全球油页岩资源储量巨大,伴随能源需求的持续增长与油页岩开发利用技术的不断升级,油页岩已成为极具战略意义的接替能源[1-3],经济价值显著。实现油页岩的高效开发利用可以缓解我国油气资源匮乏的局面,对能源战略目标的达成具有重要意义。煤系油页岩作为我国油页岩资源的重要组成部分,具有资源丰富但含油率较低的特点,在其加工利用过程中存在干馏效率低、生产成本高、能量消耗大等劣势。采用分选技术可实现煤系油页岩中有机组分与无机矿物组分的高效分离。富集的有机组分能够显著提升干馏系统的整体处理效率,预抛除的无机矿物组分则可直接用作煤矿井下回填原料,从而有利于构建集资源集约化利用与固废减量化处理于一体的技术体系。
基于颗粒间密度[4-6]、疏水性[7-8]和化学组分[9-11]等物理化学性质差异实现煤系油页岩中有用组分与无机矿物组分的分离是目前研究较多的方法。李勇等[12]采用捕收剂油酸和煤油对油页岩进行了浮选提质研究,结果表明,当油页岩粒度为[0.074,0.125] mm时,浮选效果较好。夏云凯等[13]对[13,65] mm油页岩进行空气重介分选,有效抛除了无机组分杂质,提高了精矿含油率。张博等[14]基于气固流态化分选技术对[6,50] mm的油页岩开展了高密度分选调控研究,床层密度调控范围拓展至2.24~2.82 g/cm3,分选后油页岩含油率较原矿提高了4.68%。采用重选技术对油页岩分选提质具有处理量大、对环境友好等特点。现有的重选技术主要针对粗粒油页岩进行分选,对于生产加工中所产生的细粒油页岩的分选研究则相对较少。然而,随着矿物粒度的降低,矿物沉降速度显著减缓,且颗粒的分层行为极易受到流体运动干扰,导致在常规重力场中,微细粒矿物的高效分选难以实现。超重力分选技术作为重选的一种,通过高速旋转形成的超重力离心场可以加大细粒矿物的沉降速度,拓宽有效分选粒度下限至0.01 mm,相对传统的重选技术(摇床、螺旋溜槽)具有分选效率高、占地面积小等优点。此外,超重力分选技术相较于浮选技术,无需化学药剂,可以有效减少环境污染风险。
目前,已有许多学者对超重力分选技术进行了研究。陶有俊等[15]采用数值模拟与试验验证相结合的方法,研究了Falcon分选机内的流场分布及颗粒堆积规律,研究结果表明:位于分选区和分层区交界处存在的动态水力堰效应具有强化颗粒分选的作用。FATAHI等[16]通过使用混合欧拉-拉格朗日模型、稠密离散相模型(DDPM)以及离散元法(DEM)碰撞模型对Knelson分选机中复杂多相流进行了模拟研究,结果表明颗粒间的分离发生在分选桶被颗粒填满之后,并通过分离试验对模拟的可靠性进行了验证。刘鑫等[17]采用CFD-DEM耦合法对立式离心选矿机分选过程进行了模拟,分析了不同工艺参数对分选效果的影响,确定了最佳的钨精矿分离条件。肖蒙卓等[18]通过在超重力离心场中引入周期性振动设计了旋振分选机,并通过模拟手段分析了铜矿在复合力场中的运动规律,证实了振动的引入强化了铜矿颗粒在超重力离心场中的分离效果。ZHANG等[19]采用Falcon分选机对粉煤灰进行脱碳分选,得到了合格的二级和三级灰分产品,证明了超重力分选技术的工业应用潜力。目前的研究多集中于超重力离心场中的流场特性和部分金属矿的分选机理,对于超重力离心场中多密度组分粒群的沉降特性以及煤系油页岩的分选研究相对较少。
本文分析了煤系油页岩的元素含量及矿物组成,并基于颗粒群沉降理论,分析了不同密度组分在超重力离心场中的沉降规律。以双组分模拟物料为研究对象,探究了粒度组成、离心转速和固相质量分数对超重力离心场中粒群分层效果与错配行为的影响规律。在此基础上,对细粒级煤系油页岩进行了超重力分选试验,实现了煤系油页岩中有机组分的预富集,可为煤系油页岩的分选加工和综合利用提供技术参考。
1 材料和方法
1.1 试验原料
1.1.1 样品组成分析
试验采用的煤系油页岩样品取自甘肃省。分别采用颚式破碎机及对辊式破碎机对样品进行粗碎及细碎。采用标准筛对破碎后样品进行筛分分级,得到(0.250,0.500]、(0.125,0.250]、[0.074,0.125]和[0.074,0.500] mm共4个粒度级的煤系油页岩用于超重力分选试验,如图1所示。通过灰分分析可知,(0.250,0.500]、(0.125,0.250]、[0.074,0.125]和[0.074,0.500] mm粒度级样品的灰分分别为61.05%、62.22%、65.38%和62.28%。
