超声塑化微注塑是一种新型的微注塑成型工艺,具有节能省材、降低熔体黏度、改善熔体流动性能等优势[1-2],在复杂微纳结构零件批量化制造领域具有较大的发展潜力。其原理是通过超声工具头端面的高频振动与物料直接接触,将机械能转化为热能从而熔融物料,并通过注射柱塞将物料推入型腔,从而完成塑化成型过程。在塑化时,超声工具头需伸入模具孔,为保证熔体不从模具孔溢出,工具头与模具孔的设计间隙极小,一般径向间隙控制在0.3 mm以内。超声工具头整体结构较为细长,在高频振动的作用下,发生径向振动,容易与侧壁摩擦,导致工具头被损坏。为了避免超声工具头与模具孔发生摩擦甚至碰撞,要求工具头在装配时与模具孔有较高的同轴度、与模板具有较高的垂直度,且工具头夹具结构需有较强的刚性。因此,超声塑化微注塑机的工艺系统结构布局一般为立式。
随着微成型对于注塑设备在小型化、绿色环保、节能和低噪声等方面的要求越来越高,液压驱动式机型已逐渐被淘汰,微注塑机趋向于纯电式方向发展,超声塑化微注塑机也不例外。因此,各个机构模块的电机选型也成为关注的焦点。合模机构作为注塑机上控制模具启闭、提供锁模力的关键模块,驱动其运动的合模电机的体积和功率最大。目前,超声塑化设备上普遍使用直压式合模机构,如中南大学研发的第三代超声塑化微注塑机[3-4]和西班牙Ultrasion企业研发的Sonorus 1G[5]。由于传动链结构简单,直压式合模机构的锁模力完全取决于合模电机的扭矩及功率。随着制品对锁模力的要求越来越高,直压式合模机构所提供的合模力难以满足合模需求。同时,直压式合模机构在合模时容易存在较大的冲击,噪声较大,且易造成模具损坏,因此,直压式合模机构已不再适用于超声塑化设备。双曲肘合模机构因其具有合模力倍增、肘杆机构自锁、慢—快—慢开合模等优势被广泛关注[6-7]。因其具有电机扭矩小输入—合模力大输出的机构特性,可以在满足锁模力需求的前提下,实现更小电机的选型。同时,其在锁模阶段无需电机供力,依靠结构自锁便可维持锁模力,从而节省能耗。由于机构自身的运动特性,其开合模速度易于控制,能够有效降低合模时的冲击。双曲肘合模机构因具有上述优势已被普遍应用于常规的大锁模力注塑机及压铸机,国内外学者对其展开了大量研究。
JIN等[8]构建了卧式双曲肘三板式合模机构的行程比、速度比和增力比等计算公式并分析了其主要性能参数,建立了物理模型进行运动学仿真,验证了数学模型的准确性和合模机构设计的可行性。LE等[9]构建了卧式双曲肘三板式合模机构的数学模型,结合MotionView动力学仿真模块与HyperStudy数字图形分析模块优化合模机构参数,机构动作更加平稳且提高了增力比。吴小廷[10]通过Adams建立了卧式双曲肘三板式合模机构的参数化模型,分析了每个设计变量对十字头行程的影响程度,发现在不改变开合模行程的情况下,十字头行程降低了50 mm,即增大了行程比。朱金柏[11]设定参数化卧式双曲肘三板式合模机构的设计变量及优化目标,自动进行多次运动学仿真并输出动模板运动特性曲线,最终得到起停冲击小、具有慢—快—慢移模特性的合模机构。李波[12]对卧式双曲肘三板式合模机构的前模板进行了应力仿真校核,并以结构变形量W最小为优化目标、体积V为约束进行拓扑优化,使前模板质量减小4.5%,变形量减小13.5%,同时减小关键位置的应力集中现象。许峥嵘等[13]通过卧式双曲肘三板式合模机构的刚柔耦合模型与全刚体模型的动力学仿真分析了动模板合模精度的影响因素,发现增加十字头启动加速时长、降低十字头驱动速度可以提升动模板的合模平稳性。HE等[14]基于注塑机多阶段运动控制理论,考虑建模时惯性、摩擦和变形等非线性影响,研究了卧式双曲肘三板式合模机构的全过程动力学模型并验证了其可行性。从上述研究现状可知,当前国内外对于双曲肘合模机构较为全面、系统性的研究基本聚焦于卧式机型的常规注塑机,其特有构型为卧式双曲肘三板式合模机构。目前,虽已有双曲肘合模机构在常规立式注塑机上的应用案例,其特有构型为立式双曲肘三板式合模机构,然而,相关报道很少,目前未见双曲肘合模机构在超声塑化微注塑机上的研究与应用。
通过借鉴常规立式注塑机上成熟的双曲肘合模机构构型,可大幅提升超声塑化微注塑机的性能、满足微成型提出的更高要求,并为制品成型及工艺研究提供良好的设备基础。然而,由于超声塑化微注塑机同时存在超声塑化机构和注射机构共2个独立的模块,而现有的立式双曲肘合模机构构型为三板式,缺少注射机构的安装空间,因此,此构型无法直接应用于超声塑化微注塑机。为了推动超声塑化微注塑机向小型化、绿色环保、节能和低噪声等方向发展,使其能够更好地服务于超声塑化微注塑产品成型,需要设计一种适用于超声塑化微注塑机的双曲肘合模机构构型,实现合模力的稳定和准确输出,为超声制品精准成型提供保障。
本文提出一种适用于超声塑化微注塑机的立式双曲肘四板式合模机构构型,并建立其数学模型。设计具体的初始机构三维模型,通过对机构的开合模过程进行动力学仿真分析,验证数学模型的准确性及慢—快—慢的移模特性。以机构总长最短、行程比最大和增力比最大为优化目标,使用NSGA-II优化肘杆机构参数,提升机构性能。通过实验验证仿真模型的准确性。
1 机构与数学模型的建立
1.1 机构建立
超声塑化微注塑成型与传统的螺杆加热塑化成型的工艺不同,所适用的双曲肘合模机构的结构构型也会存在差异。由于超声塑化机构与注射机构为相互独立的模块,超声塑化微注塑机需要有2块模板用来安装2个独立机构,因此,适用的双曲肘合模机构需为四板式构型。而常规立式注塑机的螺杆注射机构同时承担了塑化和注射工作,只需要1块模板来安装螺杆注射机构,因此,适用的双曲肘合模机构为三板式的构型,如图1所示。
2025年9期/10.11817j.issn.1672-7207.2025.09.011/alternativeImage/AEA50C89-22AD-45ca-A828-FB62600C8DC4-F001.jpg)
在立式双曲肘三板式合模机构的基础上增设1块模板,命名为支承板,用来安装注射机构。支承板通过4根柱子与定模板连接,柱子命名为支承柱。定模板直接安装在设备机架上,支承板和支承柱不直接与机架连接。将此新机构命名为立式双曲肘四板式合模机构,其运动简图如图2所示,其中,左侧为开模极限位置,右侧为锁模位置(此时,C′F′与D′F′共线)。前肘杆与支承板在C点通过销轴连接,前肘杆与后肘杆在F点通过销轴连接,后肘杆与尾板在D点通过销轴连接,后肘杆与短肘杆在B点通过销轴连接,短肘杆与十字头在A点通过销轴连接,十字头与丝杠螺母固定连接,滚珠丝杠与尾板固定连接。图2中,DF、CF、BF、AB、BD段的长度依次为2025年9期/10.11817j.issn.1672-7207.2025.09.011/alternativeImage/AEA50C89-22AD-45ca-A828-FB62600C8DC4-M001.jpg)
2025年9期/10.11817j.issn.1672-7207.2025.09.011/alternativeImage/AEA50C89-22AD-45ca-A828-FB62600C8DC4-M002.jpg)
2025年9期/10.11817j.issn.1672-7207.2025.09.011/alternativeImage/AEA50C89-22AD-45ca-A828-FB62600C8DC4-M003.jpg)
2025年9期/10.11817j.issn.1672-7207.2025.09.011/alternativeImage/AEA50C89-22AD-45ca-A828-FB62600C8DC4-M004.jpg)
