心血管疾病(cardiovascular disease,CVD)已成为威胁全球人口健康的主要疾病。中国CVD患病率逐年上升,并已成为中国人口首要死因[1]。动脉粥样硬化是多种CVD(包括冠心病、脑卒中及外周动脉疾病等)的主要病理基础。在无症状人群中早期识别动脉粥样硬化风险并进行干预,可显著降低未来心血管事件的发生风险。因此,识别动脉粥样硬化高危个体是CVD一级预防管理的关键环节。目前,评估动脉粥样硬化存在与进展的方法较多。动脉血管超声作为一种常用的非侵入性检查手段,其检测结果已被证实与动脉粥样硬化性心血管疾病(atherosclerotic cardiovascular disease,ASCVD)事件及死亡风险密切相关[2-3]。临床实践中,联合检测颈动脉和髂股动脉血管可提高血管硬化及斑块的检出率[4-5]。
在无症状体检人群中开展CVD筛查,有助于有效识别高危个体。然而,血管超声因其技术要求较高且成本昂贵,限制了其在临床大规模普筛中的应用。相比之下,血液生化指标在常规体检中已被广泛采用。若能在无症状人群中基于常规临床指标建立动脉粥样硬化斑块预测模型,将有望以更简便、经济且有效的方式预测高危人群。列线图能够将复杂预测模型的回归方程转化为直观、可视化的工具,具有显著的临床应用价值[6]。因此,本研究纳入完成常规体检和颈动脉与髂股动脉的血管超声检查的体检者作为研究对象,以是否存在动脉粥样硬化斑块作为结局事件,旨在构建预测无症状人群血管斑块发生风险的个体化列线图模型,并为后续实施针对性干预提供依据。
对象与方法
伦理声明
本研究已获得中南大学湘雅三医院独立伦理委员会批准(审批号:24005),并在中国临床试验注册中心网站注册(注册号:ChiCTR2400088874)。
研究对象
纳入2022年1月1日到2024年6月30日在中南湘雅三医院健康管理中心的体检者作为研究对象。纳入标准:1)年龄≥18岁;2)体检项目包含本研究所需的数据(问卷信息、身高、体重、血压、肝功能、肾功能、血糖、血脂、血管超声检查);3)自愿签署知情同意书。排除标准:1)接受过移植等重大手术;2)已患出血性或缺血性心脑血管疾病(冠心病、脑卒中、外周血管疾病)、自身免疫性疾病、慢性肾炎、肾病综合征、恶性肿瘤和遗传性疾病。共纳入5 655例研究对象,筛选流程见图1。
2025年7期/10.11817j.issn.1672-7347.2025.240597/alternativeImage/529A857E-8FA0-4003-8BA0-E68E44CC80A3-F001.jpg)
基本信息采集
使用全国体检问卷[7]采集个人健康资料(生活习惯、家族史、疾病史和用药情况等)。收集身高、体重和血压(blood pressure,BP)数据,计算体重指数(body mass index,BMI)。
实验室检查
生化检测包括静脉空腹血糖(fasting serum glucose,FSG)、总胆固醇(total cholesterol,TC)、甘油三酯(triglyceride,TG)、低密度脂蛋白胆固醇(low-density lipoprotein cholesterol,LDL-C)、高密度脂蛋白血脂(high-density lipoprotein cholesterol,HDL-C)、脂蛋白a[lipoprotein(a),Lp(a)]、尿素氮(blood urea nitrogen,BUN),肌酐(creatinine,Cr)和尿酸(uric acid,UA)。Lp(a)检测应用比浊法,原理是人体中的Lp(a)和试剂中的抗体在缓冲液中迅速形成抗原-抗体复合物,导致反应溶液浑浊,基于与校准器的比较来计算样品中Lp(a)量。使用的检测设备为日立7600自动检测仪。
颈动脉斑块和髂股动脉斑块评估
本研究使用美国GE公司LOGIQ-E9超声诊断仪、GE 9L-D线性探头,探头频率为3.1~7.9 MHz。通过二维灰阶成像测量颈动脉内中膜厚度(carotid intima-media thickness,cIMT),探头平行于管壁、声束垂直于管壁,并联合纵切面与横切面观察。测量部位为颈总动脉远端(分叉水平下方1.0~1.5 mm处)和颈动脉球部(颈内动脉起始处相对膨大段)。测量内膜上缘至外膜上缘的垂直距离,即血管壁内膜与中膜的联合厚度,取2次测量的平均值。颈动脉斑块定义为符合以下任一标准[8-9]:1)cIMT≥1.5 mm;2)动脉粥样硬化结构向管腔内突出,且其厚度≥周围正常管壁结构的50%;3)局限性内膜增高>0.5 mm。对髂股动脉的评估参照颈动脉。根据是否检出血管斑块分为斑块组和非斑块组。
主要慢性病的定义
高血压被定义为由医生诊断的自报高血压、使用降压药物或招募时非同日3次测量的收缩压≥140 mmHg(1 mmHg=0.133 kPa)和/或舒张压≥90 mmHg[10]。
糖尿病被定义为由医生诊断的自报糖尿病、使用降糖药物或招募时FSG、糖化血红蛋白或餐后2 h血糖达到诊断标准[11]。
数据采集及预处理