2025年9期/10.11817j.issn.1672-7207.2025.09.002/alternativeImage/2E539BF8-BE31-4f41-B856-870809866E8E-F001.jpg)
分别采用X射线荧光光谱仪(XRF)和X射线衍射仪(XRD)分析煤系油页岩样品的化学组成和物相组成,结果如表1和图2所示。从图2可见:煤系油页岩中的主要矿物为石英和高岭石。从表1可见:煤系油页岩的主要无机组分为SiO2、Al2O3和Fe2O3。
| 成分 | SiO2 | Al2O3 | Fe2O3 | SO3 | TiO2 | CaO | K2O |
|---|---|---|---|---|---|---|---|
| 质量分数/% | 49.87 | 28.44 | 8.01 | 7.55 | 1.71 | 1.66 | 0.80 |
| 成分 | MgO | BaO | Na2O | MnO | P2O5 | Cl | 其他 |
| 质量分数/% | 0.68 | 0.39 | 0.28 | 0.17 | 0.16 | 0.11 | 0.17 |
2025年9期/10.11817j.issn.1672-7207.2025.09.002/alternativeImage/2E539BF8-BE31-4f41-B856-870809866E8E-F002.jpg)
1.1.2 密度组成分析
通过小浮沉试验对煤系油页岩样品的密度组成进行分析,结果如图3所示。从图3可见:不同粒度级煤系油页岩的密度分布特征相似;随着密度级的升高,各粒度级煤系油页岩的灰分均不断增加;当密度小于1.7 g/cm3时,各粒度级样品灰分均低于32%;当密度大于2.0 g/cm3时,各粒度级样品灰分则达到70%左右。该结果表明,无机杂质组分主要富集于高密度(大于2.0 g/cm3)组分中;各密度级煤系油页岩的产率总体呈现先降低后增加的趋势,该密度组成有利于超重力离心场中煤系油页岩的分选。
2025年9期/10.11817j.issn.1672-7207.2025.09.002/alternativeImage/2E539BF8-BE31-4f41-B856-870809866E8E-F003.jpg)
1.2 试验方法
1.2.1 超重力离心场中颗粒的沉降特性研究
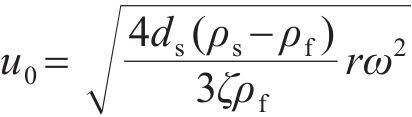
当在超重力离心场中对煤系油页岩进行分选时,颗粒沉降方向主要受到离心力及阻力等作用,根据牛顿第二定律,建立颗粒的运动微分方程,可以得到沉降末速(u0)的计算公式[20]为
2025年9期/10.11817j.issn.1672-7207.2025.09.002/alternativeImage/2E539BF8-BE31-4f41-B856-870809866E8E-M001.jpg)
式中:ds为颗粒粒径,m;ρs为颗粒密度,kg/m3;ρf为流体介质密度,kg/m3;2025年9期/10.11817j.issn.1672-7207.2025.09.002/alternativeImage/2E539BF8-BE31-4f41-B856-870809866E8E-M002.jpg)
在实际分选过程中,受限于分选空间的有限性,颗粒间的相互干扰难以完全规避,进而对颗粒的沉降速度产生影响,这类沉降现象称为干扰沉降,贺长营等[21]在研究中采用具有代表性的干扰沉降末速模型为
2025年9期/10.11817j.issn.1672-7207.2025.09.002/alternativeImage/2E539BF8-BE31-4f41-B856-870809866E8E-M003.jpg)
式中:ug为干扰沉降末速,m/s;λ为固相容积分数,%;n为与颗粒性质有关的试验指数。
2025年9期/10.11817j.issn.1672-7207.2025.09.002/alternativeImage/2E539BF8-BE31-4f41-B856-870809866E8E-M004.jpg)