2025年9期/10.11817j.issn.1672-7207.2025.09.011/alternativeImage/AEA50C89-22AD-45ca-A828-FB62600C8DC4-M005.jpg)
2025年9期/10.11817j.issn.1672-7207.2025.09.011/alternativeImage/AEA50C89-22AD-45ca-A828-FB62600C8DC4-M006.jpg)
2025年9期/10.11817j.issn.1672-7207.2025.09.011/alternativeImage/AEA50C89-22AD-45ca-A828-FB62600C8DC4-M007.jpg)
2025年9期/10.11817j.issn.1672-7207.2025.09.011/alternativeImage/AEA50C89-22AD-45ca-A828-FB62600C8DC4-M008.jpg)
2025年9期/10.11817j.issn.1672-7207.2025.09.011/alternativeImage/AEA50C89-22AD-45ca-A828-FB62600C8DC4-M009.jpg)
2025年9期/10.11817j.issn.1672-7207.2025.09.011/alternativeImage/AEA50C89-22AD-45ca-A828-FB62600C8DC4-M010.jpg)
2025年9期/10.11817j.issn.1672-7207.2025.09.011/alternativeImage/AEA50C89-22AD-45ca-A828-FB62600C8DC4-M011.jpg)
2025年9期/10.11817j.issn.1672-7207.2025.09.011/alternativeImage/AEA50C89-22AD-45ca-A828-FB62600C8DC4-M012.jpg)
2025年9期/10.11817j.issn.1672-7207.2025.09.011/alternativeImage/AEA50C89-22AD-45ca-A828-FB62600C8DC4-M013.jpg)
2025年9期/10.11817j.issn.1672-7207.2025.09.011/alternativeImage/AEA50C89-22AD-45ca-A828-FB62600C8DC4-M014.jpg)
2025年9期/10.11817j.issn.1672-7207.2025.09.011/alternativeImage/AEA50C89-22AD-45ca-A828-FB62600C8DC4-M015.jpg)
2025年9期/10.11817j.issn.1672-7207.2025.09.011/alternativeImage/AEA50C89-22AD-45ca-A828-FB62600C8DC4-M016.jpg)
2025年9期/10.11817j.issn.1672-7207.2025.09.011/alternativeImage/AEA50C89-22AD-45ca-A828-FB62600C8DC4-F002.jpg)
1.2 数学模型建立
根据图2中的几何关系,可推导出立式双曲肘四板式合模机构的关键角、机构总长、动模板行程、十字头行程、丝杠轴向行程、行程比和增力比等的计算公式。
1.2.1 关键角
在一般位置,可得2025年9期/10.11817j.issn.1672-7207.2025.09.011/alternativeImage/AEA50C89-22AD-45ca-A828-FB62600C8DC4-M017.jpg)
2025年9期/10.11817j.issn.1672-7207.2025.09.011/alternativeImage/AEA50C89-22AD-45ca-A828-FB62600C8DC4-M018.jpg)
2025年9期/10.11817j.issn.1672-7207.2025.09.011/alternativeImage/AEA50C89-22AD-45ca-A828-FB62600C8DC4-M019.jpg)
2025年9期/10.11817j.issn.1672-7207.2025.09.011/alternativeImage/AEA50C89-22AD-45ca-A828-FB62600C8DC4-M020.jpg)
2025年9期/10.11817j.issn.1672-7207.2025.09.011/alternativeImage/AEA50C89-22AD-45ca-A828-FB62600C8DC4-M021.jpg)
2025年9期/10.11817j.issn.1672-7207.2025.09.011/alternativeImage/AEA50C89-22AD-45ca-A828-FB62600C8DC4-M022.jpg)
2025年9期/10.11817j.issn.1672-7207.2025.09.011/alternativeImage/AEA50C89-22AD-45ca-A828-FB62600C8DC4-M023.jpg)
在开模极限位置,可得2025年9期/10.11817j.issn.1672-7207.2025.09.011/alternativeImage/AEA50C89-22AD-45ca-A828-FB62600C8DC4-M024.jpg)
2025年9期/10.11817j.issn.1672-7207.2025.09.011/alternativeImage/AEA50C89-22AD-45ca-A828-FB62600C8DC4-M025.jpg)
2025年9期/10.11817j.issn.1672-7207.2025.09.011/alternativeImage/AEA50C89-22AD-45ca-A828-FB62600C8DC4-M026.jpg)
2025年9期/10.11817j.issn.1672-7207.2025.09.011/alternativeImage/AEA50C89-22AD-45ca-A828-FB62600C8DC4-M027.jpg)
在锁模位置,可得2025年9期/10.11817j.issn.1672-7207.2025.09.011/alternativeImage/AEA50C89-22AD-45ca-A828-FB62600C8DC4-M028.jpg)
2025年9期/10.11817j.issn.1672-7207.2025.09.011/alternativeImage/AEA50C89-22AD-45ca-A828-FB62600C8DC4-M029.jpg)
1.2.2 机构总长
定义合模机构的机构总长2025年9期/10.11817j.issn.1672-7207.2025.09.011/alternativeImage/AEA50C89-22AD-45ca-A828-FB62600C8DC4-M030.jpg)
2025年9期/10.11817j.issn.1672-7207.2025.09.011/alternativeImage/AEA50C89-22AD-45ca-A828-FB62600C8DC4-M031.jpg)
1.2.3 行程比