数据采集:本研究采用标准化体检及随访数据,该健康管理机构作为国内首批建立体检数据库的健康管理标杆单位,严格遵循《健康管理(体检)卫生信息团体标准》进行数据采集。所有数据从体检软件系统数据库导出。
缺失数据处理:本研究纳入人群的数据相对完整,数据缺失主要源于体检过程中个别项目的遗漏,比例低于5%。鉴于缺失机制符合完全随机缺失(missing completely at random,MCAR),本研究采用列表删除法处理缺失数据。
隐私保护与离群值识别:数据导出后,为所有记录分配唯一识别编码,并永久删除姓名、身份证号、联系电话及住址等个人敏感信息后进行分析。针对检验数据,采用基于临床参考范围的阈值法识别潜在离群值,具体设定为超过正常参考值上限的3倍。所有识别的离群值均经人工核查,以判断其成因是否为数据传输错误、实验室检测误差,或真实的疾病状态所致。
质量控制
严格按照入选标准和排除标准筛选研究对象。参与的医务人员均经过统一培训。身高和体重测量前,仪器必须经过校准,测量时研究对象穿单衣,脱鞋。测量血压统一要求测右上臂血压。健康问卷的设计采用选择答案的形式,方便填写和计算机的录入。体格检查数据录入程序中采用双人录入,并对主要字段设置逻辑核对以防止录入错误。实验室指标为软件系统接口传输。血管超声检查由经验丰富的超声影像医师完成。对操作医师和设备进行了质量控制,各医师间cIMT和颈动脉斑块测量Kappa值均大于0.80。
模型构建与验证
使用8꞉2的简单随机抽样比例将研究对象分为训练集(n=4 524)和验证集(n=1 131)。使用训练集构建血管斑块风险预测模型,然后使用验证集验证模型的预测效能,将血管斑块的存在与否作为结果指标。在训练集中,通过单因素Logistic回归分析评估各自变量与颈动脉斑块发生的关联。筛选单因素模型中 P<0.1的变量纳入最终的多因素Logistic回归模型,以探究斑块发生的独立影响因素。限制性三次样条(restricted cubic spline,RCS)是探讨自变量和因变量之间是否存在非线性关联的常用方法,使用RCS评估变量与血管斑块之间的剂量关系。结合正向和反向逐步变量选择法构建列线图预测模型。应用受试者操作特征(receiver operating characteristic,ROC)-曲线下面积(area under the curve,AUC)评价列线图模型在训练集和验证集中对颈动脉斑块发生的预测效能。通过Hosmer-Lemeshow拟合优度检验和校准曲线评估模型的校准度,并利用决策曲线分析(decision curve analysis,DCA)评估其临床实用性。
统计学处理
采用R 3.4.3软件对数据进行统计与分析。连续变量以均数±标准差表示,组间比较采用独立样本t检验;分类变量以例数(百分比)表示,组间比较采用χ2检验。使用Logistic回归模型对所有变量进行单因素分析。检验水准设定为α=0.05(双侧),P<0.05为差异具有统计学意义。
结 果
人口统计学特征
本研究共纳入5 655例研究对象,年龄为(51.48±9.87)岁,男性3 400例(60.12%)。其中,颈动脉斑块检出者1 922例(33.99%),髂动脉斑块检出者1 721例(30.43%),同时存在2处斑块者898例。共2 820例研究对象检出血管斑块,总检出率为49.87%(2 820/5 655)。斑块组的年龄为(55.70±8.85)岁,男性占比为64.93%(1 831/2 820)。斑块组与非斑块组在年龄、性别、血压、BMI、肾功能指标、血糖、血脂、吸烟状态、高血压病史、糖尿病史及用药情况等的差异均有统计学意义(均P<0.05,表1)。
| 变量 | 总体(n=5 655) | 非斑块组(n=2 835) | 斑块组(n=2 820) | t/χ2 | P |
|---|---|---|---|---|---|
| 年龄/岁 | 51.48±9.87 | 47.28±9.01 | 55.70±8.85 | -35.448 | <0.001 |
| SBP/mmHg | 126.13±16.24 | 122.79±15.21 | 129.50±16.54 | -15.829 | <0.001 |
| DBP/mmHg | 77.25±11.55 | 75.83±11.52 | 78.68±11.41 | -9.316 | <0.001 |
| BMI/(kg·m-2) | 25.14±3.40 | 25.01±3.48 | 25.27±3.30 | -2.836 | 0.005 |
| BUN/(mmol·L-1) | 5.07±1.33 | 4.93±1.24 | 5.21±1.40 | -8.053 | <0.001 |
| SCr/(mmol·L-1) | 67.42±17.20 | 66.30±15.70 | 68.55±18.52 | -4.908 | <0.001 |
| UA/(mmol·L-1) | 346.72±88.56 | 344.02±90.29 | 349.44±86.72 | -2.296 | 0.022 |