2025年9期/10.11817j.issn.1672-7207.2025.09.002/alternativeImage/2E539BF8-BE31-4f41-B856-870809866E8E-M005.jpg)
式中:μ为流体介质的动力黏性系数,Pa·s。
1.2.2 超重力离心场中粒群离析分层试验
由物相组成分析可知,煤系油页岩中的主要无机组分为石英和高岭石,两者密度相近,分别约为2.65 g/cm3和2.60 g/cm3。有机组分主要为油母质,密度为1.0~1.5 g/cm3,与精煤的密度相近。为了方便开展试验,在研究离心转速和固相质量分数对矿物粒群在超重力离心场中分层的影响时,试验选用石英和净煤(密度为1.3~1.4 g/cm3)分别代替油页岩中的无机组分和有机组分,并采用实验室规模离心机模拟物料分层的超重力环境。具体的离析分层试验过程为:将特定粒度级的模拟物料制备成所需固相质量分数的矿浆,经充分搅拌后放入离心转筒内进行离析分层。离心结束后,采用如图4所示的装置对离心管进行压滤。
2025年9期/10.11817j.issn.1672-7207.2025.09.002/alternativeImage/2E539BF8-BE31-4f41-B856-870809866E8E-F004.jpg)
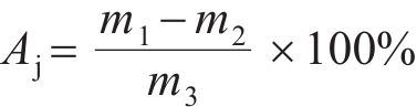
压滤完成后,将下层沉积物进行切割,等高地分为上层、中层及下层3种产物。将悬浊液进行抽滤,得到的滤渣归为上层产物,进一步对所有产物进行烘干、称质量及化验。以灰分离析度(S)作为指标进行效果评价,计算公式[23]为
2025年9期/10.11817j.issn.1672-7207.2025.09.002/alternativeImage/2E539BF8-BE31-4f41-B856-870809866E8E-M006.jpg)
式中:N为取样数,在本试验中,N取3;Ai为第i层产物灰分,%;Ay为原样灰分,%。
1.2.3 超重力分选试验
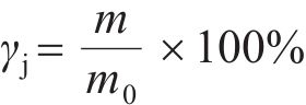
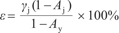
本试验采用的超重力分选系统主要由给料机、变频器、分选转筒、水压表等组成,其结构如图5所示。分选时,通过调节变频器控制电机的转速(试验所需电机转速分别为695、834、973、1 112和1 251 r/min),并由电机带动分选转筒旋转,待分选转筒工作稳定后,打开阀门调节至所需的反冲水压(试验所需反冲水压分别为0.01、0.02、0.03、0.04和0.05 MPa);将配置好的固相质量分数为10%的矿浆通过给料机均匀给入分选转筒,在流体阻力及离心力等作用下,低密度组分颗粒被旋转水流带出分选转筒并形成溢流排出,高密度组分颗粒被分选转筒收集形成底流。分选结束后,分别对精矿和尾矿产品进行过滤、烘干、称质量及化验。为表征煤系油页岩的分选效果,采用精矿产率(γj)、精矿灰分(Aj)、可燃体回收率(ε)、脱灰效率(η)作为评价指标,计算方法[19, 24]分别为
2025年9期/10.11817j.issn.1672-7207.2025.09.002/alternativeImage/2E539BF8-BE31-4f41-B856-870809866E8E-M007.jpg)
2025年9期/10.11817j.issn.1672-7207.2025.09.002/alternativeImage/2E539BF8-BE31-4f41-B856-870809866E8E-M008.jpg)
2025年9期/10.11817j.issn.1672-7207.2025.09.002/alternativeImage/2E539BF8-BE31-4f41-B856-870809866E8E-M009.jpg)
2025年9期/10.11817j.issn.1672-7207.2025.09.002/alternativeImage/2E539BF8-BE31-4f41-B856-870809866E8E-M010.jpg)
