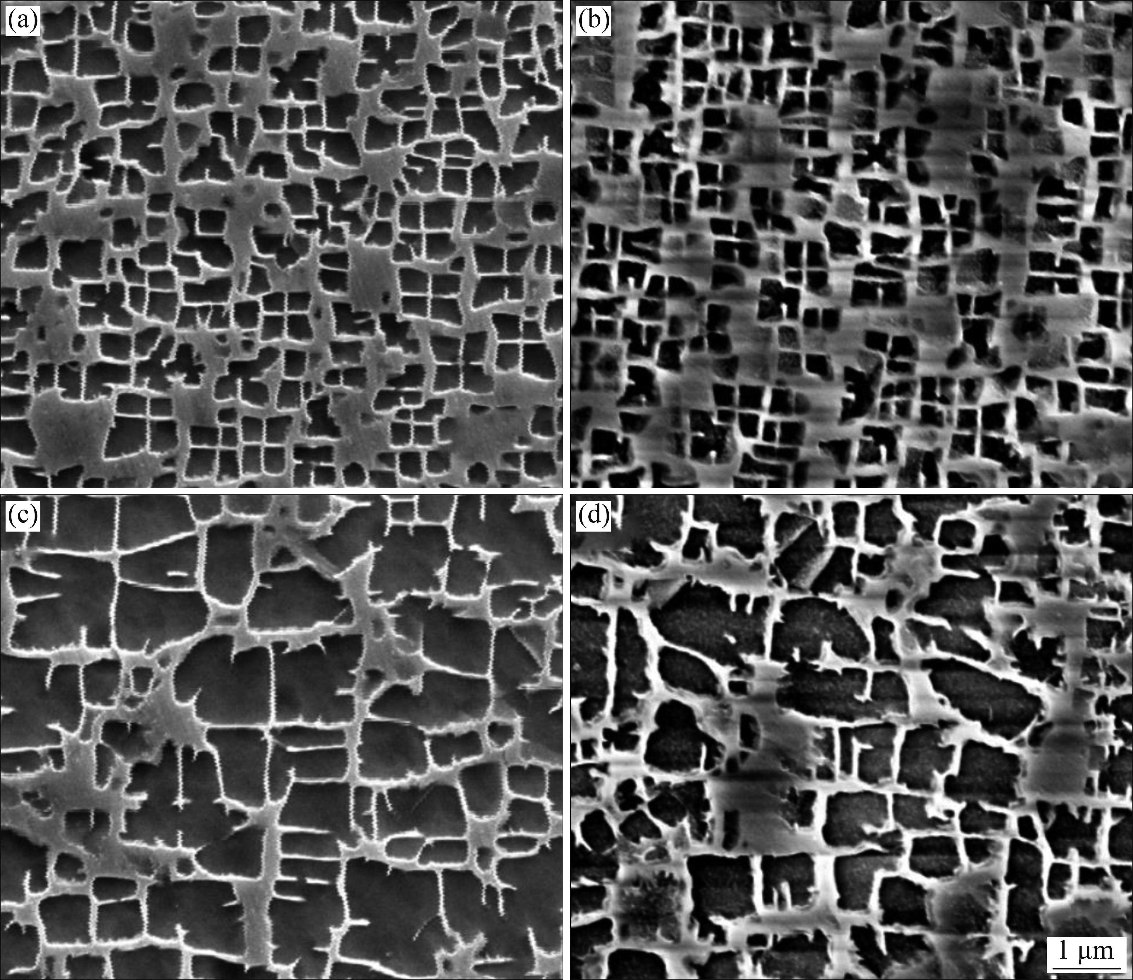
图4所示为WZ30和CMSX-4合金单晶试棒γ′相的SEM照片。从图4(a)和(c)可见:WZ30合金的枝晶干区域的γ′相粒径较小(约0.4 μm),形状基本一致;γ′相面积分数为33.6%;而枝晶间区域的γ′相粒径较大(约1.2 μm),形状不规则,γ′相面积分数为68.7%。这是因为WZ30合金的元素偏析更严重,造成了γ′相形成元素Al、Ti和Ta在枝晶干的贫化和在枝晶间的富集。

