2023年我国低空经济的市场规模已经达到5 000亿元,预计到2030年将增长至2万亿元[1]。在低空经济中,无人机就像使用终端,随着无人机市场不断丰富且规模逐渐庞大,会直接引发网络效应,而快递物流行业将成为无人机大规模应用的领域。2013年亚马逊提出无人机配送理念,并在2015年公布Prime Air计划;谷歌2014年启动Wing项目,探索小型无人机配送;2018年饿了么在中国率先开设17条无人机配送路线[2];2022年,美团在上海金山启动首条无人机配送常规航线。随着电子商务与即时零售的迅猛发展,传统卡车配送模式难以满足城市物流末端配送,末端配送模式革新势在必行,而众包物流模式的成熟和无人机配送的发展为末端配送带来了机遇。自MURRAY等[3]首次提出卡车与无人机的协同策略以来,卡机协同配送已成为学界瞩目的焦点;MOURELO等[4]通过结合k均值算法与遗传算法,定位无人机的发射点、优化运输路径,并精确计算每辆卡车搭载的无人机数量,从而高效规划交付任务;KITJACHAROENCHAI等[5]的贡献则体现在对卡车与多无人机协同配送路线的深度剖析中,展示了无人机如何灵活服务于多位客户后安全返回起点的智慧物流方案。国内学者同样在此领域取得了显著进展。高娇娇等[6]面对载重限制、续航能力及时间同步性等多重约束条件,运用先进算法为卡车与无人机两大配送工具设计出科学合理的2级车辆路径规划,进一步提升了物流效率;蒋丽等[7]从无人机载重、飞行范围的实际考量出发,将卡车和配送中心设定为移动与固定服务节点,明确了卡车适宜长距离输送,而无人机执行社区内的近距离快速配送的分工策略,有效拓展了协同配送的实践边界。对于生鲜农产品物流,付朝晖等[8]的仿真实验表明,卡车—无人机联合集货模式可提升集货时效性,保障生鲜农产品新鲜度与质量,降低货损成本。陈希琼等[9]则考虑了卡车和无人机相互等待成本,建立单卡车多无人机配送模型,通过算法求解,表明联合配送能降低农村物流成本。张健等[10]研究城市无人机飞行间隔调控模型,提出位置调控机制,实验得出了满足安全目标时的调控频率和间隔,并兼顾安全与效率。尽管当前文献从多种维度探讨了卡车与无人机协同作业问题,但对于众包物流与卡机协同配送这一新型整合模式的探究尚显匮乏。众包物流模式,作为当代末端配送领域的革新实践,正深刻地影响着物流配送行业。它不仅有效削减了仓储与运输的巨额成本,还为紧张的配送劳动力市场带来了亟需的缓释[11]。众包物流吸引了众多学者广泛的研究兴趣与深度剖析,学者们研究了激励机制的核心,旨在激发众包物流参与者的工作热忱与忠诚度[12],同时,学者们也致力于探寻更科学的任务分配策略,以期实现任务调度的最优化与高效执行[13],此外,针对配送定价这一敏感而关键的问题,研究聚焦于如何确立一个既公平合理又具竞争力的价格体系[14],确保市场的健康运作及各参与方的利益平衡。技术前沿同样没有被忽视,特别是区块链技术的引入,为原本中心化的众包平台提供了去中心化的转型路径[15],这不仅增强了数据的安全性与透明度,也为信任机制的构建奠定了坚实基础。另一方面,为了保障服务品质,构建一套全面且动态的众包物流服务质量控制模型成为研究热点,以此来应对复杂多变的市场需求,维护消费者满意度与品牌信誉[16]等;对于众包物流的路径规划问题,周煜丰等[17]研究了企业雇佣车与社会众包车协同配送,建立需求可拆分的协同运输路径规划模型,并通过设计双层遗传算法求解,结果表明,企业可优先用高容量众包车降低成本。此外,邸振等[18]研究利用地铁非高峰运力发展地下物流,构建客货共车协同运输模型,以缓解城市货运压力。众多研究者也积极探索了众包物流与传统生产运输物流融合的新维度。ARCHETTI等[19]分析了企业自有车队与临时招募车辆并行使用的配送路径优化问题,结合了标准化物流体系与灵活多变的众包模式。该研究设计了一种旨在最小化总体运输成本的启发式算法,算法从多个起点出发,为实现配送效率的提高提供了新思路;FENG等[20]深化了这一领域的探索,他们将众包配送的决策过程融入生产和运输的宏观规划之中,提出了集成生产与运输调度问题(IPTS-CD),这一模型不仅要求精准选择众包配送服务以适应多样化的市场需求,还强调在确保客户满意度与控制运输成本的双重约束下,同步制定高效的生产和运输策略,力图达到运营效能的最优化平衡;在此基础上,冯鑫等[21]进一步拓展了研究边界,他们将众包物流配送的创新模式嵌入供应链的生产配送协同调度框架,并改进了FENG等的研究成果,通过构建一个双目标优化模型,不仅聚焦于成本效益的最大化,同时兼顾了服务效率的提升。在探索众包物流与生产物流协同配送的学术领域,现有研究对于配送过程中可能遭遇的交通拥堵及复杂地形挑战关注不足。相比之下,无人机配送凭借其超越地面限制的能力,展现出缩短配送时间与促进绿色低碳物流的双重优势[22]。综上,本文在深入分析现有卡车与无人机协同配送的学术成果之基础上,对冯鑫等[21]的双目标众包生产配送模型进行改进,不仅融合了众包物流的灵活性与生产协同配送的高效性,更引入了无人机配送模式,旨在破解城市交通拥堵及复杂地理环境下的配送难题;另一方面,针对单一使用卡车与无人机配送模式存在的局限,特别是卡车司机兼职操控无人机所导致的运载能力下降及后续订单延误问题,本研究引入的众包配送策略,利用社会闲置资源,在常规配送场景下,优先考虑地面运输,保留无人机配送以应对特殊需求,从而实现配送时间的有效缩短,提升整体物流效率与响应速度。配送时间的减少会影响配送成本,本文在两者之间寻求平衡。
1 问题描述
给定一个制造中心