| FSG/(mmol·L-1) | 5.58±1.67 | 5.36±1.49 | 5.79±1.81 | -9.825 | <0.001 |
| TC/(mmol·L-1) | 5.27±1.06 | 5.22±1.03 | 5.33±1.09 | -3.884 | <0.001 |
| TG/(mmol·L-1) | 2.19±2.32 | 2.19±2.34 | 2.19±2.29 | -0.008 | 0.994 |
| HDL-C/(mmol·L-1) | 1.32±0.30 | 1.33±0.32 | 1.31±0.29 | 2.336 | 0.020 |
| LDL-C/(mmol·L-1) | 2.90±0.81 | 2.84±0.78 | 2.96±0.83 | -5.721 | <0.001 |
| Lp(a)/(mg·dL-1) | 18.00±14.86 | 17.00±13.74 | 19.01±15.85 | -5.014 | <0.001 |
| 男性/[例(%)] | 3 400(60.12) | 1 569(55.34) | 1 831(64.93) | 54.176 | <0.001 |
| 吸烟/[例(%)] | 864(15.28) | 313(11.04) | 551(19.54) | 44.261 | <0.001 |
| 高血压病史/[例(%)] | 1 025(18.13) | 300(10.58) | 725(25.71) | 217.996 | <0.001 |
| 糖尿病史/[例(%)] | 571(10.10) | 163(5.75) | 408(14.47) | 118.380 | <0.001 |
| 服用降压药/[例(%)] | 219(3.87) | 71(4.72) | 148(7.95) | 121.465 | <0.001 |
| 服用降糖药/[例(%)] | 225(3.98) | 50(3.32) | 175(9.40) | 79.274 | <0.001 |
| 服用降脂药/[例(%)] | 189(3.34) | 51(3.39) | 138(7.42) | 39.183 | <0.001 |
训练集和验证集临床指标比较
训练集中有血管斑块的为2 269例(50.15%),验证集中为551例(48.72%)。2组间血管斑块发生率的差异无统计学意义(P>0.05)。训练集与验证集在临床指标方面的差异均无统计学意义(均P>0.05,表2)。
| 变量 | 训练集(n=4 524) | 验证集(n=1 131) | t/χ2 | P |
|---|---|---|---|---|
| 年龄/岁 | 51.49±9.86 | 51.46±9.92 | 0.083 | 0.934 |
| SBP/mmHg | 126.16±16.21 | 126.02±16.35 | 0.241 | 0.810 |
| DBP/mmHg | 77.27±11.60 | 77.14±11.38 | 0.344 | 0.730 |
| BMI/(kg·m-2) | 25.18±3.38 | 24.96±3.45 | 1.920 | 0.055 |
| BUN/(mmol·L-1) | 5.07±1.32 | 5.09±1.37 | -0.498 | 0.618 |
| SCr/(mmol·L-1) | 67.47±16.71 | 67.22±19.04 | 0.397 | 0.690 |
| UA/(mmol·L-1) | 347.91±88.69 | 341.97±87.91 | 1.941 | 0.053 |
| FSG/(mmo·L-1) | 5.58±1.67 | 5.57±1.68 | 0.161 | 0.872 |
| TC/(mmol·L-1) | 5.27±1.06 | 5.29±1.09 | -0.432 | 0.665 |
| TG/(mmol·L-1) | 2.20±2.34 | 2.14±2.23 | 0.796 | 0.427 |
| HDL-C/(mmol·L-1) | 1.32±0.30 | 1.31±0.31 | 0.482 | 0.630 |
| LDL-C/(mmol·L-1) | 2.90±0.81 | 2.93±0.82 | -1.157 | 0.247 |
训练集中血管斑块关联因素的Logistic回归分析
使用Logistic回归模型对所有变量进行单因素分析,筛选出20个与血管斑块发生相关(P<0.1)的变量纳入多元Logistic回归分析。通过正向和反向逐步回归选择法,最终确定9个具有统计学意义的独立预测因子进入最终模型,包括性别、年龄、收缩压、HDL-C、LDL-C、log2转化Lp(a)、吸烟、高血压、糖尿病(均P<0.05)。计算所有纳入多因素Logistic回归模型变量的方差膨胀因子(variance inflation factor,VIF),均小于5,不存在共线性问题。训练集中血管斑块发生的单因素和多因素Logistic回归分析的结果见表3。