式中:m为精矿产品的质量,g;m0为入料的质量,g;m1为灼烧后残渣和坩埚的质量,g;m2为室温下空坩埚质量,g;m3为称取的一般分析试验样品的质量,g。
2025年9期/10.11817j.issn.1672-7207.2025.09.002/alternativeImage/2E539BF8-BE31-4f41-B856-870809866E8E-F005.jpg)
矿物颗粒在超重力分选系统中受到的离心作用通常采用相对重力系数(G)表示,即所受离心力相对重力加速度的倍数,计算公式[25]为
2025年9期/10.11817j.issn.1672-7207.2025.09.002/alternativeImage/2E539BF8-BE31-4f41-B856-870809866E8E-M011.jpg)
式中:n*为旋转速度,r/min;g为重力加速度,m/s2。
分选过程中通常通过调节电机转速以改变矿物颗粒在分选转筒中受到的相对重力系数,当采用最大半径作为计算依据时,相对重力系数可在(0~71.67)G的范围内进行调节。电机转速及其对应的相对重力系数如表2所示。
| 电机转速/(r·min-1) | 相对重力系数 |
|---|---|
| 695 | 18 |
| 834 | 26 |
| 973 | 35 |
| 1 112 | 46 |
| 1 251 | 58 |
2 结果与讨论
2.1 不同密度组分颗粒在超重力离心场中的沉降特性研究
采用粒度为0.375 0、0.187 5、0.095 0 mm的石英和净煤颗粒作为研究对象,通过式(2)计算两者在不同固相容积分数和离心转速下干扰沉降末速差值,结果如图6所示。从图6可见:当固相容积分数一定时,不同粒度的干扰沉降末速差值均随离心转速的增加而增加;当离心转速为700 r/min、固相容积分数为20%时,粒度为0.375 0 mm、0.187 5 mm和0.095 0 mm的石英和净煤颗粒的最大沉降末速差值分别为0.262 5、0.127 6和0.061 8 m/s;当离心转速一定时,干扰沉降末速差值则随固相容积分数的增加而逐渐降低;当固相容积分数≥60%时,矿浆中颗粒间作用力对沉降行为的影响显著增强,离心转速对不同密度组分颗粒沉降末速差值的影响则随之减弱,粒度为0.375 0、0.187 5及0.095 0 mm的石英和净煤颗粒干扰沉降末速差值分别低于0.04、0.02和0.01 m/s。
2025年9期/10.11817j.issn.1672-7207.2025.09.002/alternativeImage/2E539BF8-BE31-4f41-B856-870809866E8E-F006.jpg)
2.2 窄粒度级粒群离析分层试验
2.2.1 离心转速对窄粒度级粒群离析分层的影响
在固相质量分数为40%的条件下,研究离心转速对不同粒度级模拟物料分层的影响,结果如图7所示。从图7可见:随着离心转速的增加,不同粒度级样品中代表精矿的上层产物灰分均呈现先降低后升高的趋势;(0.250,0.500]、(0.125,0.250]、[0.074,0.125] mm粒度级上层产物的最低灰分分别为11.56%(400 r/min时)、13.52%(500 r/min时)和14.45%(600 r/min时);这3个粒度级下层产物的灰分则随着离心转速的增加呈现先增加后降低的趋势,当离心转速为600 r/min时,(0.250,0.500]、(0.125,0.250]及[0.074,0.125] mm粒度级下层产物的灰分均达到最大值,分别为87.00%、87.04%和86.81%。从图6(d)可见:3个粒级样品的灰分离析度随离心转速的增加均呈现先增加后降低的趋势。这是因为离心转速的增加可以增加不同密度颗粒间的沉降末速差值,随着离心转速增加,模拟物料的灰分离析度也随着增加。然而,在较高的离心转速条件下,模拟物料的灰分离析度略有降低,这是因为在有限的沉降空间中过高速度的颗粒无法充分分层。相较于常规重力场,当固相质量分数为40%时,在最佳的离心转速条件下,超重力离心场中(0.250,0.500]、(0.125,0.250]和[0.074,0.125] mm粒度级模拟物料的灰分离析度分别增加了0.15、0.15和0.13。