从图4(b)和(d)可见:CMSX-4合金枝晶干和枝晶间区域的γ′相平均粒径分别约为0.4 μm和 0.9 μm,而枝晶干和枝晶间区域的γ′相面积分数分别为40.4%和57.8%,与WZ30合金相比,CMSX-4合金枝晶干和枝晶间区域的γ′相相差不大,这是因为CMSX-4合金中合金元素的偏析程度不大。
图5所示为WZ30合金单晶试棒共晶团的SEM照片。从图5(a)可见:在共晶团生长的纵切面,切面穿过共晶团的核心,出现了γ与γ′相耦合生长的细长条组织;共晶团以枝晶为基体形核,然后以细长条形状呈放射状向外生长,组织由细变粗。从图5(b)可见:在共晶团生长的横截面为细小网格状γ与γ′相细条组织。纵切面和横截面的共晶组织均沿[001]晶体取向优先生长,与枝晶基体的晶体取向一致,保持了铸件单晶的一致性。值得注意的是,在共晶团生长的后期,条状γ′相变得粗大,且其生长方向发生了一定程度的弯曲(图5(a))。这可能是因为共晶生长后期的生长速度变慢,局部的热流方向和溶质浓度梯度方向对晶体生长的影响增大,使得γ′细条组织的生长偏离了[001]优先生长晶向。但这种变化只是共晶组织形貌上的变化,不会影响共晶团的晶体取向。

WZ30合金单晶试棒横截面SEM照片如图6所示。从图6(d)和6(e)可见:整个区域的晶体取向均为[001]晶向,仅在枝晶之间的区域出现了非常小的晶向偏离,形成小角度晶界。这说明在凝固后期形成的共晶组织与枝晶基体的晶体取向完全一致,保持了铸件单晶的一致性。高温合金单晶铸件中共晶组织的晶体取向可能与枝晶基体不同[18-19],但此现象在本实验中没有被发现。

2.4 凝固过程中的元素偏析
采用点阵法[20]对WZ30单晶试棒横截面上的元素偏析进行量化表征。在铸态样品横截面(图3(a))选取具有代表性的区域进行打点扫描,扫描区域为矩形,面积为0.38 mm2,横向17个点,纵向16个点,共272个点,点距为40 μm。在高温合金中,元素Re是枝晶干偏析最严重的元素,元素Ta是枝晶间偏析最严重的元素,因此,将扫描点的组元成分Ci以元素Re与元素Ta质量分数差值按降序进行排列,数值越大表示偏析越接近枝晶干,数值越小表示偏析越接近枝晶间。排序完成后,计算名义固相分数fs=(n-1)/(N-1),其中,n为重新排序后的序号,N为测试点数。各组元的分布图如图7所示。从图7可以看到:随着名义固相分数fs的增大,元素W、Re和Co的质量分数逐渐降低,属于负偏析元素,其中,元素Re的质量分数变化最大,偏析程度最严重,元素W的偏析程度次之,元素Co的偏析较弱,而元素Cr的质量分数分布无明显变化,基本处于无偏析的状态。元素Al、Ta的质量分数随着名义固相分数fs的增大逐渐升高,富集于枝晶间,属于正偏析元素。其中,元素Ta的Ci-fs曲线倾斜程度更大,偏析更为严重。

描述凝固过程元素偏析的Scheil方程[21]为

式中:Cs为凝固过程中固液界面处,固相中组元的浓度;k为分凝系数;C0为组元的名义浓度。
对式(1)取对数可得:

由于k和C0为常数,因此,lnCs与ln(1-fs)呈线性关系。为避开枝晶间的共晶区域,选择固相分数fs小于0.8的数据进行线性拟合,得到各元素的分凝系数k=Cs/Cl,其中,Cl为凝固过程中固液界面处液相中组元的浓度。当k=1时,该元素在合金中均匀分布,不存在偏析;当k>1时,该合金元素为负偏析元素,偏析于枝晶干,且k越大,偏析越严重;当k<1时,该合金元素为正偏析元素,偏析于枝晶间,且k越小,偏析越严重。
图8所示为WZ30合金铸态组织中各合金元素分凝系数的线性拟合图。从图8可以看到:各合金元素的分布曲线与Scheil模型曲线较符合。铸态样品中,除元素Cr外,各元素拟合线的斜率均较大,表明各元素都存在较严重的偏析。