根据几何关系,可得动模板行程2025年9期/10.11817j.issn.1672-7207.2025.09.011/alternativeImage/AEA50C89-22AD-45ca-A828-FB62600C8DC4-M032.jpg)
2025年9期/10.11817j.issn.1672-7207.2025.09.011/alternativeImage/AEA50C89-22AD-45ca-A828-FB62600C8DC4-M033.jpg)
根据几何关系,可得十字头行程2025年9期/10.11817j.issn.1672-7207.2025.09.011/alternativeImage/AEA50C89-22AD-45ca-A828-FB62600C8DC4-M034.jpg)
2025年9期/10.11817j.issn.1672-7207.2025.09.011/alternativeImage/AEA50C89-22AD-45ca-A828-FB62600C8DC4-M035.jpg)
2025年9期/10.11817j.issn.1672-7207.2025.09.011/alternativeImage/AEA50C89-22AD-45ca-A828-FB62600C8DC4-M036.jpg)
2025年9期/10.11817j.issn.1672-7207.2025.09.011/alternativeImage/AEA50C89-22AD-45ca-A828-FB62600C8DC4-M037.jpg)
定义丝杠轴向行程2025年9期/10.11817j.issn.1672-7207.2025.09.011/alternativeImage/AEA50C89-22AD-45ca-A828-FB62600C8DC4-M038.jpg)
2025年9期/10.11817j.issn.1672-7207.2025.09.011/alternativeImage/AEA50C89-22AD-45ca-A828-FB62600C8DC4-M039.jpg)
定义行程比2025年9期/10.11817j.issn.1672-7207.2025.09.011/alternativeImage/AEA50C89-22AD-45ca-A828-FB62600C8DC4-M040.jpg)
2025年9期/10.11817j.issn.1672-7207.2025.09.011/alternativeImage/AEA50C89-22AD-45ca-A828-FB62600C8DC4-M041.jpg)
1.2.4 增力比
立式双曲肘四板式合模机构在一般位置下的受力分析如图3所示。定义增力比2025年9期/10.11817j.issn.1672-7207.2025.09.011/alternativeImage/AEA50C89-22AD-45ca-A828-FB62600C8DC4-M042.jpg)
2025年9期/10.11817j.issn.1672-7207.2025.09.011/alternativeImage/AEA50C89-22AD-45ca-A828-FB62600C8DC4-M043.jpg)
2025年9期/10.11817j.issn.1672-7207.2025.09.011/alternativeImage/AEA50C89-22AD-45ca-A828-FB62600C8DC4-M044.jpg)
2025年9期/10.11817j.issn.1672-7207.2025.09.011/alternativeImage/AEA50C89-22AD-45ca-A828-FB62600C8DC4-M042.jpg)
2025年9期/10.11817j.issn.1672-7207.2025.09.011/alternativeImage/AEA50C89-22AD-45ca-A828-FB62600C8DC4-F003.jpg)
根据图3的受力分析,可得以下关系:
2025年9期/10.11817j.issn.1672-7207.2025.09.011/alternativeImage/AEA50C89-22AD-45ca-A828-FB62600C8DC4-M046.jpg)
2025年9期/10.11817j.issn.1672-7207.2025.09.011/alternativeImage/AEA50C89-22AD-45ca-A828-FB62600C8DC4-M047.jpg)
2025年9期/10.11817j.issn.1672-7207.2025.09.011/alternativeImage/AEA50C89-22AD-45ca-A828-FB62600C8DC4-M048.jpg)
2025年9期/10.11817j.issn.1672-7207.2025.09.011/alternativeImage/AEA50C89-22AD-45ca-A828-FB62600C8DC4-M049.jpg)
2025年9期/10.11817j.issn.1672-7207.2025.09.011/alternativeImage/AEA50C89-22AD-45ca-A828-FB62600C8DC4-M050.jpg)
2025年9期/10.11817j.issn.1672-7207.2025.09.011/alternativeImage/AEA50C89-22AD-45ca-A828-FB62600C8DC4-M051.jpg)
2025年9期/10.11817j.issn.1672-7207.2025.09.011/alternativeImage/AEA50C89-22AD-45ca-A828-FB62600C8DC4-M052.jpg)
2025年9期/10.11817j.issn.1672-7207.2025.09.011/alternativeImage/AEA50C89-22AD-45ca-A828-FB62600C8DC4-M053.jpg)
2025年9期/10.11817j.issn.1672-7207.2025.09.011/alternativeImage/AEA50C89-22AD-45ca-A828-FB62600C8DC4-M054.jpg)
根据力矩平衡定理,可得:
2025年9期/10.11817j.issn.1672-7207.2025.09.011/alternativeImage/AEA50C89-22AD-45ca-A828-FB62600C8DC4-M055.jpg)
根据力平衡定理,可得:
2025年9期/10.11817j.issn.1672-7207.2025.09.011/alternativeImage/AEA50C89-22AD-45ca-A828-FB62600C8DC4-M056.jpg)
2025年9期/10.11817j.issn.1672-7207.2025.09.011/alternativeImage/AEA50C89-22AD-45ca-A828-FB62600C8DC4-M057.jpg)
2025年9期/10.11817j.issn.1672-7207.2025.09.011/alternativeImage/AEA50C89-22AD-45ca-A828-FB62600C8DC4-M058.jpg)
2025年9期/10.11817j.issn.1672-7207.2025.09.011/alternativeImage/AEA50C89-22AD-45ca-A828-FB62600C8DC4-M060.jpg)