2025年9期/10.11817j.issn.1672-7207.2025.09.002/alternativeImage/2E539BF8-BE31-4f41-B856-870809866E8E-F007.jpg)
2.2.2 固相质量分数对窄粒度级粒群离析分层的影响
在最佳的离心转速条件下,研究固相质量分数对3个粒度级模拟物料在超重力离心场中分层的影响,结果如图8所示。由图8(a)~(c)可见:随着固相质量分数增加,上层产物的灰分逐渐升高,下层产物的灰分逐渐降低;当固相质量分数大于40%时,这一变化更加显著;随着固相质量分数进一步增加至60%时,各层产物的灰分大小逐渐接近,(0.250,0.500]、(0.125,0.250]及[0.074,0.125] mm粒度级样品的灰分离析度分别为0.014、0.018和0.021,表明此时的分层效果较差。这是因为在固相质量分数较低时,矿浆中颗粒数量较少,颗粒间作用力对沉降行为的影响不显著;随着固相质量分数的增加,颗粒在沉降中所受到的介质阻力和机械阻力随之变大,从而使得分层效果变差。
2025年9期/10.11817j.issn.1672-7207.2025.09.002/alternativeImage/2E539BF8-BE31-4f41-B856-870809866E8E-F008.jpg)
2.3 混合粒度级粒群离析分层试验
2.3.1 离心转速对混合粒度级粒群离析分层的影响
固定离心时间为25 s,固相质量分数为40%,研究离心转速对不同粒度级组成的混合颗粒在超重力离心场中离析分层的影响规律,试验结果如图9所示。从图9可见:随着离心转速增加,上层产物灰分呈现先降低后增加的趋势;下层产物灰分则呈现先增加后降低的趋势,当离心速度达到400 r/min时,(0.250,0.500]、(0.125,0.250]和[0.074,0.125] mm粒度级组成质量占比为1꞉1꞉1、 2꞉1꞉1、1꞉2꞉1及1꞉1꞉2的混合颗粒上层产物的灰分达到最小值,分别为17.34%、15.40%、17.11%和17.78%,并在该条件下达到了最佳的离析分层效果,相应的灰分离析度分别为0.390、0.396、0.376和0.361。
2025年9期/10.11817j.issn.1672-7207.2025.09.002/alternativeImage/2E539BF8-BE31-4f41-B856-870809866E8E-F009.jpg)
进一步研究离心转速对混合粒度级物料在超重力离心场中错配行为的影响,试验结果如图10所示。从图10(a)可见:在常规重力场(离心转速为0 r/min)中各混合粒度级样品的上层产物中错配物质量分数均在20%以上,且错配物中以[0.074,0.125] mm粒度级颗粒为主,在各比例的条件下均占错配物总质量的50%以上;从图10(b)可见:在超重力离心场(离心转速为400 r/min)中,各混合粒度级样品的错配物质量分数下降至15%左右,这表明在宽粒度级物料沉降分层的过程中,超重力离心场的引入有利于减少颗粒在沉降分层过程中的错配现象。各混合粒度级物料间的错配物质量分数差异较小,表明混合颗粒自身的粒度组成对颗粒的错配行为的影响明显低于离心转速对颗粒的错配行为的影响。
2025年9期/10.11817j.issn.1672-7207.2025.09.002/alternativeImage/2E539BF8-BE31-4f41-B856-870809866E8E-F010.jpg)
2.3.2 固相质量分数对混合粒度级粒群离析分层的影响
固定离心时间为25 s,离心转速为400 r/min,研究固相质量分数对不同粒度级组成的混合颗粒在超重力离心场中分层的影响规律,固相质量分数分别设置为20%、30%、40%、50%和60%,试验结果如图11所示。从图11可见:随着固相质量分数从20%增加至40%,4种混合粒度级颗粒的各层产物灰分变化并不明显,然而,随着固相质量分数进一步增加至50%,上层产物的灰分显著增加;当固相质量分数为60%时,4种混合粒度级物料各层产物间的灰分差异显著降低,(0.250,0.500]、(0.125,0.250]和[0.074,0.125] mm粒度级组成质量占比为1꞉1꞉1、2꞉1꞉1、1꞉2꞉1及1꞉1꞉2的混合颗粒灰分离析度均达到最小值,分别为0.049、0.084、0.031和0.029。这与窄粒级物料离析分层试验中固相质量分数对物料分层效果的影响一致;当固相质量分数达到60%时,颗粒间的阻力将显著影响颗粒间按密度差异进行分层的效果。