1) 制造中心在接到客户需求订单之后在众包平台发布订单,包含需求订单及客户位置等信息,其中客户i的订单加工时长为

2) 众包配送员根据平台发布的信息(物料大小、重量和客户位置等),选择希望配送的订单作为配送意向,不可超过配送员的最大装载量,意向包含需要的报酬,并将配送意向提交至制造中心,每个众包配送员提交的配送意向上限为
3) 制造中心根据货物数量、车辆装载量、客户位置和众包配送员提交的报酬等,在所有提交的配送意向中选出合适的众包配送人员,并告知众包配送员将共同承担运输配送任务,为保证可靠性,每名众包配送员最多一个配送意向被选中。
4) 制造中心有

计算总交付时间时需要考虑订单的生产时间,同时,众包意向的选择影响专业卡车配送路线,进而不仅影响交付时间,也影响总物流成本。此外,无人机的使用数量也会影响总交付时间和总物流成本,因此,众包意向的选择、无人机的使用和专业卡车的路线是综合决策。
如图1所示为考虑众包物流的卡车无人机协同生产配送的实例。制造中心











本文旨在通过构建一个双目标整数规划模型,以实现客户服务优化的两大核心指标:即最小化总交付时间以提升客户满意度,同时最小化总配送成本以确保经济效益。此模型综合考量了卡车、众包与无人机3种配送方式的成本与时间,力图在两者间找到最优平衡点,确保物流服务既迅速又经济。
2 模型构建
根据上文,建立双目标优化模型,参数如表1所示。
| 序号 | 参数 | 含义 |
|---|---|---|
| 1 | ![]() | 客户![]() |
| 2 | ![]() | 客户![]() |
| 3 | ![]() | 卡车数量 |
| 4 | ![]() | 卡车的装载能力 |
| 5 | ![]() | 无人机集合 |
| 6 | ![]() | 无人机最大载重量 |
| 7 | ![]() | 允许众包配送员提交的最大意向数量 |
| 8 | ![]() | 众包配送员最终被选中的配送意向;![]() |
| 9 | ![]() | 卡车从![]() ![]() |
| 10 | ![]() | 卡车将订单![]() ![]() ![]() ![]() |
| 11 | ![]() | 使用无人机配送订单![]() |
| 12 | ![]() | 卡车从![]() ![]() |
| 13 | ![]() | 支付给众包配送员![]() ![]() |
| 14 | ![]() | 无人机配送订单![]() |
| 15 | ![]() | 如果众包配送员的第![]() ![]() ![]() ![]() |
| 16 | ![]() | 足够大的常数 |
| 17 | ![]() | 如果批次![]() ![]() ![]() |
| 18 | ![]() | 在卡车配送的第![]() ![]() ![]() |
| 19 | ![]() | 如果订单![]() ![]() ![]() ![]() |
| 20 | ![]() | 如果众包配送员![]() ![]() ![]() ![]() |
| 21 | ![]() | 如果订单![]() ![]() ![]() |
| 22 | ![]() | 订单![]() |
| 23 | ![]() | 订单![]() |
| 24 | ![]() | 众包配送员从初始位置的出发时间 |
| 25 | ![]() | 卡车司机使用无人机配送的开始时间 |
| 26 | ![]() | 卡车第![]() |



























































