我国土壤重金属污染问题严峻,其中镉污染尤为突出,居无机污染物之首,镉严重威胁人类健康和生态环境,迫切需要开发经济高效的土壤修复技术来改善土壤环境质量[1]。钝化法是一种应用较为广泛的镉污染农田修复技术,它通过外源添加改良剂改变土壤中镉存在形态,降低生物有效态镉含量,具有操作简便、效果较为显著等优点[2-3]。市面上应用较多的镉污染土壤改良剂有生石灰、矿物质材料和生物炭等,主要通过改变红壤pH、氧化还原电位和有机质含量等影响镉化学活性的因素来实现镉钝化,其中,磷基矿物质材料尤其是羟基磷灰石对重金属具有较强的吸附固定能力,被广泛应用于镉污染土壤修复,但目前钝化修复中存在的主要问题是改良剂的钝化效果不持久,受环境因素影响,钝化镉易于释放,需要深入研究镉钝化机理并指导构建稳定钝化体系[4-8]。土壤中影响镉化学行为的因素主要有:土壤pH、可溶性有机质(OMC)、黏土矿物和铁铝氧化物等[9-10]。江西省农田以红壤母质发育的水稻土为主,红壤酸度高,对Cd的络合能力不强,且红壤有机质含量低,对Cd(Ⅱ)缓冲性较弱。此外,红壤是一种可变电荷土壤,红壤中游离铁铝氧化物是可变电荷的主要载体,黏粒矿物以高岭石为主,还有以无定形形式存在的铁铝氧化物等[11-13]。红壤环境中各种物理化学反应复杂,涉及界面间镉迁移行为。冯敬云等[14-17]通过水-土界面镉迁移实验、根-土界面镉吸附-解吸实验和根-土界面镉化学形态变化动力学实验,研究镉在水-土、根-土界面迁移过程及化学动力学机理。对于微域环境中改良剂-土壤界面间镉迁移行为难以监测,研究土壤-改良剂界面间镉传输过程难度较大。因此,本文借助多层界面传输装置研究改良剂-红壤界面镉传输过程,明确钝化体系中镉迁移机制。
1 实验
1.1 实验材料
实验选择市售羟基磷灰石为土壤改良剂。供试红壤选自江西省贵溪市中轻度镉污染农田,采集距表层深度为0~20 cm的土壤样品,自然风干,过2 mm筛备用。经测试,红壤pH为5.23,红壤有机质质量分数为32.34 g/kg,红壤全氮、全磷和速效磷质量分数分别为1.4 g/kg、0.85 g/kg和78.62 mg/kg,镉质量分数为7.6 mg/kg。
1.2 实验方法
1.2.1 改良剂-红壤界面镉迁移行为研究
采用特制的多层界面传输箱定量描述改良剂-红壤界面镉迁移行为。多层界面传输箱长×宽×高为25 cm×18 cm×13.5 cm,界面传输箱中央2 mm区域设置为改良剂填充区,改良剂以粉末形式置于多层界面传输箱中央区域的改良剂填充区,多层界面传输箱示意图如图1所示。各区域采用胶黏300目尼龙网进行分隔,在改良剂填充区外的2 mm和5 mm处分别设置隔层,依次形成3个特征采样区,分别为微域反应区(小于2 mm),该区域改良剂中活性成分释放会形成高pH、高活性成分的微域,显著影响镉化学行为;在过渡扩散区(2~5 mm), 以短程扩散为主导的镉形态转化区域;长程迁移区(大于5 mm),反映改良剂中活性成分在红壤基质中的迁移行为,及活性成分对镉化学行为长程调控机制。除中间隔层外,其余区域均填充镉污染红壤,红壤填充密度控制在1.2~1.3 g/cm3,试验期间保持含水量为田间持水量的70%,取样时间分别在实验开始的7、28和60 d,取距离改良剂隔层小于2 mm、2~5 mm和大于5 mm共3个特征区域的红壤,测试红壤pH及镉化学形态,分析羟基磷灰石对红壤中镉赋存形态、迁移行为的影响规律。
2025年9期/10.11817j.issn.1672-7207.2025.09.007/alternativeImage/2A7B8FE0-8F7E-49f9-9433-B6440051685A-F001.jpg)
1.2.2 镉固定机制研究
采用一次平衡法研究红壤和羟基磷灰石对Cd2+的固定作用,设置2组平行实验,分别为红壤、羟基磷灰石平行实验,每组平行实验设置3个重复样,电解质溶液采用浓度为0.1 mol/L的NaNO3,设置4个Cd2+浓度梯度,分别为0.2、0.5、1.0和2.0 mg/L,调节pH为5.5±0.2,固液比为1꞉10 (g/mL),在常温下静置,在7、28和60 d取出溶液,测试溶液中Cd2+含量,计算镉固定量(镉固定量根据初始投加Cd2+浓度和平衡溶液中Cd2+浓度的浓度差求得)。