2025年9期/10.11817j.issn.1672-7207.2025.09.002/alternativeImage/2E539BF8-BE31-4f41-B856-870809866E8E-F011.jpg)
以固相质量分数为20%和60%时混合粒度级物料的分层结果为研究对象,分析固相质量分数对宽粒度级物料错配行为的影响,试验结果如 图12所示。从图12(a)可见:当固相质量分数为20%时,各混合粒度级样品的错配物质量分数 均在15%以下,且错配物中以粒度为[0.074,0.125] mm的石英为主,占总错配物的质量分数大于70%,而粒度为(0.250,0.500] mm的石英所占质量分数则小于10%。从图12(b)可见:当固相质量分数为60%时,各混合粒度级样品的错配物质量分数均高于40%,错配物中仍以[0.074,0.125] mm粒度级颗粒为主。这说明在宽粒度级颗粒沉降分层过程中,矿浆固相质量分数严重影响不同组分按密度分层的效果,且矿浆固相质量分数对错配行为的影响比粒度级组成对错配行为的影响更大。
2025年9期/10.11817j.issn.1672-7207.2025.09.002/alternativeImage/2E539BF8-BE31-4f41-B856-870809866E8E-F012.jpg)
2.4 煤系油页岩的超重力分选研究
为获得煤系油页岩在超重力离心场中的最佳分选效果,在固相质量分数为10%、给料速度为 1 200 mL/min的条件下,研究电机转速和反冲水压等关键操作因素对不同粒度级煤系油页岩超重力分选预富集的影响规律。
2.4.1 粒度为(0.250,0.500] mm的煤系油页岩分选结果
(0.250,0.500] mm煤系油页岩在不同电机转速和反冲水压条件下的超重力分选结果如图13所示。从图13可见:精矿产率、精矿灰分及可燃体回收率均随电机转速的升高而下降。这是因为电机转速的增大会导致煤系油页岩颗粒所受离心力增加,更多颗粒在转筒内被捕获成为尾矿;当电机转速为695 r/min、反冲水压为0.05 MPa时,由于反冲水压过大,物料中的大部分颗粒被冲出成为溢流,精矿产率、精矿灰分和可燃体回收率均达到最大值,分别为65.05%、53.79%和71.17%;当电机转速处于[1 112,1 251] r/min的范围内时,随着反冲水压从0.01 MPa增加至0.04 MPa,煤系油页岩的精矿产率、精矿灰分及可燃体回收率受反冲水压的影响不显著。从图13(d)可见:随着电机转速提高,(0.250,0.500] mm煤系油页岩的脱灰效率呈现先增加后降低的趋势;当电机转速为834 r/min、反冲水压为0.04 MPa时,脱灰效率达到最大值37.85%,相应的精矿产率、精矿灰分和可燃体回收率分别为47.59%、47.43%和64.23%。
2025年9期/10.11817j.issn.1672-7207.2025.09.002/alternativeImage/2E539BF8-BE31-4f41-B856-870809866E8E-F013.jpg)
2.4.2 粒度为(0.125,0.250] mm的煤系油页岩分选结果