目标(1)为最小化交付时间;目标(2)为最小化运输成本,包含最小众包配送成本、最小卡车配送成本和最小无人机配送成本;约束(3)保证所有需要配送的订单完工之前,卡车不能开始配送;约束(4)保证卡车在完成配送任务后返回到

本文设定使用无人机的位置在所需无人机配送客户的附近,由于无人机配送距离较短和卡车可提供充电服务,因此,本文不考虑无人机续航问题;无人机每次装载配送一个订单;此外,设定每个批次的订单可同时加工,该批次加工时间等于订单的最大加工时间,该批次完成加工后才可运输,同时下一批次开始加工。
3 算法设计
本文的配送模型具有多目标优化的特性,需同时最小化总交付时间和总物流成本,这2个目标之间存在冲突,且模型涉及复杂的高维解空间和混合变量(离散与连续变量),同时需满足多种约束条件,如卡车载重能力、无人机飞行范围及众包配送员的选择限制等。这些特性决定了模型的求解需要一种能够平衡多个目标、搜索复杂解空间并处理约束问题的算法。为此,本文采用了多目标粒子群优化-差分进化算法(MOPSO-DE)。
MOPSO-DE结合了粒子群优化(PSO)的全局搜索能力和差分进化(DE)的局部优化能力,能够在复杂解空间中平衡全局搜索与局部开发,从而有效避免陷入局部最优。此外,MOPSO算法通过动态更新帕累托前沿解集,可以为模型提供一组权衡解,满足总交付时间和总物流成本的平衡需求。差分进化算法的引入进一步增强了种群的多样性,提高了解的质量和算法的收敛性能。本文根据模型特点设计了MOPSO-DE算法作为该配送问题的求解算法,以充分利用其在多目标优化、动态调整和高效计算上的优势。
3.1 粒子编码
由模型可知,客户位置具有随机性,客户订单的实际交付时间由卡车启动配送时间和卡车的配送路径决定,卡车启动配送时间取决于配送批次中最后一个任务的完工时间;众包配送员的配送意向和需使用无人机配送的订单也具有随机性。
本文设计的粒子决定对客户的配送方式,从而影响目标函数。每个客户对应一个配送策略,配送策略包含配送批次和方式,如表2所示,第1列为





| 客户 | 配送批次 | 配送方式 | 客户位置 |
|---|---|---|---|
| 1 | 0 | 0 | (182.7, 139.1) |
| 2 | 0 | 0 | (71.6, 31.7) |
| 3 | 1 | 0 | (70.2, 4.3) |
| 4 | 0 | 0 | (9.9, 176.2) |
| 5 | 0 | 0 | (143.2, 135.2) |
| 6 | 0 | 1 | (56.4, 68) |
| 7 | 0 | 2 | (22.5, 20.9) |
| 8 | 1 | -1 | (134.4, 118.6) |
解空间的构成:设配送问题包含

其中,


单个粒子表示为

解码机制:对每个客户

归一化概率:

假设某粒子在客户3处的坐标为(0.6,0.3),则:




此外,在算法中,众包配送员的位置与需要配送的客户距离至少保持10个单位,使用无人机的位置距离需要配送的客户至多5个单位,至少2个单位,且假设客户在无人机飞行范围内,均不与客户位置重合;每个配送批次订单总重量不超过卡车装载量;考虑到实际调度的不确定性,在每次迭代优化时,每个客户订单的配送策略有5%的概率被随机扰动,从而生成新的配送策略,而单个客户的配送策略变异可能改变整体配送路径的规划。由于模型的场景是城市物流,考虑到交通状况,引入交通拥堵系数ϵ,即配送时间将在原计算逻辑的基础上乘以系数ϵ,卡车基础系数为2,早晚高峰系数为1.5(早高峰7~9点,晚高峰17~19点);因为众包员比较灵活,无人机在空中配送,所以假设众包配送和无人机配送不受交通拥堵的影响。
3.2 算法改进
本文对传统的多目标粒子群优化(MOPSO)算法进行了多项改进,以提升其在解决实际问题时的性能。具体改进包括动态调整学习因子、实现粒子多样性保持机制、结合差分进化法、引入精英保留策略。
3.2.1 动态调整学习因子
在传统MOPSO算法中,认知学习因子(