| 变量 | 单因素Logistic回归分析 | 多因素Logistic回归分析 | ||
|---|---|---|---|---|
| OR(95% CI) | P | OR(95% CI) | P | |
| 年龄 | 1.11(1.11, 1.12) | <0.001 | 1.11(1.10, 1.12) | <0.001 |
| SBP | 1.03(1.02, 1.03) | <0.001 | 1.01(1.00, 1.01) | 0.001 |
| DBP | 1.02(1.02, 1.03) | <0.001 | ||
| BMI | 1.02(1.00, 1.04) | 0.012 | ||
| BUN | 1.16(1.11, 1.21) | <0.001 | ||
| SCr | 1.01(1.00, 1.01) | <0.001 | ||
| UA | 1.00(1.00, 1.00) | 0.021 | ||
| FSG | 1.22(1.17, 1.28) | <0.001 | ||
| TC | 1.08(1.02, 1.14) | 0.005 | ||
| TG | 1.00(0.98, 1.03) | 0.971 | ||
| HDL-C | 0.75(0.62, 0.91) | 0.004 | 0.67(0.52, 0.86) | 0.002 |
| LDL-C | 1.19(1.10, 1.28) | <0.001 | 1.19(1.09, 1.30) | <0.001 |
| Lp(a) | 1.12(1.07, 1.19) | <0.001 | 1.10(1.03, 1.17) | 0.004 |
| 男性 | 1.51(1.34, 1.71) | <0.001 | 1.68(1.43, 1.98) | <0.001 |
| 吸烟 | 1.92(1.63, 2.27) | <0.001 | 1.53(1.26, 1.87) | <0.001 |
| 高血压病史 | 2.99(2.54, 3.54) | <0.001 | 1.60(1.32, 1.94) | <0.001 |
| 糖尿病史 | 2.75(2.23, 3.42) | <0.001 | 1.39(1.10, 1.78) | 0.007 |
| 服用降压药 | 1.69(1.24, 2.32) | 0.001 | ||
| 服用降糖药 | 3.27(2.30, 4.76) | <0.001 | ||
| 服用降脂药 | 2.27(1.59, 3.30) | <0.001 | ||
变量和血管斑块发生之间的剂量关系
根据剂量关系图(图2),年龄、HDL-C和血管斑块之间是非线性关系(总体P<0.05,非线性P<0.05),存在阈值。LDL-C、log2转化Lp(a)、收缩压与血管斑块呈线性相关(总体P<0.05,非线性P>0.05)。
2025年7期/10.11817j.issn.1672-7347.2025.240597/alternativeImage/529A857E-8FA0-4003-8BA0-E68E44CC80A3-F002.jpg)
列线图预测模型的构建与验证
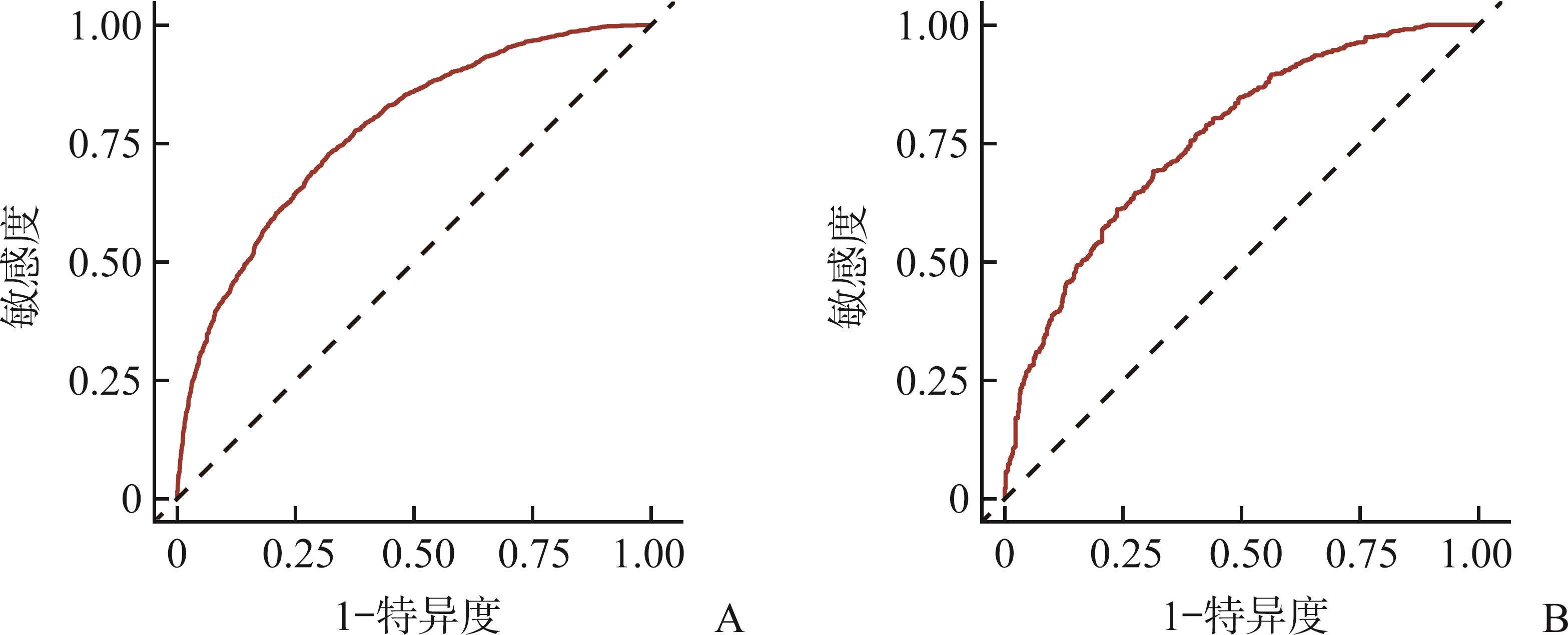
基于多因素Logistic回归分析结果构建了预测血管斑块形成的列线图模型,该模型通过累加各变量对应的分数得出总分。如图3所示,根据总分垂直向下投影,即可获得个体发生血管斑块的预测概率。ROC曲线评估该列线图模型在无症状人群中预测血管斑块的效能。训练集的AUC为0.778(95% CI 0.765~0.791,P<0.001),验证集的AUC为0.760(95% CI 0.732~0.787,P<0.001),表明模型在训练集(图4A)和验证集(图4B)均具有良好的识别和预测能力。
2025年7期/10.11817j.issn.1672-7347.2025.240597/alternativeImage/529A857E-8FA0-4003-8BA0-E68E44CC80A3-F003.jpg)
2025年7期/10.11817j.issn.1672-7347.2025.240597/alternativeImage/529A857E-8FA0-4003-8BA0-E68E44CC80A3-F004.jpg)
采用Bootstrap法1 000次自主抽样进行内部验证,绘制训练集和验证集的校准曲线,结果表明模型的预测概率与实际概率具有良好的一致性。Hosmer-Lemeshow检验结果(图5)表明列线图模型具有良好的拟合性(训练集:P=0.628;验证集:P=0.561)。DCA结果(图6)表明:在训练集中,当阈值概率为0.02~0.99之间时,应用该列线图模型预测血管斑块风险可提供临床净获益。
2025年7期/10.11817j.issn.1672-7347.2025.240597/alternativeImage/529A857E-8FA0-4003-8BA0-E68E44CC80A3-F005.jpg)
