在我国西北地区存在着大量的盐渍土,其中富含的硫酸盐对混凝土腐蚀较为严重,SO42-进入混凝土内部孔隙中一部分极易结晶产生膨胀,另一部分与混凝土水化产物发生化学反应产生体积膨胀,导致混凝土的裂缝出现和扩展,严重影响其耐久性[1-3]。在混凝土中加入纤维可有效抑制裂缝的萌生与发展,从而改善混凝土耐久性能。玄武岩纤维(BF)是一种绿色、无污染,可持续发展的新材料,与其他纤维相比具有质轻高强、弹性模量高[4-5]、抗断裂、耐腐蚀、耐高温[6]等优异性能,且BF与混凝土成分类似、密度相近、相容性好,与混凝土协同工作性能优异[7]。这些优势对BFRC在建筑工程领域的推广和应用具有重要意义。近年来,研究表明BF的加入可以提高混凝土的抗裂性能,降低混凝土的渗透性,从而提高混凝土的耐久性能[8]。YING等[9]采用扫描电镜、X射线、EDS射线衍射等方法分析了BF在不同溶液中的耐久性。结果显示BF在水中、碱性溶液中、酸性溶液中都能保持良好的力学性能,稳定性较好。REN等[10]进行了不同浓度下BFRC的硫酸盐侵蚀试验,表明侵蚀后BFRC比普通混凝土强度下降幅度小,且下降速度更慢。LIU等[11]通过硫酸盐侵蚀试验,得到了不同侵蚀时间,不同深度区间内的硫酸盐离子浓度。揭示了硫酸盐在BFRC中的侵蚀规律,建立了适用于BFRC的硫酸盐侵蚀深度预测模型。RALEGAONKAR等[12]研究了不同长度BF对BFRC硫酸盐侵蚀性能的影响,发现50 mm较9 mm的BF抗硫酸盐侵蚀效果更显著。WANG等[13-14]研究了不同BF掺量对BFRC硫酸盐侵蚀的影响,得出适量的BF可减小混凝土内部孔隙,提高其抗侵蚀性能。甘磊等[15-16]指出BF可以缓解硫酸盐对混凝土的侵蚀作用,掺量0.2%、0.4%时BFRC干湿循环次数较普通混凝土分别提高了0.17倍和0.94倍,BF长度6 mm较12 mm的抗硫酸盐侵蚀性能更优。王振山等[17]研究了BF掺量0.0%、0.05%、0.1%、0.2%和0.3%对BFRC硫酸盐侵蚀的影响,结果显示合理的BF掺量对混凝土内部孔隙和裂缝的膨胀有显著的正向作用,可使混凝土的多孔性减少,增加混凝土的抗侵蚀性能。与未掺BF普通混凝土相比BF掺量0.1%、0.3%BFRC抗压强度分别提高了25.1%和35%。HANAFI等[18]研究了不同BF掺量BFRC强度和耐久性变化,指出加入BF提高了混凝土的抗压强度、抗弯强度和抗硫酸盐侵蚀性能,且掺量0.3%时性能最佳。这些研究为了解BFRC硫酸盐侵蚀及劣化损伤规律奠定了基础。然而,目前对BFRC在西部盐渍土环境中的劣化规律、微观结构演化的研究成果较少。一些学者已经开始对西部盐渍土地区中普通混凝土的硫酸盐侵蚀进行了可靠性研究,并取得了一些成果。乔宏霞等[19]模拟盐渍土环境,对混凝土加速试验中相对动弹性模量、质量损失率进行测试,并采用Wiener过程分析了耐久性退化趋势。RYAN等[20]通过收集海洋桥梁实际数据,探讨了加速试验相关性能,对比分析实际数据、试验测试结果和概率退化模型,指出概率退化模型可以较好地评估混凝土在海洋环境中的可靠性。冯琼等[21]模拟西部地区大气环境,对钢筋混凝土进行加速劣化试验,并用Wiener随机过程进行可靠性分析,结果表明Wiener能有效地描述盐雾干湿共同作用时钢筋混凝土损伤劣化过程。目前,虽然已经开始关注混凝土可靠性的研究,但对西部地区BFRC可靠性进行分析和研究还相对较少。为此,本文设计了符合西部盐渍土特征的硫酸盐侵蚀-干湿循环试验,研究不同循环次数时BFRC质量和相对动弹模量的演变规律及微观劣化机理;采用Wiener随机过程,以质量损伤度、相对动弹性模量损伤度作为评价指标,研究硫酸盐侵蚀-干湿耦合作用下BFRC耐久性损伤演变规律,并进行可靠性分析。
1 试验材料及试验方案
1.1 试验材料
试验采用P. O 42.5级普通硅酸盐水泥,性能见表1。粉煤灰为II级粉煤灰。粗骨料为5~20 mm连续级配碎石,表观密度2 660 kg/m3。细骨料为天然河砂,表观密度2 581 kg/m3,细度模数3.18,级配良好的中砂。试验用水为市政自来水。减水剂为减水率18%的JW-IV萘系高效减水剂。试验所用纤维为浙江产BF,相关性能见表2。试验混凝土强度等级为C40。BF掺量为体积掺量,最终配合比见表3。
| 材料 | 抗折强度/MPa | 抗压强度/MPa | 凝结时间/min | |||
|---|---|---|---|---|---|---|
| 3 d | 28 d | 3 d | 28 d | 初凝时间 | 终凝时间 | |
| 水泥 | 3.86 | 6.67 | 24.55 | 47.85 | 197 | 274 |
| 名称 | 长度/mm | 直径/μm | 弹性模量/GPa | 抗拉强度/MPa | 断裂伸长率/% | 密度/(kg∙m-3) | 耐酸碱盐性 | 形状 |
|---|---|---|---|---|---|---|---|---|
| BF | 12 | 20 | 100 | 4 500 | 3.2 | 2 700 | 高 | 单丝分散 |
| 编号 | 水泥/(kg∙m-3) | 砂/(kg∙m-3) | 石子/(kg∙m-3) | 水/(kg∙m-3) | 粉煤灰/(kg∙m-3) | 减水剂/% | 水灰比 | 玄武岩纤维/% |
|---|---|---|---|---|---|---|---|---|
| BFRC-0 | 380 | 751 | 1 037 | 170 | 67 | 0.13 | 0.38 | — |
| BFRC-1 | 380 | 751 | 1 037 | 170 | 67 | 0.13 | 0.38 | 0.10 |
| BFRC-2 | 380 | 751 | 1 037 | 170 | 67 | 0.13 | 0.38 | 0.20 |
| BFRC-3 | 380 | 751 | 1 037 | 170 | 67 | 0.13 | 0.38 | 0.30 |
1.2 试验方法
试验采用全自动混凝土硫酸盐干湿循环试验机进行。依据规范GB/T 50082-2009[22]和西部地区盐渍土中
根据规范GB/T 50082—2009[22]及SL/T352-2020[23]相应试验参数评价方法进行计算。质量损失率