其中,




在算法初期,




3.2.2 粒子多样性保持机制
为了避免粒子群陷入局部最优解,本文实现了粒子多样性保持机制。当粒子在一定迭代次数内未能找到更优解时,通过随机扰动粒子的位置来逃逸局部最优解,从而保持种群的多样性,提高算法的全局搜索能力。具体实现如下:

其中,



3.2.3 引入差分进化法
差分进化(DE)是一种基于种群的进化算法。本文将差分进化法与粒子群优化结合,并引入精英保留策略。步骤如下。
1) 初始化种群:生成初始种群,每个个体对应一个解向量。
2) 变异操作:为每个目标向量生成一个变异向量。
3) 交叉操作:通过交叉操作生成试验向量,交叉概率为90%。
4) 选择操作:将试验向量与目标向量进行比较,选择更优的向量进入下一代。
5) 精英保留操作:引入精英保留策略以增强搜索效率和解的质量。该策略通过动态维护一个外部存档,存储每一代产生的非支配解,并基于拥挤度排序控制存档规模。每隔固定5代,从存档中随机选择精英解替换当前种群中的低适应度个体,确保优质基因的持续传递。
通过上述改进,MOPSO算法在搜索效率、解的质量、多样性保持等方面得到了显著提升。这些改进在不同的多目标优化问题中显示出良好的效果,提升了算法的实际应用价值。
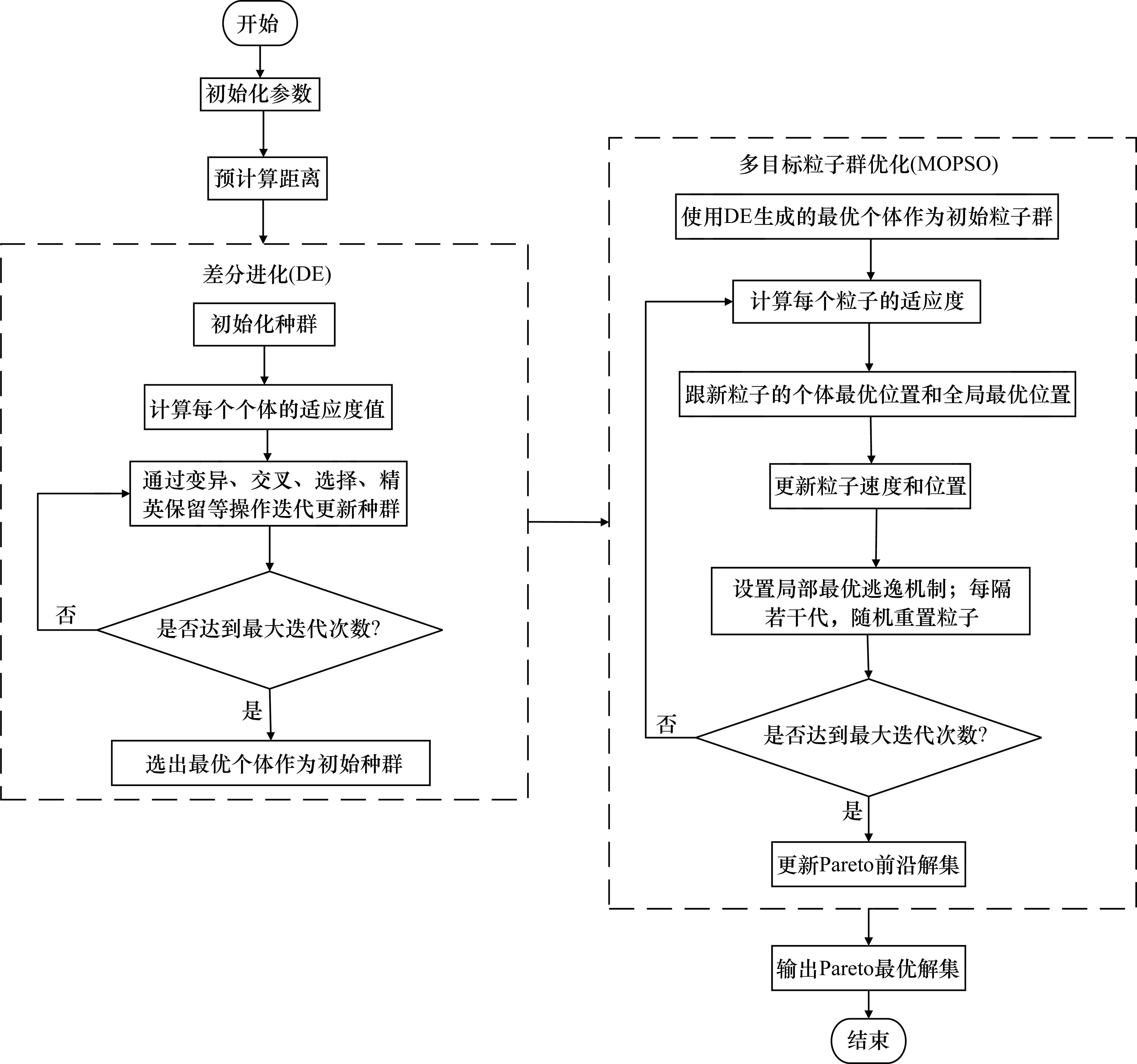
4 算法流程
基于多目标粒子群算法的算法流程图如图2所示,具体步骤如下:

1) 差分进化:初始化种群;计算每个个体的目标值;通过变异、交叉、选择、精英保留操作迭代更新种群;选出最优个体作为初始种群。
2) 多目标粒子群优化:使用DE生成的最优个体作为初始种群;计算目标值;更新粒子的个体最优位置和全局最优位置;更新粒子速度和位置;设置局部最优逃逸机制;每隔一定代数重新生成部分粒子的位置,跳出局部最优。
5 算例分析
算法实现的硬件环境是8 GB Intel(R) Core(TM) i7-8565U CPU @1.80 GHz,Windows11操作系统,算法由Python3.9.10软件编程。
5.1 参数设置
本文的参数参考KAFLE等[23]的方法设置,每个客户的位置是一个随机的二维坐标,每个坐标的值都在0到200的范围内,2个客户点之间用


卡车在点











配送分为3种方式:1) 卡车直接交付给客户;2) 卡车先将众包配送员的订单交付给众包配送员,然后由众包配送员交付给客户,同时,卡车直接进行下一个订单的配送;3) 对于需要使用无人机交付的订单,卡车到达客户附近后,用无人机交付给客户,卡车需等待无人机返回才能进行下一个订单的配送,由于无人机载重量较小,可能需要往返多次才能完成配送任务。
众包配送员配送意向报价

无人机的单次载重量


按照上述参数输入模型,表3是运用本文设计的MOPSO-DE算法探究协同配送策略与仅卡车配送模式,在配送成本和配送时间上的对比。客户订单数量


客户数 量/个 | 仅卡车配送 时间/min | 仅卡车配送 成本/元 | 协同配送 时间/min | 协同配送 成本/元 | 优化效果 (时间)/% | 优化效果 (成本)/% |
|---|---|---|---|---|---|---|
| 平均值 | 59.0 | 52.3 | ||||
| 20 | 10 390.8 | 3 676.2 | 3 673.7 | 1 398.8 | 64.6 | 62.0 |
| 25 | 10 548.7 | 3 682.2 | 4 111.5 | 1 725.9 | 61.0 | 53.1 |
| 30 | 14 895.2 | 5 427.6 | 6 028.3 | 2 483.1 | 59.5 | 54.2 |
| 35 | 14 627.7 | 5 207.5 | 5 678.3 | 2 490.2 | 61.2 | 52.2 |
| 40 | 17 917.4 | 6 514.8 | 7 712.9 | 3 459.6 | 57.0 | 46.9 |
| 45 | 25 191.9 | 9 011.6 | 8 761.1 | 3 763.2 | 65.2 | 58.2 |
| 50 | 22 964.5 | 8 245.3 | 9 380.3 | 3 879.3 | 59.2 | 53.0 |
| 55 | 24 820.8 | 9 076.0 | 11 070.4 | 4 857.7 | 55.4 | 46.5 |
| 60 | 27 307.4 | 9 974.8 | 14 275.5 | 5 567.6 | 47.7 | 44.2 |