2025年7期/10.11817j.issn.1672-7347.2025.240597/alternativeImage/529A857E-8FA0-4003-8BA0-E68E44CC80A3-F006.jpg)
在训练集中,模型在常用阈值点(10%、20%、30%)的标准化净获益(standardized net benefit,SNB)分别为0.891(95% CI 0.884~0.898)、0.771(95% CI 0.752~0.786)和0.639(95% CI 0.619~0.658),均优于treat-all策略(0.886、0.743、0.559)及treat-none策略(0)。然而当阈值概率达到50%时,SNB下降,提示模型更适用于低至中等风险阈值下的临床决策。在验证集中上述结果类似。
讨 论
本研究成功开发并验证了一个基于列线图的预测模型,可用于个体化评估无症状体检人群发生血管斑块的风险。内部验证结果表明该模型具有良好的预测准确性,且其构建所需的变量信息易于获取且成本低廉。本研究结果证实血管斑块的发生与性别、年龄、收缩压、HDL-C、LDL-C、Lp(a)、吸烟史、高血压及糖尿病显著相关。列线图模型的核心价值在于其直观的可视化特性,临床医师或研究者仅需将个体对应的上述指标数值代入图中,通过简单计算总分并投影,即可快速获得其个性化的血管斑块风险评分。这种将复杂的多因素回归模型转化为易用的图形工具的方式,有效促进了个体化风险预测在临床实践中的转化应用。
本研究血管斑块总检出率达49.87%,其中颈动脉斑块、髂股动脉斑块及2部位共存斑块的检出率分别为33.99%、30.43%和15.88%。该结果显著高于既往仅采用颈动脉超声筛查的斑块检出率[8],提示多部位动脉评估(颈动脉联合髂股动脉)对动脉粥样硬化程度的判断具有协同效应。当前多数研究仅聚焦颈动脉评估,而髂股动脉超声在心血管常规筛查中尚未普及[12]。本研究通过整合颈部与髂股动脉超声检查,实现了更全面的血管斑块评估,进而显著提高检出率,这一策略与动脉粥样硬化系统性累及的特征相契合。一项中国社区老年人群多部位动脉粥样硬化研究[13]发现动脉粥样硬化斑块主要在主动脉(79.6%)和髂股动脉(75.8%)中检测到,其次是锁骨下动脉(49.8%)和冠状动脉(44.9%)。另一项研究[5]招募7 263名35~74岁的研究参与者,结果表明颈动脉硬化患病率为17.3%,股动脉为19.5%,颈动脉或股动脉联合筛查为30.0%。因此,在不同年龄和状态的人群中,血管斑块的检出率存在差异。本研究的研究对象为无症状体检人群,较老年人群队列更具代表性,更能体现普通人群的真实状况。
Lp(a)是由肝脏合成的一类单独的脂蛋白,其水平由基因决定,受环境因素的影响小,在人的一生中相对稳定。Lp(a)水平升高与主要类型的多血管疾病ASCVD[14-15]和主动脉瓣狭窄[16-17]的风险增加存在潜在的因果关系,已被广泛认可为独立的心血管危险因素,且与传统的风险因素无关[18-19]。在接受强化降脂治疗的患者中,Lp(a)仍是残余心血管风险的有效标志[20-21]。目前指南[22-23]建议测量Lp(a)来识别ASCVD的高风险患者。在结构上,Lp(a)是一种抑制纤溶酶的竞争性抑制剂,可与血管内皮细胞结合促进血栓形成。此外,Lp(a)可抑制纤维蛋白原活性和溶栓,从而破坏纤维蛋白溶解系统,促进动脉粥样硬化的形成[24]。已有研究[25]表明高血清水平的Lp(a)与动脉粥样硬化斑块体积和不良斑块特征存在关联。Nurmohamed等[26]纳入平均年龄为57.1岁的267例患者,发现Lp(a)水平>125 nmol/L的患者的动脉粥样硬化体积百分比是<125 nmol/L者的2倍(6.9% vs 3.0%)。经校正其他危险因素后,在10年随访期间,Lp(a)每增加1倍,动脉粥样硬化体积增加0.32%(95% CI 0.04~0.60)。Mszar等[27]使用迈阿密心脏研究的基线数据,纳入40~65岁的无症状成年人,在多变量模型中,升高的Lp(a)与冠状动脉斑块存在独立相关(OR=1.40,95% CI 1.05~1.86),Lp(a)升高与CVD的严重程度也相关[28]。在有症状的颈动脉狭窄患者中, Lp(a)水平升高与颈动脉狭窄程度、易损斑块特征等相关[29]。Lp(a)主要(90%以上)由遗传决定,因此在整个生命过程中是一个稳定的风险因素,但因认知的局限性,在无症状人群的常规筛查中,很多医疗机构未将这一指标作为危险因素予以重视。随着研究的深入,发现Lp(a)不仅可以作为心血管危险因素的控制指标,也可以作为预测指标。有研究者[30]在患有红皮病型银屑病患者中建立CVD风险诊断模型,发现年龄、糖化白蛋白(>17%)、吸烟、血清白蛋白<40 g/L和Lp(a)>300 mg/L的患者发生心血管疾病的风险较高,模型能较好地预测该病患者发生CVD的概率。