(0.125,0.250] mm煤系油页岩在不同电机转速和反冲水压条件下的分选结果如图14所示。从图14可见:精矿产率、精矿灰分及可燃体回收率均随着电机转速的增大而下降,随着反冲水压的增大而上升;当电机转速为695 r/min,反冲水压为0.05 MPa时,精矿产率、精矿灰分及可燃体回收率均取得最大值,分别为80.84%、58.77%和88.22%。脱灰效率随着电机转速的增大呈先增大后减小的趋势,当电机转速为834 r/min、反冲水压为0.02 MPa时,脱灰效率达到最大值26.25%。综合分选指标可知,当电机转速为973 r/min,反冲水压为0.04 MPa时,(0.125,0.250] mm煤系油页岩取得最佳分选效果,相应的精矿产率、精矿灰分、可燃体回收率和脱灰效率分别为73.03%、57.24%、82.65%和25.71%。区别于(0.250,0.500] mm煤系油页岩,当电机转速处于[1 112,1 251] r/min的范围时,反冲水压对(0.125,0.250] mm煤系油页岩分选的影响更加显著,这是因为随着粒度的降低,颗粒在超重力离心场中受到的离心力变小,更容易受到反冲水压作用的影响。
2025年9期/10.11817j.issn.1672-7207.2025.09.002/alternativeImage/2E539BF8-BE31-4f41-B856-870809866E8E-F014.jpg)
2.4.3 粒度为[0.074,0.125] mm的煤系油页岩分选结果
[0.074,0.125] mm煤系油页岩在不同电机转速和反冲水压条件下的分选结果如图15所示。从图15可见:当反冲水压在[0.04,0.05] MPa的范围内时,随着电机转速增加,精矿产率、精矿灰分和可燃体回收率的变化不显著。这是因为[0.074,0.125] mm煤系油页岩所受的离心力相对较小,过高的反冲水压导致大部分入料颗粒克服离心力作用成为溢流。区别于(0.250,0.500] mm和(0.125,0.250] mm煤系油页岩,[0.074,0.125] mm煤系油页岩的脱灰效率仅在反冲水压为0.01 MPa和0.02 MPa时随着电机转速的增加呈现先增大后减小的趋势;当反冲水压大于0.02 MPa时,[0.074,0.125] mm煤系油页岩的脱灰效率随着电机转速的增加一直呈增加的趋势。从图6可知,煤系油页岩中无机组分与有机组分间的沉降末速差值随着旋转速度的增大而增加,因而对于较小粒度的煤系油页岩需要更大的离心力以实现较好的脱灰效果。综合分选指标可知,当电机转速为1 112 r/min、反冲水压为0.02 MPa时,[0.074,0.125] mm煤系油页岩取得最佳分选效果,相应的精矿产率、精矿灰分、可燃体回收率和脱灰效率分别为63.91%、57.53%、78.40%和30.68%。
2025年9期/10.11817j.issn.1672-7207.2025.09.002/alternativeImage/2E539BF8-BE31-4f41-B856-870809866E8E-F015.jpg)
综合3个窄粒度级油页岩的超重力分选结果可以发现,精矿产率、精矿灰分以及可燃体回收率均随着反冲水压的增加而升高,随着电机转速的增加而下降,这是因为在沉降方向颗粒主要受到离心力及流体阻力等的作用。离心力随着电机转速的增加而增大,使颗粒更容易被富集槽所捕获从而成为底流;流体阻力则随着反冲水压的增加而增大,使颗粒更容易随上升的旋转流移动成为溢流。在相同的电机转速下,细粒级的煤系油页岩在超重力离心场中受到的离心力相对较小,反冲水压对其运动行为的影响更加显著,因而分选时具有更高的精矿产率、精矿灰分与可燃体回收率。
2.4.4 粒度为[0.074,0.500] mm的煤系油页岩分选结果
电机转速及反冲水压对[0.074,0.500] mm煤系油页岩超重力分选结果如图16所示。从图16可见:精矿产率、精矿灰分和可燃体回收率均随着电机 转速的增大而减小,随着反冲水压的增加而增大。从图16(d)可见:当反冲水压在[0.01,0.03] MPa的范围内时,[0.074,0.500] mm煤系油页岩的脱灰效率随着电机转速的增大变化并不显著;当电机转速为1 112 r/min、反冲水压为0.05 MPa时,取得最佳分选效果,相应的精矿产率、精矿灰分、可燃体回收率和脱灰效率分别为67.86%、58.24%、75.13%和22.08%。
2025年9期/10.11817j.issn.1672-7207.2025.09.002/alternativeImage/2E539BF8-BE31-4f41-B856-870809866E8E-F016.jpg)