由表3可得,优化策略相比较于仅卡车配送,平均配送成本降低了52.3%,平均配送时间降低了59%,说明本文设计的配送策略具有良好的效率。图3中成本与时间的走势相同,是因为二者均与配送距离呈正相关,此外,客户的位置分布影响配送成本与时间,随着客户密度的增加,配送路径可能更紧凑,从而出现成本降低,配送时间减少的情况,如图3所示,当客户数量等于35时,配送成本和时间都低于数量为30和40时。整体来看,协同配送的配送成本和时间曲线相对于仅卡车配送增长缓慢,其主要原因在于优化策略通过动态扩展配送资源(无人机和众包配送员)、合理的批次分组与路径优化、以及全局优化算法的高效调度,使得配送资源能够充分匹配客户数量的增长。
5.2 算法比较
本研究采用MOPSO-DE算法来优化制造中心到客户的物流方案。为了评估其性能,将其与MOPSO算法进行比较;种群数量均为300,迭代次数为150次,当客户数量分别取值20、25、30、35、40、45、50、55、60时,比较两者帕累托前沿解的数量(基数指标)与计算时间上的差异,基数越大,算法表现越好,计算时间越少,计算效率越高。结果如表4所示,由表可得,每种客户数量情况下,MOPSO-DE算法计算时间虽与MOPSO算法相近,但MOPSO-DE算法的帕累托前沿解的数量优于MOPSO算法。图4是当客户数量为20时,2种算法在迭代过程中的基数指标对比,由图4可知,MOPSO-DE算法的帕累托前沿解的数量显著多于MOPSO算法的解的数量。
客户数 量/个 | MOPSO算法时 间/s | MOPSO-DE算法 时间/s | MOPSO算法 基数 | MOPSO-DE算法 基数 |
|---|---|---|---|---|
| 20 | 464.7 | 474.0 | 3 | 11 |
| 25 | 474.9 | 476.6 | 5 | 20 |
| 30 | 478.9 | 488.6 | 5 | 31 |
| 35 | 495.7 | 495.7 | 6 | 16 |
| 40 | 508.5 | 502.3 | 5 | 13 |
| 45 | 507.5 | 516.9 | 4 | 19 |
| 50 | 548.3 | 526.8 | 5 | 19 |
| 55 | 534.5 | 551.6 | 2 | 14 |
| 60 | 571.5 | 556.5 | 3 | 8 |

5.3 灵敏度分析
5.3.1 众包配送员数量对目标的影响
当客户订单数量



经过多次算法运行,结果表明,在这3种不同数量众包配送员的情形下,帕累托前沿存在显著的差异,当总交付时间一定时,不同数量的众包配送员对总物流成本有显著影响。在具体情境中,一定数量的众包配送员能够有效降低物流成本。这说明在物流配送优化中,合理配置众包配送员数量是降低成本和提高效率的关键。
5.3.2 无人机数量对目标的影响
图6展示了当客户订单数量



6 结论
1) 本研究打造了一个集成卡车运输、无人机配送以及众包物流的生产配送系统。该系统直接将订单从制造中心交付至客户手中。它不仅充分利用了众包物流这一社会化资源的潜力,而且在面对交通拥堵或复杂地形等场景时,能够采用更加灵活的无人机配送模式,以确保企业配送服务的高标准和质量。
2) 构建了一个考虑总配送时间和总物流成本的双目标优化模型,旨在综合评估客户服务满意度与企业物流效益。为了求解这一模型,本文设计使用了MOPSO-DE算法,并对这一算法进行了改进,以提高算法性能。通过与传统仅卡车运输的方式相比较,本研究所构建的配送系统展现出了更高的配送效率,平均配送成本降低了52.3%,平均配送时间降低了59%。
3) 本文将MOPSO-DE算法与MOPSO算法进行了比较,结果表明MOPSO-DE算法的帕累托前沿解的数量优于MOPSO算法。进一步的灵敏度分析揭示了合理调配众包配送员的数量和无人机的使用数量对降低物流成本和提升配送效率的重要性。本研究为企业优化物流配送策略、提升服务水平提供了有力的技术支持和决策参考。
考虑需求可拆分的雇佣和众包车辆协同运输路径规划模型
[J/OL]. 中国管理科学, 1-16[祁玉青,张伟.考虑众包物流的卡车无人机协同生产配送多目标优化[J].铁道科学与工程学报,2025,22(10):4463-4475.
QI Yuqing,ZHANG Wei.Multi objective optimization of collaborative production and distribution of trucks and drones considering crowdsourcing logistics[J].Journal of Railway Science and Engineering,2025,22(10):4463-4475.












