最终纳入本研究预测模型的变量包括性别、年龄、SBP、HDL-C、LDL-C、Lp(a)、吸烟史、高血压和糖尿病。Zhang等[31]的研究指出:年龄、男性、糖尿病、高血压和吸烟是促进斑块形成的因素。Chen等[32]则发现:年龄、腰臀比、糖尿病病程、高血压病史、男性及Lp(a)水平是糖尿病患者颈动脉斑块形成的主要危险因素。这些发现与本研究所识别的预测因子存在部分重合。在本研究中,HDL-C作为负向关联因素被纳入预测模型,模型结果显示其浓度自4 mmol/L起向下递减时,心血管风险逐渐升高。但RCS分析显示HDL-C与血管斑块发生是非线性关系,并非浓度越高,血管斑块发生越低。近年来有学者[33]提出“HDL-C悖论”现象,即尽管流行病学数据显示HDL-C与心血管风险负相关,但干预性研究中外源性升高HDL-C并未能显著降低心血管事件风险。此外,一项涵盖37项前瞻性队列研究、超过352万研究参与者的荟萃分析[34]表明:HDL-C水平与全因死亡率、心血管死亡及癌症死亡风险之间呈“J”型关联,过高或过低的HDL-C水平均与死亡风险增加相关。因此,在将HDL-C作为风险预测因子时,需结合最新证据加以辩证看待。笔者团队[35]前期研究证实Lp(a)与颈部血管硬化及斑块形成呈正相关,但与反映血管功能的臂踝脉搏波传导速度(brachial-ankle pulse wave velocity,baPWV)无显著关联。这提示某些生化指标可能更倾向于与血管结构性改变相关,而与功能性改变关联性较弱。无症状人群的心血管疾病风险常被低估,早期识别此类人群的血管斑块对于心血管疾病的早期预防至关重要。然而,普通人群通常缺乏定期血管评估,且颈动脉超声等影像学检查通常未被纳入常规体检项目。因此,本研究通过整合病史与常规临床指标构建预测模型预测血管斑块的发生风险。本研究在模型中纳入了既往常被忽视的残余心血管风险指标——Lp(a),不仅进一步验证了Lp(a)在预测血管结构病变中的临床价值,更为构建融合“传统危险因素”与“新兴生物标志物”的精准心血管风险评估体系提供了新的实证依据。
本研究存在若干局限性。第一,研究设计为单中心横断面研究。尽管通过内部验证集对列线图模型进行了初步评估,但其预测效能仍需在前瞻性、多中心队列研究中得到进一步验证。第二,未进行外部验证。利用不同来源、不同人群的数据进行外部验证对于提升模型的普适性和鉴别准确性至关重要。第三,本研究采用超声检查评估的动脉斑块负荷作为动脉粥样硬化的替代标志物。据报道[36],动脉斑块的患病率能较好地反映血管动脉粥样硬化的总体严重程度,且具有无创性优势,但其精确度可能低于冠状动脉造影或病理活检这一类金标准。第四,数据收集过程中未能纳入所有潜在关联因素,如遗传因素和饮食习惯等。
综上,本研究评估了血清生物标志物、生活习惯及疾病状态对无症状体检人群动脉粥样硬化风险的预测价值。研究结果表明基于常规体检即可便捷获取的指标所构建的列线图预测模型具有良好的预测效能,有助于在无症状人群中早期识别动脉粥样硬化高风险个体。
中国心血管健康与疾病报告2023概要
[J]. 中国循环杂志, 2024, 39(7): 625-660. https://doi.org/10.3969/j.issn.1000-3614. 2024.07.001.Heart disease and stroke statistics-2023 update: a report from the American heart association
[J/OL]. Circulation, 2023, 147(8): e93-e621[Influence of subclinical atherosclerosis burden and progression on mortality
[J]. J Am Coll Cardiol, 2024, 84(15): 1391-1403. https://doi.org/10.1016/j.jacc.2024.06.045.Prevalence and burden of carotid and femoral atherosclerosis in subjects without known cardiovascular disease in a large community hospital in South-America
[J]. High Blood Press Cardiovasc Prev, 2024, 31(2): 177-187. https://doi.org/10.1007/s40292-024-00627-3.The ratio of systolic and diastolic pressure is associated with carotid and femoral atherosclerosis
[J]. Front Cardiovasc Med, 2024, 11: 1353945. https://doi.org/10.3389/fcvm.2024.1353945.Visualising statistical models using dynamic nomograms