根据恒温下反应达到平衡时溶液中的平衡浓度Ce与固定量qe的关系,采用Freundlich吸附模型(式(1))和Langmuir吸附模型(式(2))对平衡浓度进行拟合,通过拟合参数判断吸附质的固定状态,并辨别Cd2+固定本质。由拟合参数推导位点能量分布模型,分析镉在改良剂-红壤界面传输的能量变化过程,结合界面间镉传输行为的研究结果,揭示羟基磷灰石-红壤界面镉传输机制。
2025年9期/10.11817j.issn.1672-7207.2025.09.007/alternativeImage/2A7B8FE0-8F7E-49f9-9433-B6440051685A-M001.jpg)
式中:qe为改良剂的溶质平衡固定量,mg/g;KF为容量因子,(mg/g)·(mg/L)1/n;Ce为溶液中的溶质浓度,mg/L;n为Freundlich吸附指数。
2025年9期/10.11817j.issn.1672-7207.2025.09.007/alternativeImage/2A7B8FE0-8F7E-49f9-9433-B6440051685A-M002.jpg)
式中:qm为Langmuir单位表面达到饱和的最大固定量,mg/g;KL为Langmuir平衡常数,L/mg。
将不同类型的等温线模型用于位点能量分布的推导。由于土壤组成和结构的异质性以及复杂性,描述固定量qe与位点能量(E)之间的关系为
2025年9期/10.11817j.issn.1672-7207.2025.09.007/alternativeImage/2A7B8FE0-8F7E-49f9-9433-B6440051685A-M003.jpg)
基于一般型Freundlich模型的近似位点能量分布(F(E*))[18]为
2025年9期/10.11817j.issn.1672-7207.2025.09.007/alternativeImage/2A7B8FE0-8F7E-49f9-9433-B6440051685A-M004.jpg)
2025年9期/10.11817j.issn.1672-7207.2025.09.007/alternativeImage/2A7B8FE0-8F7E-49f9-9433-B6440051685A-M005.jpg)
经验型两参数等温线模型即2025年9期/10.11817j.issn.1672-7207.2025.09.007/alternativeImage/2A7B8FE0-8F7E-49f9-9433-B6440051685A-M006.jpg)
2025年9期/10.11817j.issn.1672-7207.2025.09.007/alternativeImage/2A7B8FE0-8F7E-49f9-9433-B6440051685A-M007.jpg)
2025年9期/10.11817j.issn.1672-7207.2025.09.007/alternativeImage/2A7B8FE0-8F7E-49f9-9433-B6440051685A-M008.jpg)
2025年9期/10.11817j.issn.1672-7207.2025.09.007/alternativeImage/2A7B8FE0-8F7E-49f9-9433-B6440051685A-M009.jpg)
2025年9期/10.11817j.issn.1672-7207.2025.09.007/alternativeImage/2A7B8FE0-8F7E-49f9-9433-B6440051685A-M010.jpg)
1.3 材料表征与分析方法
红壤pH采用pH计(上海雷磁pHS-3C)、固液比为1꞉2.5(g/mL)电极法测定;红壤有机质采用重铬酸钾外加热法测定;红壤速效磷采用浓度为 0.5 mol/L的NaHCO3浸提-钼锑抗比色法测定;红壤全氮、全磷测定方法参照《土壤农化分析》;红壤中镉化学形态采用Tessier连续提取法测定;红壤样品经HF-HNO3-HClO4消解后测定Cd2+浓度,溶液中Cd2+浓度采用电感耦合等离子体质谱仪(ICP-MS、德国NexIoN1000)测定。