拟合得到的WZ30合金铸态组织中各合金元素的分凝系数k见表3。从表3可以看到:元素Re、W、Co和Cr的分凝系数大于1,为负偏析元素,各元素的偏析程度从大到小依次为Re、W、Co、Cr;正偏析元素Ta和Al的分凝系数小于1,其中Ta的分凝系数更小,表明Ta的偏析程度更大。因此,在WZ30合金中,元素Re和Ta分别为最严重的负偏析和正偏析元素,分别富集于枝晶干和枝晶间。与CMSX-4合金中合金元素的分凝系数[13]进行对比可以发现,WZ30合金中的主要偏析元素(Re、W、Ta、Al)的偏析程度均比CMSX-4合金中的高。严重的元素偏析导致WZ30合金的枝晶在生长过程中,枝晶间剩余合金液元素浓度会较早达到共晶点,发生共晶反应,从而导致WZ30合金在定向凝固过程中生成较多的共晶组织,而且共晶组织的尺寸也较大(图3(a))。
| 合金牌号 | Re | W | Co | Ta | Al | Cr |
|---|---|---|---|---|---|---|
| WZ30 | 1.48 | 1.24 | 1.05 | 0.69 | 0.87 | 1.01 |
| CMSX-4[13] | 1.40 | 1.18 | — | 0.89 | 0.91 | — |
2.5 枝晶臂的生长过程
当一次枝晶纵向生长时,在一次枝晶干上会发生二次枝晶臂的横向生长。从图3(a)可见,WZ30合金单晶样品横截面中二次枝晶臂呈现不同的衬度分布,枝晶干区域比较浅亮,而在二次枝晶臂的边缘部分衬度较深,说明合金元素在凝固组织中分布不均匀。
二次枝晶臂的背散射电子照片及其成分分布如图9所示。从图9可以看到:二次枝晶臂在生长过程中存在3个不同成分的区域(区域A、B和C),与金相照片所示结果一致,各区域存在明显的成分差异;在各区域的界面上,合金元素的质量分数会发生不同程度的突变,特别是W和Re的突变尤为明显。区域A处于枝晶干部位,为二次枝晶臂生长的第一阶段;难熔元素W和Re的质量分数最高,正偏析元素Ni、Al、Ta和Ti的质量分数最低;随着凝固的进行,二次枝晶臂的生长进入第二阶段(区域B),合金元素质量分数发了突变,元素W和Re的质量分数明显减少,元素Ni、Al、Ta的质量分数增加,其余元素的质量分数基本保持不变;在二次枝晶臂生长进入第三阶段(区域C)后,合金元素质量分数的变化加剧,元素W和Re的质量分数进一步明显降低,变化幅度比第二阶段的更大,且在枝晶生长过程中仍不断降低;而元素Ni、Al、Ta和Ti的质量分数则明显增加,且在生长过程中逐步升高。随着二次枝晶臂的不断生长,剩余合金液的成分不断变化,当达到共晶点成分时,发生共晶反应,生成γ/γ′共晶组织。

值得注意的是,在CMSX-4合金中并无这种二次枝晶臂生长的阶段性现象,这可能是因为WZ30的元素偏析倾更严重,其凝固过程更加远离平衡态,形成的凝固组织具有更明显的不均匀性。
3 结论
1) 与CMSX-4合金相比,WZ30合金中的雀斑缺陷更严重,共晶组织的含量更多,枝晶干和枝晶间的γ′相尺寸及形貌的差异更加明显,这是因为WZ30合金中的大多数合金元素有更明显的偏析倾向。
2) 在WZ30合金凝固过程中,γ/γ′共晶组织在γ枝晶臂基体上形核生长,形成的共晶组织与γ枝晶具有相同的晶体取向,保证了铸件的单晶一致性。
3) 在WZ30合金定向凝固过程中,一次枝晶轴连续向上生长,二次枝晶臂在横向生长过程中形成了成分不同的3个区域,合金元素的质量分数在区域界面上出现了不同程度的突变。
赵运兴, 马德新, 魏剑辉, 等. 第三代单晶高温合金WZ30的凝固组织研究[J]. 中南大学学报(自然科学版), 2025, 56(2): 478-486.
ZHAO Yunxing, MA Dexin, WEI Jianhui, et al. Study on solidification microstructure of a third generation single crystal superalloy WZ30[J]. Journal of Central South University(Science and Technology), 2025, 56(2): 478-486.