式中:m0表示未开始试验时试件质量;mn表示进行第
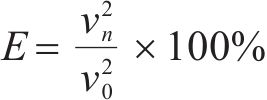
试件相对动弹性模量可用超声波速换算得到,试件经过n次耐久性试验之后,相对动弹性模量E可用下式计算:

式中:


当满足质量损失率超过5%、相对动弹性模量损失超过40%任一工况时结束该组试验。微观试验分析在耐久性试验结束后,将BFRC试块破碎,取薄片状小样烘干,喷金备用,再取一小部分烘干研磨、过筛后备用。
2 试验结果
2.1 外观及微观形貌分析
图1为不同BF掺量下BFRC在硫酸盐侵蚀-干湿循环试验结束后的外观形貌。由图1可知,随着侵蚀的不断深入,经过150次干湿循环作用后BFRC试件表面开始变得酥松,出现网状微裂纹,砂浆不同程度剥落,导致部分骨料显露,裂缝中充满了白色硫酸盐晶体,裂缝逐渐向BFRC内部扩展。其中BFRC-0破坏最为严重,4个角全部掉落,砂浆层脱落严重,骨料暴露较多,部分粗骨料脱落较严重。BFRC-1左下角砂浆脱落面积较大,粗骨料显露较多,左上角和右下角砂浆发生脱落,右上角有较大裂缝产生。试块各面靠外侧环向裂纹较多,有小面积砂浆随环向裂纹脱落,导致骨料小范围裸露;BFRC-2左上、左下角砂浆层脱落,有部分骨料裸露,四周随环向裂纹砂浆层有少部分脱落;BFRC-3表面孔隙较多,并出现纵横交错的裂纹,四角及各边砂浆层仅有少量脱落现象,完整性相对较好。此时BFRC整体的外观损伤情况由大到小为BFRC-0 > BFRC-1 > BFRC-2 > BFRC-3,即BF掺量在0.0~0.3%范围内,随着BF掺量的增加,外观损伤程度减小。