2 机构设计与动力学仿真验证
通过多体系统动力学仿真可以模拟复杂机械系统的真实运动过程,大幅缩短产品研制周期和费用,提高设计人员的研发效率。本文基于多体系统动力学仿真软件ADAMS模拟立式双曲肘四板式合模机构的理想运动情况,并验证数学模型的准确性。
2.1 机构设计及虚拟样机模型建立
设计立式双曲肘四板式合模机构的三维模型如图4所示。合模电机输出轴与丝杠通过同步带传动,设计传动比为3。模型中已简化传动链细节。设计肘杆机构参数如表1所示。
2025年9期/10.11817j.issn.1672-7207.2025.09.011/alternativeImage/AEA50C89-22AD-45ca-A828-FB62600C8DC4-F004.jpg)
| 肘杆机构变量 | 设计值 | 肘杆机构变量 | 设计值 |
|---|---|---|---|
![]() | 115 | ![]() | 14 |
![]() | 135 | ![]() | 97 |
![]() | 40 | ![]() | 60 |
![]() | 69 |
将立式双曲肘四板式合模机构的三维模型导入ADAMS,设置各部件的约束和运动副关系,建立虚拟样机模型。将零部件视为刚体,忽略重力与摩擦,对电机轴添加转速驱动。
2.2 行程比计算公式及慢—快—慢特性验证
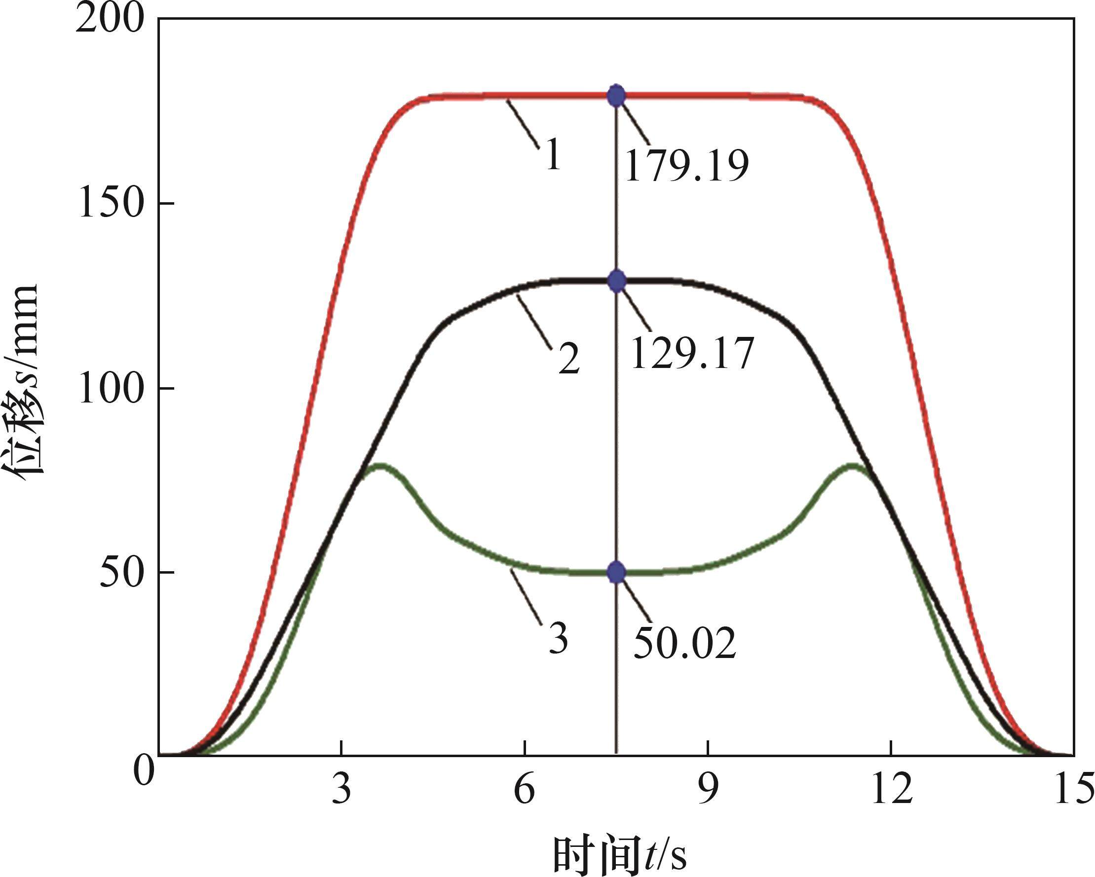
为模拟机构的开合模运动,在电机轴处添加已修正的转速驱动函数,确保机构开合模过程快速、平缓且冲击小。开合模过程总用时15 s,开模动作与合模动作呈对称设置。通过仿真,得到动模板、丝杠和十字头的开合模全过程位移曲线如图5所示,行程比R的仿真值与理论值的对比如表2所示,其中理论值由肘杆机构参数代入式(1)、(4)~(6)、(8)~(11)得到。
2025年9期/10.11817j.issn.1672-7207.2025.09.011/alternativeImage/AEA50C89-22AD-45ca-A828-FB62600C8DC4-F005.jpg)
| 参数 | ![]() | ![]() | ![]() |
|---|---|---|---|
| 相对误差/% | 0 | 0.97 | 1.46 |
| 理论值 | 179.19 | 130.44 | 1.37 |
| 仿真值 | 179.19 | 129.17 | 1.39 |
通过分析,可知行程比R的理论值为1.37,仿真值为1.39,相对误差只有1.46%,因此,可认为行程比R的计算公式是准确的。从图5可知:动模板在0 s时开始合模,速度平缓增大;至快速移动阶段,速度近乎匀速;在4.4 s左右时其速度平缓减小及至锁模时为0;后半段开模运动过程和合模是对称的。结果表明,立式双曲肘四板式合模机构具有慢—快—慢的移模特性,既可实现平稳快速的开合模,提高生产效率,又可减少动模板启闭模时的冲击,延长机构寿命。
2.3 增力比计算公式验证
为模拟真实的合模力,上、下模具之间设置碰撞接触,其接触力即为合模力。由于忽略了重力加速度,机构在每一时刻均处于受力平衡状态,因此,仿真的合模力值等于移模力2025年9期/10.11817j.issn.1672-7207.2025.09.011/alternativeImage/AEA50C89-22AD-45ca-A828-FB62600C8DC4-M071.jpg)
2025年9期/10.11817j.issn.1672-7207.2025.09.011/alternativeImage/AEA50C89-22AD-45ca-A828-FB62600C8DC4-M042.jpg)
2025年9期/10.11817j.issn.1672-7207.2025.09.011/alternativeImage/AEA50C89-22AD-45ca-A828-FB62600C8DC4-M011.jpg)
2025年9期/10.11817j.issn.1672-7207.2025.09.011/alternativeImage/AEA50C89-22AD-45ca-A828-FB62600C8DC4-M011.jpg)
2025年9期/10.11817j.issn.1672-7207.2025.09.011/alternativeImage/AEA50C89-22AD-45ca-A828-FB62600C8DC4-M075.jpg)
2025年9期/10.11817j.issn.1672-7207.2025.09.011/alternativeImage/AEA50C89-22AD-45ca-A828-FB62600C8DC4-M076.jpg)
2025年9期/10.11817j.issn.1672-7207.2025.09.011/alternativeImage/AEA50C89-22AD-45ca-A828-FB62600C8DC4-M077.jpg)
2025年9期/10.11817j.issn.1672-7207.2025.09.011/alternativeImage/AEA50C89-22AD-45ca-A828-FB62600C8DC4-M078.jpg)
2025年9期/10.11817j.issn.1672-7207.2025.09.011/alternativeImage/AEA50C89-22AD-45ca-A828-FB62600C8DC4-M079.jpg)
2025年9期/10.11817j.issn.1672-7207.2025.09.011/alternativeImage/AEA50C89-22AD-45ca-A828-FB62600C8DC4-M080.jpg)
2025年9期/10.11817j.issn.1672-7207.2025.09.011/alternativeImage/AEA50C89-22AD-45ca-A828-FB62600C8DC4-M081.jpg)
2025年9期/10.11817j.issn.1672-7207.2025.09.011/alternativeImage/AEA50C89-22AD-45ca-A828-FB62600C8DC4-M082.jpg)
2025年9期/10.11817j.issn.1672-7207.2025.09.011/alternativeImage/AEA50C89-22AD-45ca-A828-FB62600C8DC4-M083.jpg)
2025年9期/10.11817j.issn.1672-7207.2025.09.011/alternativeImage/AEA50C89-22AD-45ca-A828-FB62600C8DC4-M084.jpg)
2025年9期/10.11817j.issn.1672-7207.2025.09.011/alternativeImage/AEA50C89-22AD-45ca-A828-FB62600C8DC4-F006.jpg)
| 参数 | ![]() | ![]() | ![]() |
|---|---|---|---|
| 相对误差/% | — | — | 0.33 |
| 理论值 | — | — | 14.97 |
| 仿真值 | 23 268.72 | 1 559.80 | 14.92 |
通过分析,可知在2025年9期/10.11817j.issn.1672-7207.2025.09.011/alternativeImage/AEA50C89-22AD-45ca-A828-FB62600C8DC4-M088.jpg)