进一步分析各粒度级煤系油页岩原矿及在最佳分选条件下所得精矿的含油率,结果如表3所示。从表3可见:经超重力分选后,(0.250,0.500]、(0.125,0.250]、[0.074,0.125]和[0.074,0.500] mm煤系油页岩精矿含油率分别为10.22%、9.24%、9.45%和9.13%,相较于原矿分别提升了2.69%、2.05%、2.63%和1.9%,证实超重力分选能够实现煤系油页岩的预富集。
| 粒度级/mm | 相对重力系数 | 电机转速/(r·min-1) | 反冲水压/MPa | 原矿含油率/% | 精矿含油率/% |
|---|---|---|---|---|---|
| (0.250,0.500] | 26 | 834 | 0.04 | 7.53 | 10.22 |
| (0.125,0.250] | 35 | 973 | 0.04 | 7.19 | 9.24 |
| [0.074,0.125] | 46 | 1 112 | 0.02 | 6.82 | 9.45 |
| [0.074,0.500] | 46 | 1 112 | 0.05 | 7.23 | 9.13 |
3 应用前景
本研究作为一项基础研究,旨在将超重力分选技术用于细粒级煤系油页岩的预富集,基于超重力离心场提高细粒级煤系油页岩的脱灰效率,为细粒级煤系油页岩的高效提质提供新途径。通过超重力分选可以预抛除约30%的矸石杂质,显著提高了有效处理量,降低了干馏成本、运输成本以及干馏灰渣处理成本。经预富集抛除的矸石可以直接作为煤系油页岩所在煤矿的井下充填原料,从而有效节约井下充填原料成本。此外,相较于同样可以有效分选细粒煤系油页岩的浮选技术,超重力分选技术具有分选效率高、基建成本低、分选处理成本低及对环境友好的优点。未来将继续开展煤系油页岩超重力分选工艺流程的研究,并将超重力分选技术应用于煤系油页岩分选的工业实践,以便为煤系油页岩资源的综合利用提供指导。
4 结论
1) 煤系油页岩中主要的无机组分为石英和高岭石,其中SiO2的质量分数高达43.96%。超重力离心场强化了颗粒间按密度差异离析分层的效果,相较于常规重力场,(0.250,0.500]、(0.125,0.250]和[0.074,0.125] mm模拟物料的灰分离析度分别增加了0.15、0.15和0.13。
2) 随着模拟物料粒度的增大,达到最佳灰分离析度所需的离心转速越小。(0.250,0.500]、(0.125,0.250]和[0.074,0.125] mm粒度级组成质量占比为1꞉1꞉1、2꞉1꞉1、1꞉2꞉1、1꞉1꞉2的混合物料均在离心时间为25 s、离心转速为400 r/min、固相质量分数为20%时达到最佳的离析分层效果,其灰分离析度分别为0.401、0.418、0.387和0.378。混合粒度级中粗颗粒的质量占比越大,越有益于减少离析分层过程中颗粒之间的错配行为。
3) 经超重力分选后,(0.250,0.500]、(0.125,0.250]、[0.074,0.125]和[0.074,0.500] mm煤系油页岩的脱灰效率分别为37.85%、25.71%、23.69%和22.08%,含油率与原矿的含油率相比分别提升了2.69%、2.05%、2.63%和1.9%,实现了煤系油页岩的高效分选预富集。
朱凌涛, 付李想, 贺靖峰, 等. 超重力离心场强化粒群分层及煤系油页岩预富集试验研究[J]. 中南大学学报(自然科学版), 2025, 56(9): 3587-3602.
ZHU Lingtao, FU Lixiang, HE Jingfeng, et al. Experimental study on enhanced stratification of particle groups and pre-enrichment of coal-series oil shale by supergravity centrifugal field[J]. Journal of Central South University(Science and Technology), 2025, 56(9): 3587-3602.
http://dx.doi.org/10.11817/j.issn.1672-7207.2025.09.002