图2为BFRC在Na2SO4侵蚀-干湿循环作用下微观形貌变化。图2(a)为未开始Na2SO4侵蚀-干湿循环BFRC内部的微观形态,从图中可以看到大量絮状的水化产物C-S-H填充内部各颗粒间隙,使彼此黏结,水化情况较好,但BFRC内部仍有初始孔隙和微裂缝存在。图2(b)~图2(d)分别为BFRC在干湿循环后期的微观形态,图2(b)为未掺加BF普通混凝土,随着Na2SO4侵蚀-干湿循环次数的增加,结构内部孔隙数量变多,孔径变大,裂缝增多变宽。从图2(c)可以清晰地看到BF阻挡了裂缝的进一步扩展。从图2(d)观察到Na2SO4侵蚀-干湿循环过程中的产物,包括大量的针状钙矾石,少量的短柱状产物石膏及在孔隙内部结晶的硫酸盐晶体[24-25]。这些物质聚集在孔隙及裂缝处并产生膨胀应力,使得BFRC中微裂纹增多,浆体和骨料的黏结性降低,产生剥落。当膨胀应力大于BFRC抗拉强度时,BFRC内裂缝不断扩大并相互交叉贯通,最终导致结构变得疏松,这是BFRC强度和耐久性降低的根本原因。在侵蚀初期腐蚀产物较少BF的加入可以抑制因腐蚀产物膨胀而产生裂缝[26];随着试验次数增加,腐蚀产物增多,裂缝扩展,BF可以消耗膨胀应力、阻挡裂缝的扩展;当膨胀应力大于BFRC的抗拉强度时,BF被拉断,裂缝进一步扩大最终形成贯通裂缝,导致BFRC损伤劣化加剧。

2.2 硫酸盐侵蚀-干湿循环作用下质量损失率
不同BF掺量的BFRC在硫酸盐侵蚀-干湿循环共同作用下,质量变化整体上呈现先增加后降低的趋势。如图3所示,不同BF掺量BFRC在硫酸盐侵蚀-干湿循环共同作用下,质量变化大致可分为3个阶段:试验前期,各掺量BFRC的质量均出现了不同程度的增长,BFRC-0、BFRC-1、BFRC-2、BFRC-3在经历了40次循环后质量较未开始试验时分别增长了1.812%、1.752%、1.582%、1.282%,这是因为硫酸盐溶液进入试块内部,在烘干阶段BFRC内部水分蒸发,硫酸盐则留在孔隙内部形成结晶,从而使BFRC质量增加;试验中期,BFRC质量缓慢减小,BFRC-0、BFRC-1、BFRC-2在110次干湿循环后质量损失率分别为0.618%、0.567%、0.359%,BFRC-3在经历120次干湿循环后质量损失率为0.24%。这是因为随着干湿循环次数的增加,更多的