3 机构性能多目标优化
多目标优化因可用来在多个目标间找到最佳平衡点,被大量应用于复杂机构性能的参数优化。快速精英多目标遗传算法即NSGA-II具有计算速度快和解集收敛性强等优势[16],适用于模型复杂、优化目标多和带约束的优化问题。立式双曲肘四板式合模机构模型复杂、优化目标多,这里建立其优化模型,引入NSGA-II算法进行多目标优化,得到合模机构3个目标Pareto最优的种群,选取一组个体作为优化后的机构参数,并评估优化后的机构性能。
3.1 NSGA-II
引入基于Pareto解的快速精英多目标遗传算法NSGA-II进行求解,其算法求解过程如下[17-18]。
1) 随机产生规模为N的初始种群2025年9期/10.11817j.issn.1672-7207.2025.09.011/alternativeImage/AEA50C89-22AD-45ca-A828-FB62600C8DC4-M089.jpg)
2025年9期/10.11817j.issn.1672-7207.2025.09.011/alternativeImage/AEA50C89-22AD-45ca-A828-FB62600C8DC4-M090.jpg)
2) 将父代种群2025年9期/10.11817j.issn.1672-7207.2025.09.011/alternativeImage/AEA50C89-22AD-45ca-A828-FB62600C8DC4-M091.jpg)
2025年9期/10.11817j.issn.1672-7207.2025.09.011/alternativeImage/AEA50C89-22AD-45ca-A828-FB62600C8DC4-M092.jpg)
2025年9期/10.11817j.issn.1672-7207.2025.09.011/alternativeImage/AEA50C89-22AD-45ca-A828-FB62600C8DC4-M093.jpg)
2025年9期/10.11817j.issn.1672-7207.2025.09.011/alternativeImage/AEA50C89-22AD-45ca-A828-FB62600C8DC4-M094.jpg)
2025年9期/10.11817j.issn.1672-7207.2025.09.011/alternativeImage/AEA50C89-22AD-45ca-A828-FB62600C8DC4-M095.jpg)
2025年9期/10.11817j.issn.1672-7207.2025.09.011/alternativeImage/AEA50C89-22AD-45ca-A828-FB62600C8DC4-M096.jpg)
2025年9期/10.11817j.issn.1672-7207.2025.09.011/alternativeImage/AEA50C89-22AD-45ca-A828-FB62600C8DC4-M097.jpg)
3) 计算每个非支配层中个体的拥挤度,根据个体之间的非支配关系以及拥挤度选取合适的个体组成规模为N的新的父代种群2025年9期/10.11817j.issn.1672-7207.2025.09.011/alternativeImage/AEA50C89-22AD-45ca-A828-FB62600C8DC4-M098.jpg)
4) 通过遗传算法的基本操作(选择、交叉、变异)产生新的子代种群2025年9期/10.11817j.issn.1672-7207.2025.09.011/alternativeImage/AEA50C89-22AD-45ca-A828-FB62600C8DC4-M099.jpg)
2025年9期/10.11817j.issn.1672-7207.2025.09.011/alternativeImage/AEA50C89-22AD-45ca-A828-FB62600C8DC4-M100.jpg)
2025年9期/10.11817j.issn.1672-7207.2025.09.011/alternativeImage/AEA50C89-22AD-45ca-A828-FB62600C8DC4-M101.jpg)
2025年9期/10.11817j.issn.1672-7207.2025.09.011/alternativeImage/AEA50C89-22AD-45ca-A828-FB62600C8DC4-M102.jpg)
5) 重复2)至4),直到算法迭代结束。
NSGA-II算法采用精英策略,通过合并父代子代个体并进行非支配排序和拥挤度计算,保留优秀个体,淘汰劣解[19]。其执行步骤见图7[20]。
2025年9期/10.11817j.issn.1672-7207.2025.09.011/alternativeImage/AEA50C89-22AD-45ca-A828-FB62600C8DC4-F007.jpg)
3.2 目标函数
根据以往的设计经验,合模机构的优化目标通常有机构总长、开合模时间、系统能耗、行程比、增力比和速度特性等[21]。本文选取合模机构较重要的3个优化目标即机构总长、行程比和增力比作为目标函数。
3.3 设计变量
由于支承板和尾板体积较大且结构复杂,对其结构进行优化改进较为困难且成本较高,故选择结构简单、体积小和制造成本低的肘杆和十字头作为优化后的替换部件。因此,在保证各模板结构参数及动模板行程2025年9期/10.11817j.issn.1672-7207.2025.09.011/alternativeImage/AEA50C89-22AD-45ca-A828-FB62600C8DC4-M103.jpg)
2025年9期/10.11817j.issn.1672-7207.2025.09.011/alternativeImage/AEA50C89-22AD-45ca-A828-FB62600C8DC4-M104.jpg)
2025年9期/10.11817j.issn.1672-7207.2025.09.011/alternativeImage/AEA50C89-22AD-45ca-A828-FB62600C8DC4-M105.jpg)
2025年9期/10.11817j.issn.1672-7207.2025.09.011/alternativeImage/AEA50C89-22AD-45ca-A828-FB62600C8DC4-M006.jpg)
2025年9期/10.11817j.issn.1672-7207.2025.09.011/alternativeImage/AEA50C89-22AD-45ca-A828-FB62600C8DC4-M107.jpg)
3.4 约束条件
根据立式双曲肘四板式合模机构的结构特点及运动姿态,建立约束条件如下。
1) 为防止开模初始位置AB、BD共线而自锁,建立约束:
2025年9期/10.11817j.issn.1672-7207.2025.09.011/alternativeImage/AEA50C89-22AD-45ca-A828-FB62600C8DC4-M108.jpg)
2) 为了在不影响肘杆长度情况下获得更好的机构特性,建立杆长比约束:
2025年9期/10.11817j.issn.1672-7207.2025.09.011/alternativeImage/AEA50C89-22AD-45ca-A828-FB62600C8DC4-M109.jpg)