[J/OL]. PLoS One, 2019, 14(11): e0225253[Salt intake assessed by spot urine on physical examination in Hunan, China
[J]. Asia Pac J Clin Nutr, 2019, 28(4): 845-856. https://doi.org/10.6133/apjcn. 201912_28(4).0022.Prevalence, vascular distribution, and multiterritorial extent of subclinical atherosclerosis in a middle-aged cohort: the PESA (progression of early subclinical atherosclerosis) study
[J]. Circulation, 2015, 131(24): 2104-2113. https://doi.org/10. 1161/CIRCULATIONAHA.114.014310.头颈部血管超声若干问题的专家共识(颈动脉部分)
[J]. 中国脑血管病杂志, 2020, 17(6): 346-353. https://doi. org/10.3969/j.issn.1672-5921.2020.06.013.2018 Chinese guidelines for prevention and treatment of hypertension-a report of the revision committee of Chinese guidelines for prevention and treatment of hypertension
[J]. J Geriatr Cardiol, 2019, 16(3): 182-241. https://doi.org/10.11909/j.issn.1671-5411.2019.03.014.中国2型糖尿病防治指南(2020年版)(上)
[J]. 中国实用内科杂志, 2021, 41(8): 668-695. https://doi.org/10.19538/j.nk2021080106.Subclinical atherosclerosis progression in low-risk, middle-aged adults: carotid leads femoral in IMT increase but not in plaque formation
[J]. J Cardiovasc Dev Dis, 2024, 11(9): 271. https://doi. org/10.3390/jcdd11090271.Prevalence and vascular distribution of multiterritorial atherosclerosis among community-dwelling adults in southeast China
[J/OL]. JAMA Netw Open, 2022, 5(6): e2218307[Lp(a) [lipoprotein (a)] concentrations and incident atherosclerotic cardiovascular disease: new insights from a large national biobank
[J]. Arterioscler Thromb Vasc Biol, 2021, 41(1): 465-474. https://doi. org/10.1161/ATVBAHA.120.315291.Effect of in-hospital evolocumab therapy on lipoprotein(a) in patients with acute myocardial infarction: a retrospective cohort study and a propensity score matching analysis
[J]. Cardiol Plus, 2023, 8(1): 46-52. https://doi.org/10.1097/CP9.0000000000000036.Lipoprotein(a) levels, genotype, and incident aortic valve stenosis: a prospective Mendelian randomization study and replication in a case-control cohort
[J]. Circ Cardiovasc Genet, 2014, 7(3): 304-310. https://doi.org/10.1161/CIRCGENETICS.113.000400.What do we know about the role of lipoprotein(a) in atherogenesis 57 years after its discovery?