2.3 硫酸盐侵蚀-干湿循环作用下相对动弹性模量
由图4可知,不同BF掺量BFRC在硫酸盐侵蚀-干湿循环作用下相对动弹性模量呈现出前期快速上升,到达顶峰后又逐渐下降的趋势。在进行40次干湿循环后,BFRC-0、BFRC-1、BFRC-2、BFRC-3相对动弹性模量分别增长了11.31%、10.175%、8.48%、6.86%。与质量增加相似,在试验初期,BFRC水化作用仍在继续,长时间的浸泡为水泥进一步水化提供了有利条件,进而增加了BFRC动弹性模量。干湿循环进行至50次、60次、70次时,BFRC-0、BFRC-1、BFRC-2和BFRC-3相对动弹性模量逐渐下降,分别降至97.66%、96.59%、98.45%和99.81%;试验后期到150次循环后BFRC-0、BFRC-1、BFRC-2、BFRC-3的相对动弹性模量分别降到59.53%、65.77%、69.67%、72.12%,其中BFRC-3损失最小。在硫酸盐侵蚀-干湿循环共同作用中后期,干燥对BFRC劣化的影响尤为严重。随着更多硫酸盐溶液进入BFRC内部,反应生成膨胀产物石膏、钙矾石等,并填充BFRC内部孔隙。当循环次数继续增加,BFRC内部会产生微裂纹,其为膨胀性产物提供了新的生长空间,随着膨胀性产物在微裂缝处的堆积,微裂缝进一步扩大,直至相互贯通,导致BFRC动弹性模量降低。在此过程BFRC中的BF可以消耗一部分由于膨胀产物和硫酸盐结晶产生的应力,从而延缓BFRC裂缝的萌生和生长,且纤维含量越高提供的抗拉强度也相对较高,可减缓BFRC的劣化过程,即在0~0.3%范围内BF掺量越多,延缓效果越好。

3 Wiener模型建立与可靠性分析
硫酸盐侵蚀-干湿循环作用下,BFRC受到化学腐蚀和物理结晶的共同破坏,劣化及损伤相继发生并不断积累。随着循环次数(N)的增加BFRC相对动弹性模量在降低、质量损失率在不断增加,这种损伤是从缓慢到逐渐加速的劣化过程。因此,可以尝试采用Wiener模型对硫酸盐侵蚀-干湿循环耦合作用下BFRC可靠性进行分析,对比不同退化指标对BFRC可靠性的影响,为实际工程提供参考。
3.1 Wiener模型基本理论
Wiener模型是1872年Robert Brown在描述浸在液体和气体中小粒子运动时首次发现的。Wiener随机退化模型又称布朗运动,主要用于描述由微小损伤引起的非单调变化趋势[28-29]。Wiener模型是通过数理统计的方法,描述BFRC在硫酸盐侵蚀-干湿循环共同作用下的可靠性退化规律。
考虑到在硫酸盐侵蚀-干湿循环共同作用下BFRC各损伤指标随循环次数逐渐退化远离初始值,选用线性漂移的一元Wiener随机过程进行建模。线性漂移一元Wiener随机过程{Y(t),t≥0}需要满足的条件如下。
1) 不同时间段内各退化量之间相互独立。
2) Y(0)=0,且Y(t)在t=0处连续。
3) 任意时刻t到


4) 对
3.2 Wiener建模过程
在硫酸盐侵蚀-干湿循环试验中,假设共有n个BFRC试件,根据线性漂移一元Wiener分布理论,可表示为:

其中:t为时间;μ为漂移系数,表示退化速率;σ为扩散系数;W(t)为标准正态布朗运动公式,表示退化过程中的动态变化。
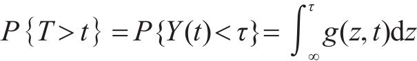
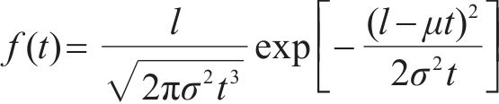
设t时刻的概率密度函数为g(z,t),则试件在t时间内不失效的概率为P:

其中τ为阈值;
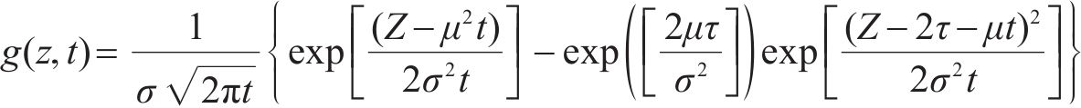
根据Fokker-Planck方程得:

其中:z为Wiener函数中某时刻的值。
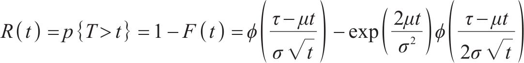
将式(5)代入式(4)可得试验过程中的劣化分布函数,即可靠度函数R(t)和概率密度函数f(t)为:


3.3 模型阈值探讨
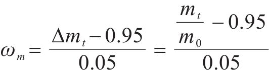
失效阈值是判断产品是否处于“正常”状态的边界值,其大小关系到BFRC试件的服役时间及不同循环次数的可靠性。根据BFRC材料特点结合GB/T 50082—2009规范相关规定,在硫酸盐侵蚀-干湿循环中分别以质量损失5%、相对动弹性模量损失40%作为耐久性退化指标。由于不同退化指标所对应的失效数值不同,为使表达更清晰利于对比,将其进行归一化处理,并采用损伤度作为统一的评价指标。其中质量损伤度用ωm表示,相对动弹性模量损伤度用ωE表示,计算方法如式(8)和式(9):


式中:Δmt、m0、mt为试件相对质量、初始质量、损伤周期对应的质量;Er、V0、Vt为试件相对动弹性模量、初始超声波波速、损伤周期对应的超声波波速。
4 模型退化指标分析与参数估计
4.1 模型退化指标分析
利用实测累积概率-理论预期累计概率图(P-P图)对硫酸盐侵蚀-干湿循环试验中不同BF掺量BFRC在ti+1-ti时间段的质量损失量Δm、相对动弹性模量损失量ΔE进行检验。如图5、图6所示,Δm、ΔE数据点沿着对角线分布,且其去趋势P-P图7、图8呈离散分布,则Δm、ΔE服从正态分布,可以利用一元Wiener过程进行可靠度分析。




4.2 模型参数估计
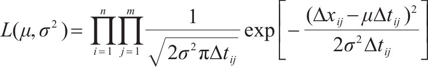
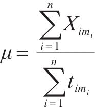
由分布函数F(t)可知,只需求得漂移参数和扩散参数即得出可靠度函数,设n个BFRC试件进行硫酸盐侵蚀-干湿循环试验,第i个试件在初始时刻ti0耐久性退化量Xi0=0,在时刻ti1,…,tim试件i耐久性退化量分别为Xi1,…,Xim。记ΔXij=Xij-Xi,j-1是BFRC试件i在相邻时刻的耐久性退化量,Δtij=tij-ti,j-1为试件测量间隔,其中j=1,2,…,mi,i=1,2,…,n。由Wiener过程性质可知:

由任一时刻BFRC耐久性退化概率密度函数可得出似然函数,为:

式(11)取对数,分别对µ,σ2求偏导数,得到µ,σ2极大似然估计如下:


将硫酸盐侵蚀-干湿循环试验中测得的相关退化数据代入上述方程,得参数估计值如表4所示。
| 退化指标 | 参数 | BFRC-0 | BFRC-1 | BFRC-2 | BFRC-3 |
|---|---|---|---|---|---|
| Δm | ![]() | 3.46×10-4 | 3.07×10-4 | 2.26×10-4 | 1.75×10-4 |
![]() | 3.31×10-6 | 2.20×10-6 | 1.06×10-6 | 7.00×10-7 | |
| ΔE | ![]() | 2.98×10-3 | 2.41×10-3 | 2.23×10-3 | 1.97×10-3 |
![]() | 1.05×10-4 | 6.82×10-5 | 4.47×10-5 | 3.22×10-5 |
5 基于Wiener模型BFRC在硫酸盐侵蚀-干湿循环作用下的可靠性分析
图9为BFRC在硫酸盐侵蚀-干湿循环作用下ωm的可靠度和概率密度曲线,可以看出在试验初期各掺量BFRC试件是完好的,此时可靠度为1;经过一段时间后硫酸盐侵蚀-干湿循环共同作用下BFRC耐久性开始逐渐衰减,BFRC-0、BFRC-1、BFRC-2、BFRC-3分别在干湿循环25次、35次、60次和80次后开始出现损伤。随着循环次数的增加,侵蚀加剧,可靠度逐渐在减小,BFRC-0、BFRC-1、BFRC-2、BFRC-3在干湿循环450次、460次、526次及579次时试件失效,可见以ωm为评价指标时,BF的加入整体上提高BFRC的抗硫酸盐侵蚀-干湿循环作用,且随BF掺量的增加抗硫酸盐侵蚀-干湿循环作用提高,即BFRC-3预测循环次数最高,可靠性最佳。