2025年9期/10.11817j.issn.1672-7207.2025.09.011/alternativeImage/AEA50C89-22AD-45ca-A828-FB62600C8DC4-M110.jpg)
3) 为防止部分肘杆过短导致两铰孔干涉,建立约束:
2025年9期/10.11817j.issn.1672-7207.2025.09.011/alternativeImage/AEA50C89-22AD-45ca-A828-FB62600C8DC4-M111.jpg)
2025年9期/10.11817j.issn.1672-7207.2025.09.011/alternativeImage/AEA50C89-22AD-45ca-A828-FB62600C8DC4-M112.jpg)
2025年9期/10.11817j.issn.1672-7207.2025.09.011/alternativeImage/AEA50C89-22AD-45ca-A828-FB62600C8DC4-M113.jpg)
4) 为避免2个对称的后肘杆发生干涉,建立约束:
2025年9期/10.11817j.issn.1672-7207.2025.09.011/alternativeImage/AEA50C89-22AD-45ca-A828-FB62600C8DC4-M114.jpg)
2025年9期/10.11817j.issn.1672-7207.2025.09.011/alternativeImage/AEA50C89-22AD-45ca-A828-FB62600C8DC4-M115.jpg)
5) 为实现较大的动模板行程及避免运动干涉,建立约束:
2025年9期/10.11817j.issn.1672-7207.2025.09.011/alternativeImage/AEA50C89-22AD-45ca-A828-FB62600C8DC4-M116.jpg)
2025年9期/10.11817j.issn.1672-7207.2025.09.011/alternativeImage/AEA50C89-22AD-45ca-A828-FB62600C8DC4-M117.jpg)
6) 双曲肘合模机构肘杆的布置经常采用斜排列形式,为此,建立斜排角约束:
2025年9期/10.11817j.issn.1672-7207.2025.09.011/alternativeImage/AEA50C89-22AD-45ca-A828-FB62600C8DC4-M118.jpg)
(7)为数学模型中的反函数建立定义域约束:
2025年9期/10.11817j.issn.1672-7207.2025.09.011/alternativeImage/AEA50C89-22AD-45ca-A828-FB62600C8DC4-M119.jpg)
2025年9期/10.11817j.issn.1672-7207.2025.09.011/alternativeImage/AEA50C89-22AD-45ca-A828-FB62600C8DC4-M120.jpg)
2025年9期/10.11817j.issn.1672-7207.2025.09.011/alternativeImage/AEA50C89-22AD-45ca-A828-FB62600C8DC4-M121.jpg)
7) 已知初始机构行程比和增力比的理论值分别为1.37和14.97,由式(7)计算得机构总长的理论值为249.66 mm。为了使优化后机构的性能指标都提升,建立约束:
2025年9期/10.11817j.issn.1672-7207.2025.09.011/alternativeImage/AEA50C89-22AD-45ca-A828-FB62600C8DC4-M122.jpg)
2025年9期/10.11817j.issn.1672-7207.2025.09.011/alternativeImage/AEA50C89-22AD-45ca-A828-FB62600C8DC4-M123.jpg)
2025年9期/10.11817j.issn.1672-7207.2025.09.011/alternativeImage/AEA50C89-22AD-45ca-A828-FB62600C8DC4-M124.jpg)
3.5 优化计算
在优化开始前,需要对算法进行初始化设置。为了防止种群个体近亲交配且使解集收敛,需保证适当大的种群个体和迭代次数,因此,设置种群个体数为500、迭代次数为100;为了保证种群个体的多样性并有效保留优异个体,设置交叉概率为0.8、变异概率为0.1[22]。
由于初始种群的生成是随机的,根据设计经验对初始种群在生成时的变量区间进行控制是必要的,能够保证初始种群个体的有效性,即保证肘杆机构参数的合理性,以免初始种群分布远离全局最优解的编码空间,可大大减少算法工作量。本文建立设计变量边界条件如下:2025年9期/10.11817j.issn.1672-7207.2025.09.011/alternativeImage/AEA50C89-22AD-45ca-A828-FB62600C8DC4-M125.jpg)
2025年9期/10.11817j.issn.1672-7207.2025.09.011/alternativeImage/AEA50C89-22AD-45ca-A828-FB62600C8DC4-M126.jpg)
2025年9期/10.11817j.issn.1672-7207.2025.09.011/alternativeImage/AEA50C89-22AD-45ca-A828-FB62600C8DC4-M127.jpg)
2025年9期/10.11817j.issn.1672-7207.2025.09.011/alternativeImage/AEA50C89-22AD-45ca-A828-FB62600C8DC4-M128.jpg)
2025年9期/10.11817j.issn.1672-7207.2025.09.011/alternativeImage/AEA50C89-22AD-45ca-A828-FB62600C8DC4-M129.jpg)
2025年9期/10.11817j.issn.1672-7207.2025.09.011/alternativeImage/AEA50C89-22AD-45ca-A828-FB62600C8DC4-M130.jpg)
2025年9期/10.11817j.issn.1672-7207.2025.09.011/alternativeImage/AEA50C89-22AD-45ca-A828-FB62600C8DC4-M131.jpg)
2025年9期/10.11817j.issn.1672-7207.2025.09.011/alternativeImage/AEA50C89-22AD-45ca-A828-FB62600C8DC4-M126.jpg)
2025年9期/10.11817j.issn.1672-7207.2025.09.011/alternativeImage/AEA50C89-22AD-45ca-A828-FB62600C8DC4-M133.jpg)
2025年9期/10.11817j.issn.1672-7207.2025.09.011/alternativeImage/AEA50C89-22AD-45ca-A828-FB62600C8DC4-M134.jpg)