[J]. Prog Cardiovasc Dis, 2020, 63(3): 219-227 https://doi.org/10.1016/j.pcad.2020.04.004.Lipoprotein(a) as a cardiovascular risk factor: current status
[J]. Eur Heart J, 2010, 31(23): 2844-2853. https://doi.org/10.1093/eurheartj/ehq386.Lipoprotein(a), PCSK9 inhibition, and cardiovascular risk
[J]. Circulation, 2019, 139(12): 1483-1492. https://doi.org/10.1161/CIRCULATIONAHA. 118.037184.Lipoprotein (a): an update on a marker of residual risk and associated clinical manifestations
[J]. Am J Cardiol, 2020, 126: 94-102. https://doi.org/10.1016/j.amjcard.2020.03.043.The role of Lipoprotein(a) in cardiovascular disease: Current concepts and future perspectives
[J]. Hellenic J Cardiol, 2020, 61(6): 398-403. https://doi.org/10.1016/j.hjc.2020.09.016.2019 ESC/EAS guidelines for the management of dyslipidaemias: lipid modification to reduce cardiovascular risk
[J]. Eur Heart J, 2020, 41(1): 111-188. https://doi.org/10.1093/eurheartj/ehz455.中国血脂管理指南(2023年)
[J]. 中国循环杂志, 2023, 38(3): 237-271. https://doi.org/10.3969/j.issn.1000-3614.2023.03.001.The value of Lp(a) and TG/HDLC in peripheral blood to assess the stability of carotid plaque in patients with ischemic stroke
[J/OL]. Brain Behav, 2024, 14(1): e3355[Association of lipoprotein(a) with atherosclerotic plaque progression
[J]. J Am Coll Cardiol, 2022, 79(3): 223-233. https://doi.org/10.1016/j.jacc. 2021.10.044.Lipoprotein(a) and long-term plaque progression, low-density plaque, and pericoronary inflammation
[J]. JAMA Cardiol, 2024, 9(9): 826-834. https://doi.org/10.1001/jamacardio.2024.1874.Lipoprotein(a) and coronary plaque in asymptomatic individuals: the Miami heart study at Baptist health south Florida
[J/OL]. Circ Cardiovasc Imaging, 2024, 17(7): e016152[Impact of elevated lipoprotein(a) on coronary artery disease phenotype and severity
[J]. Eur J Prev Cardiol, 2024, 31(7): 856-865. https://doi.org/10.1093/eurjpc/zwae007.Lipoprotein(a) levels and atherosclerotic plaque characteristics in the carotid artery: The Plaque at RISK (PARISK) study
[J]. Atherosclerosis, 2021, 329: 22-29. https://doi.org/10.1016/j.atherosclerosis.2021.06.004.A nomogram diagnostic cardiovascular disease in patients with erythrodermic psoriasis in Chinese
[J]. Front Immunol, 2023, 14: 1159957. https://doi.org/10.3389/fimmu.2023.1159957.Endothelial function and arterial stiffness indexes in subjects with carotid plaque and carotid plaque length: a subgroup analysis showing the relationship with hypertension and diabetes
[J]. J Stroke Cerebrovasc Dis, 2023, 32(3): 106986. https://doi.org/10.1016/j. jstrokecerebrovasdis.2023.106986.Risk factors for carotid plaque formation in type 2 diabetes mellitus
[J]. J Transl Med, 2024, 22(1): 18. https://doi.org/10.1186/s12967-023-04836-7.Role of niacin in current clinical practice: a systematic review
[J]. Am J Med, 2017, 130(2): 173-187. https://doi.org/10.1016/j.amjmed.2016. 07.038.HDL-C is associated with mortality from all causes, cardiovascular disease and cancer in a J-shaped dose-response fashion: a pooled analysis of 37 prospective cohort studies
[J]. Eur J Prev Cardiol, 2020, 27(11): 1187-1203. https://doi.org/10.1177/2047487320914756.Prevalence of lipoprotein(a) measurement and its association with arteriosclerosis in asymptomatic individuals in China
[J]. J Atheroscler Thromb, 2025, 32(4): 513-524. https://doi.org/10.5551/jat.65214.A nomogram based on radiomics intermuscular adipose analysis to indicate arteriosclerosis in patients with newly diagnosed type 2 diabetes
[J]. Front Endocrinol (Lausanne), 2023, 14: 1201110. https://doi.org/10. 3389/fendo.2023.1201110.作者声称无任何利益冲突。
朱小伶, 颜磊, 唐立, 王建刚, 郭亚璋, 杨娉婷. 体检人群血管斑块关联因素的列线图预测模型[J]. 中南大学学报(医学版), 2025, 50(7): 1167-1178. DOI:10.11817/j.issn.1672-7347.2025. 240597
ZHU Xiaoling, YAN Lei, TANG Li, WANG Jiangang, GUO Yazhang, YANG Pingting. Nomogram prediction model for factors associated with vascular plaques in a physical examination population[J]. Journal of Central South University. Medical Science, 2025, 50(7): 1167-1178. DOI:10.11817/j.issn. 1672-7347.2025.240597
http://xbyxb.csu.edu.cn/xbwk/fileup/PDF/2025071167.pdf
http://dx.chinadoi.cn/10.11817/j.issn.1672-7347.2025.240597