图10为BFRC在硫酸盐侵蚀-干湿循环作用下ωE的可靠度和概率密度曲线,在试验初期各掺量BFRC试件完好,此时可靠度为1;经过一段时间的硫酸盐侵蚀-干湿循环作用后BFRC可靠性逐渐下降,BFRC-0、BFRC-1、BFRC-2、BFRC-3分别在干湿循环38次、53次、68次和83次后出现损伤。随着循环次数的增加,侵蚀加剧,可靠度逐渐在减小,在循环至275次附近,BFRC-1和BFRC-2的可靠度非常接近,甚至部分区域BFRC-1超过了BFRC-2,但在试验前期及末期BFRC-2可靠度均高于BFRC-1,从整体变化趋势看BFRC-2的可靠度优于BFRC-1。BFRC-0、BFRC-1、BFRC-2、BFRC-3在循环310次、343次、356次及360次时可靠度接近0,试件失效。可见以ωE为评价指标时与ωm结果一致,即BFRC-3抗硫酸盐侵蚀效果最优,可靠性最佳。

综上,对比分析BFRC在硫酸盐侵蚀-干湿循环试验中不同损伤度的可靠度和概率密度,显示同一BF掺量BFRC损伤度指标ωE较ωm更为敏感。这是由于随着循环次数的增加硫酸盐逐渐在BFRC内部结晶,使BFRC质量增加并抵消了试验过程中劣化损伤的部分质量损失;而且在循环进行过程中,三维乱向分布于混凝土中的BF彼此搭接,相互粘连这也减缓了侵蚀后混凝土的剥落速度,从而导致质量损伤变化相对缓慢不能及时反映混凝土真实的工作状态。对BFRC进行硫酸盐侵蚀-干湿循环耐久性评价时,ωm有时候是不够及时、不够精确的;而ωE则不存在这样的情况,可以真实、有效、及时地反映BFRC内部的变化情况,是更加安全,更加可靠的评价指标。
6 结论
1) 对比分析不同BF掺量(0.0%、0.1%、0.2%、0.3%)的BFRC在硫酸盐侵蚀-干湿循环试验结束时,整体外观形貌损伤情况由大到小是BFRC-0>BFRC-1>BFRC-2>BFRC-3;在硫酸盐侵蚀-干湿循环至150次时BFRC-0、BFRC-1、BFRC-2、BFRC-3质量损失率分别为4.56%、3.91%、2.88%、2.20%;相对动弹性模量分别降到59.53%、65.77%、69.67%、72.12%。不同BF掺量BFRC抗硫酸盐侵蚀性能从大到小为BFRC-3>BFRC-2>BFRC-1>BFRC-0,即BF掺量在0.3%时,BFRC的抗硫酸盐侵蚀-干湿循环性能最佳。
2) 对BFRC进行硫酸盐侵蚀-干湿循环可靠性分析时,可采用相对动弹性模量损伤度和质量损伤度作为耐久性评价参数。与质量损伤度评价参数相比,相对动弹性模量损伤度对西部盐渍土地区环境因素的影响更为敏感,尤其是在侵蚀的初期和中期,质量损伤度ωm不够及时和准确,相对动弹性模量损伤度ωE是更加安全可靠的评价指标。
3) 硫酸盐侵蚀-干湿循环作用下以相对动弹性模量损伤度ωE作为评价指标时BFRC-1、BFRC-2、BFRC-3较BFRC-0可靠度分别提高了10.64%、14.83%、16.13%,随BF掺量的增加BFRC抗硫酸盐侵蚀-干湿循环作用在提高,BFRC-3抗硫酸盐侵蚀性能最优。
朱飞飞,乔宏霞,付勇等.硫酸盐侵蚀纤维混凝土损伤劣化及可靠性分析[J].铁道科学与工程学报,2025,22(03):1344-1356.
ZHU Feifei,QIAO Hongxia,FU Yong,et al.Damage deterioration and reliability analysis of sulfate attack fiber reinforced concrete[J].Journal of Railway Science and Engineering,2025,22(03):1344-1356.