2025年9期/10.11817j.issn.1672-7207.2025.09.011/alternativeImage/AEA50C89-22AD-45ca-A828-FB62600C8DC4-M135.jpg)
2025年9期/10.11817j.issn.1672-7207.2025.09.011/alternativeImage/AEA50C89-22AD-45ca-A828-FB62600C8DC4-M134.jpg)
2025年9期/10.11817j.issn.1672-7207.2025.09.011/alternativeImage/AEA50C89-22AD-45ca-A828-FB62600C8DC4-M137.jpg)
2025年9期/10.11817j.issn.1672-7207.2025.09.011/alternativeImage/AEA50C89-22AD-45ca-A828-FB62600C8DC4-M134.jpg)
通过迭代计算,得到肘杆机构参数优化后含有500组数据的Pareto前沿面如图8所示,每组数据均包含7个变量及3个目标。由于Pareto前沿面的解无法比较优劣,一般根据工程人员的偏好以及实际工程经验进行选择。由图8(b)可知:2025年9期/10.11817j.issn.1672-7207.2025.09.011/alternativeImage/AEA50C89-22AD-45ca-A828-FB62600C8DC4-M042.jpg)
2025年9期/10.11817j.issn.1672-7207.2025.09.011/alternativeImage/AEA50C89-22AD-45ca-A828-FB62600C8DC4-M040.jpg)
2025年9期/10.11817j.issn.1672-7207.2025.09.011/alternativeImage/AEA50C89-22AD-45ca-A828-FB62600C8DC4-M141.jpg)
2025年9期/10.11817j.issn.1672-7207.2025.09.011/alternativeImage/AEA50C89-22AD-45ca-A828-FB62600C8DC4-M142.jpg)
2025年9期/10.11817j.issn.1672-7207.2025.09.011/alternativeImage/AEA50C89-22AD-45ca-A828-FB62600C8DC4-M143.jpg)
2025年9期/10.11817j.issn.1672-7207.2025.09.011/alternativeImage/AEA50C89-22AD-45ca-A828-FB62600C8DC4-M142.jpg)
2025年9期/10.11817j.issn.1672-7207.2025.09.011/alternativeImage/AEA50C89-22AD-45ca-A828-FB62600C8DC4-M145.jpg)
2025年9期/10.11817j.issn.1672-7207.2025.09.011/alternativeImage/AEA50C89-22AD-45ca-A828-FB62600C8DC4-M146.jpg)
2025年9期/10.11817j.issn.1672-7207.2025.09.011/alternativeImage/AEA50C89-22AD-45ca-A828-FB62600C8DC4-M147.jpg)
2025年9期/10.11817j.issn.1672-7207.2025.09.011/alternativeImage/AEA50C89-22AD-45ca-A828-FB62600C8DC4-M148.jpg)
2025年9期/10.11817j.issn.1672-7207.2025.09.011/alternativeImage/AEA50C89-22AD-45ca-A828-FB62600C8DC4-M006.jpg)
2025年9期/10.11817j.issn.1672-7207.2025.09.011/alternativeImage/AEA50C89-22AD-45ca-A828-FB62600C8DC4-M150.jpg)
2025年9期/10.11817j.issn.1672-7207.2025.09.011/alternativeImage/AEA50C89-22AD-45ca-A828-FB62600C8DC4-M151.jpg)
2025年9期/10.11817j.issn.1672-7207.2025.09.011/alternativeImage/AEA50C89-22AD-45ca-A828-FB62600C8DC4-M030.jpg)
2025年9期/10.11817j.issn.1672-7207.2025.09.011/alternativeImage/AEA50C89-22AD-45ca-A828-FB62600C8DC4-M040.jpg)
2025年9期/10.11817j.issn.1672-7207.2025.09.011/alternativeImage/AEA50C89-22AD-45ca-A828-FB62600C8DC4-M042.jpg)
2025年9期/10.11817j.issn.1672-7207.2025.09.011/alternativeImage/AEA50C89-22AD-45ca-A828-FB62600C8DC4-F008.jpg)
3.6 优化结果对比
采用NSGA-II算法优化前后的肘杆机构参数对比如表4所示,优化前后的机构性能参数对比如表5所示。
| 肘杆机构参数 | 优化前 | 优化后 |
|---|---|---|
![]() | 115 | 107 |
![]() | 135 | 124 |
![]() | 40 | 57 |
![]() | 69 | 47 |
![]() | 14 | 13 |
![]() | 97 | 108 |
![]() | 60 | 70 |
| 性能参数 | 优化前 | 优化后 | 增益/% |
|---|---|---|---|
机构总长![]() | 249.66 | 230.63 | 7.6 |
行程比![]() | 1.37 | 1.57 | 14.6 |
增力比![]() | 14.97 | 15.48 | 3.4 |
经过优化,立式双曲肘四板式合模机构的机构总长L降低7.6%,行程比R提高14.6%,增力比M提高3.4%,机构整体性能得到显著提高。
4 机构研制与实验验证
对机构进行仿真分析可以验证数学模型的准确性,而仿真模型的准确性则需通过实验进行验证。研制优化后的机构平台,通过实验验证仿真模型的准确性及机构慢—快—慢的移模特性。
4.1 机构研制
将经过多目标优化后的合模机构模型进行加工制造,并进行零部件装配,得到装配好的总体装置如图9所示,包括测量动模板位移的拉杆式位移传感器和用以输出传感器位移数据的上位机系统。
2025年9期/10.11817j.issn.1672-7207.2025.09.011/alternativeImage/AEA50C89-22AD-45ca-A828-FB62600C8DC4-F009.jpg)
4.2 实验方案
首先,控制合模伺服电机输出轴匀转速转动,使用拉杆式位移传感器监测动模板位移。其次,更新优化后机构的虚拟样机模型,设置电机轴转速驱动为同样转速的匀转速转动,进行运动学仿真分析,得到动模板的仿真位移曲线。最后,将动模板的实测位移曲线与仿真位移曲线进行对比,验证虚拟样机模型的准确性,并观察实测位移曲线是否具有慢—快—慢的特点。
4.3 实验过程及结果分析
控制电机输出轴以600 r/min匀速转动,驱动机构进行开合模运动。利用位移传感器实时监测动模版的高度,数据以20 ms为周期进行采集,并绘制成曲线。同时,通过运动学仿真分析优化后的机构在600 r/min匀转速输入下的动模板运动,输出动模板的仿真位移曲线。实测位移曲线与仿真位移曲线的对比如图10所示。
2025年9期/10.11817j.issn.1672-7207.2025.09.011/alternativeImage/AEA50C89-22AD-45ca-A828-FB62600C8DC4-F010.jpg)
由图10可知:实测动模板行程约为180 mm,在电机匀速驱动下,动模板具有缓慢加减速的运动过程,说明机构具有慢—快—慢的移模特性。实测位移曲线与仿真位移曲线基本一致,可认为所建立的仿真模型是准确的。
5 结论
1) 提出了适用于超声塑化微注塑机的立式双曲肘四板式合模机构构型,并建立了数学模型,阐述了新机构的工作原理。其中,数学模型中的机构总长、增力比和行程比可以表征机构的重要性能指标,因此,模型可用于指导已有机构的优化设计。
2) 设计了立式双曲肘四板式合模机构的初始三维模型,通过动力学仿真的方法得到了行程比和增力比的仿真值,两者的仿真值与理论计算值相对误差很小,分别为1.46%和0.33%,说明其数学模型是准确的。
3) 建立了肘杆机构的优化模型,以机构总长最短、行程比最大和增力比最大为优化目标,使用NSGA-II对肘杆机构参数进行多目标优化。经过优化,机构总长降低了7.6%,行程比提高了14.6%,增力比提高了3.4%,为立式双曲肘四板式合模机构的优化设计提供了可借鉴的方法。
4) 动模板的实测位移曲线与仿真位移曲线基本一致,验证了仿真模型的准确性。同时,通过动模板的位移曲线变化验证了机构具有慢—快—慢的移模特性。
苏伯恒, 单志颖, 吴旺青. 超声塑化微注塑机立式双曲肘四板式合模机构的数学建模与优化设计[J]. 中南大学学报(自然科学版), 2025, 56(9): 3692-3702.
SU Boheng, SHAN Zhiying, WU Wangqing. Mathematical modeling and optimization design for vertical double-toggle four-plate clamping mechanism of ultrasonic plasticization micro-injection molding machine[J]. Journal of Central South University(Science and Technology), 2025, 56(9): 3692-3702.
http://dx.doi.org/10.11817/j.issn.1672-7207.2025.09.011


2025年9期/10.11817j.issn.1672-7207.2025.09.011/alternativeImage/AEA50C89-22AD-45ca-A828-FB62600C8DC4-M061.jpg)
2025年9期/10.11817j.issn.1672-7207.2025.09.011/alternativeImage/AEA50C89-22AD-45ca-A828-FB62600C8DC4-M062.jpg)
2025年9期/10.11817j.issn.1672-7207.2025.09.011/alternativeImage/AEA50C89-22AD-45ca-A828-FB62600C8DC4-M063.jpg)
2025年9期/10.11817j.issn.1672-7207.2025.09.011/alternativeImage/AEA50C89-22AD-45ca-A828-FB62600C8DC4-M064.jpg)
2025年9期/10.11817j.issn.1672-7207.2025.09.011/alternativeImage/AEA50C89-22AD-45ca-A828-FB62600C8DC4-M065.jpg)
2025年9期/10.11817j.issn.1672-7207.2025.09.011/alternativeImage/AEA50C89-22AD-45ca-A828-FB62600C8DC4-M066.jpg)
2025年9期/10.11817j.issn.1672-7207.2025.09.011/alternativeImage/AEA50C89-22AD-45ca-A828-FB62600C8DC4-M067.jpg)
2025年9期/10.11817j.issn.1672-7207.2025.09.011/alternativeImage/AEA50C89-22AD-45ca-A828-FB62600C8DC4-M068.jpg)
2025年9期/10.11817j.issn.1672-7207.2025.09.011/alternativeImage/AEA50C89-22AD-45ca-A828-FB62600C8DC4-M069.jpg)
2025年9期/10.11817j.issn.1672-7207.2025.09.011/alternativeImage/AEA50C89-22AD-45ca-A828-FB62600C8DC4-M070.jpg)
2025年9期/10.11817j.issn.1672-7207.2025.09.011/alternativeImage/AEA50C89-22AD-45ca-A828-FB62600C8DC4-M085.jpg)
2025年9期/10.11817j.issn.1672-7207.2025.09.011/alternativeImage/AEA50C89-22AD-45ca-A828-FB62600C8DC4-M086.jpg)
2025年9期/10.11817j.issn.1672-7207.2025.09.011/alternativeImage/AEA50C89-22AD-45ca-A828-FB62600C8DC4-M087.jpg)
2025年9期/10.11817j.issn.1672-7207.2025.09.011/alternativeImage/AEA50C89-22AD-45ca-A828-FB62600C8DC4-M161.jpg)
2025年9期/10.11817j.issn.1672-7207.2025.09.011/alternativeImage/AEA50C89-22AD-45ca-A828-FB62600C8DC4-M163.jpg)
2025年9期/10.11817j.issn.1672-7207.2025.09.011/alternativeImage/AEA50C89-22AD-45ca-A828-FB62600C8DC4-M164.jpg)
2025年9期/10.11817j.issn.1672-7207.2025.09.011/alternativeImage/AEA50C89-22AD-45ca-A828-FB62600C8DC4-M166.jpg)
2025年9期/10.11817j.issn.1672-7207.2025.09.011/alternativeImage/AEA50C89-22AD-45ca-A828-FB62600C8DC4-M158.jpg)