2 结果与讨论
2.1 羟基磷灰石-红壤体系镉化学行为研究
距离羟基磷灰石隔层小于2 mm、2~5 mm和大于5 mm这3个特征区红壤pH随时间的变化图如图2(a)所示。从图2(a)可见:当取样时间为7 d时,距离羟基磷灰石小于2 mm区域受羟基磷灰石中OH-、PO2025年9期/10.11817j.issn.1672-7207.2025.09.007/alternativeImage/2A7B8FE0-8F7E-49f9-9433-B6440051685A-M011.jpg)
2025年9期/10.11817j.issn.1672-7207.2025.09.007/alternativeImage/2A7B8FE0-8F7E-49f9-9433-B6440051685A-F002.jpg)
羟基磷灰石提高红壤pH,使得黏土矿物、铁锰氧化物等变价矿物质的负电荷升高,促进红壤胶体和黏粒对Cd2+的吸附,同时促进Cd2+与羟基磷灰石中活性成分形成沉淀物,如≡POCd+、≡CaOCd+、Cd(OH)+和Cd(OH)2,使红壤中镉由活性态转变为非活性态[20-21]。铁氧化物在pH>8.5时带负电,吸附阳离子。锰氧化物在3<pH<8.5的中性、弱酸和弱碱条件下带负电,吸附阳离子[22]。实验采集土壤pH为5.5左右,添加羟基磷灰石后pH升高到6.3,此时,锰氧化物吸附占主导地位。环境中金属离子进入到复杂的锰氧化物矿物结构中进行类质同象、穿插作用,通过进入δ-MnO2的锰氧八面体空隙或与[MnO6]八面体中的Mn2+置换,形成稳定的内圈配合物,使金属离子固定于锰氧化物晶格中,减少环境中的游离态金属离子浓度。但随着时间延长,红壤pH降低,部分锰氧化物中吸附镉被释放,转变为可交换态镉。
2.2 红壤、羟基磷灰石对镉吸附行为研究
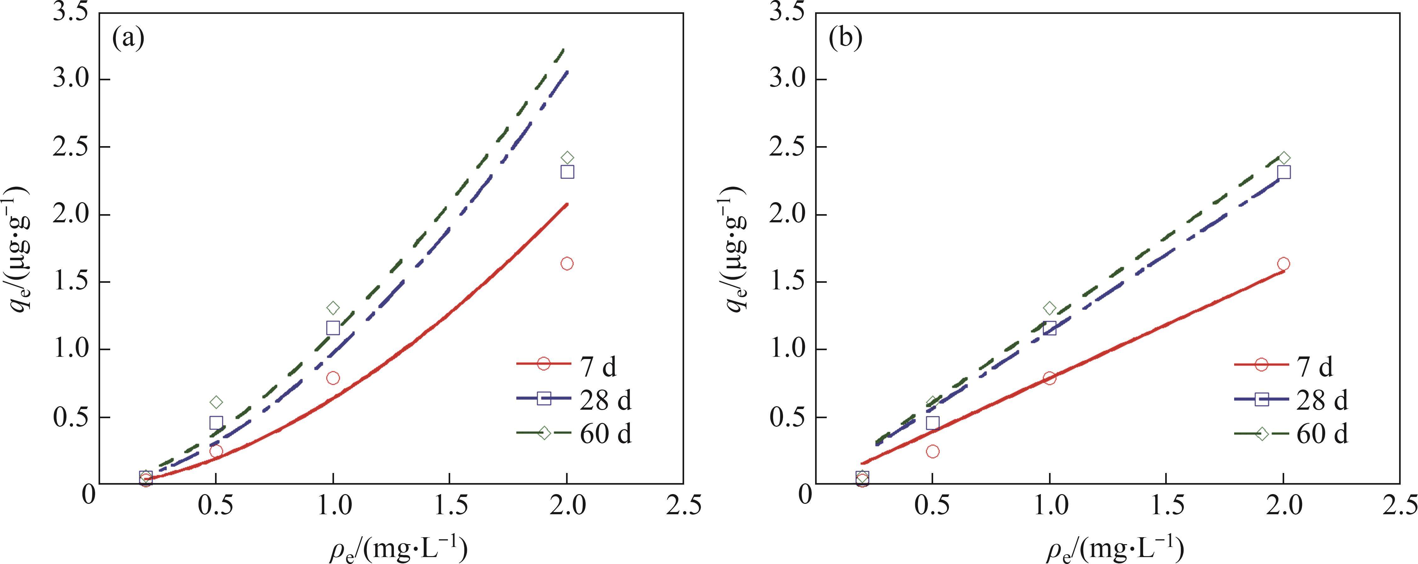
红壤固定Cd2+的等温吸附曲线和298 K时红壤固定Cd2+的等温吸附模型拟合参数分别如图3和 表1所示。利用拟合相关系数(R2)进行综合比较,可知Freundlich模型更适合于描述镉在红壤表面的吸附行为。在实验设定的浓度范围(0.2~2.0 mg/L)内,Langmuir模型拟合所得的最大吸附量(qm)(如表1所示)与实测值(小于10 mg/L)相差较大,不符合红壤吸附Cd2+的实际情况,这可能与Langmuir模型适用于较大浓度范围(大于2.0 mg/L)有关。Langmuir模型得到的最大吸附量与实测值不相符,但参数KL作为与结合能有关的吸附-解吸平衡常数,可以反映红壤对Cd2+的吸附强度。Freundlich模型中KF可以大致反映吸附能力,l/n可作为红壤对Cd2+吸附作用亲和力的指标,1/n越小,红壤对Cd2+的吸附作用力越大。1/n作为反映红壤对Cd2+吸附作用亲和力的指标与反映吸附能力的KF一致,说明红壤对Cd2+的吸附能力大,对Cd2+的亲和力也大。
2025年9期/10.11817j.issn.1672-7207.2025.09.007/alternativeImage/2A7B8FE0-8F7E-49f9-9433-B6440051685A-F003.jpg)
| 时间/d | Freundlich模型 | Langmuir模型 | ||||
|---|---|---|---|---|---|---|
| KF/((mg·g-1)·(mg·L-1)1/n) | n | R2 | KL/(L·mg-1) | qm/(μg·g-1) | R2 | |
| 7 | 1.756 7 | 1.086 6 | 0.999 12 | 0.050 020 | 38.626 | 0.998 64 |
| 28 | 2.217 7 | 1.143 7 | 0.999 99 | 0.000 634 | 3 749.300 | 0.996 12 |
| 60 | 2.451 0 | 1.149 0 | 0.999 85 | 0.000 660 | 3 939.800 | 0.997 11 |
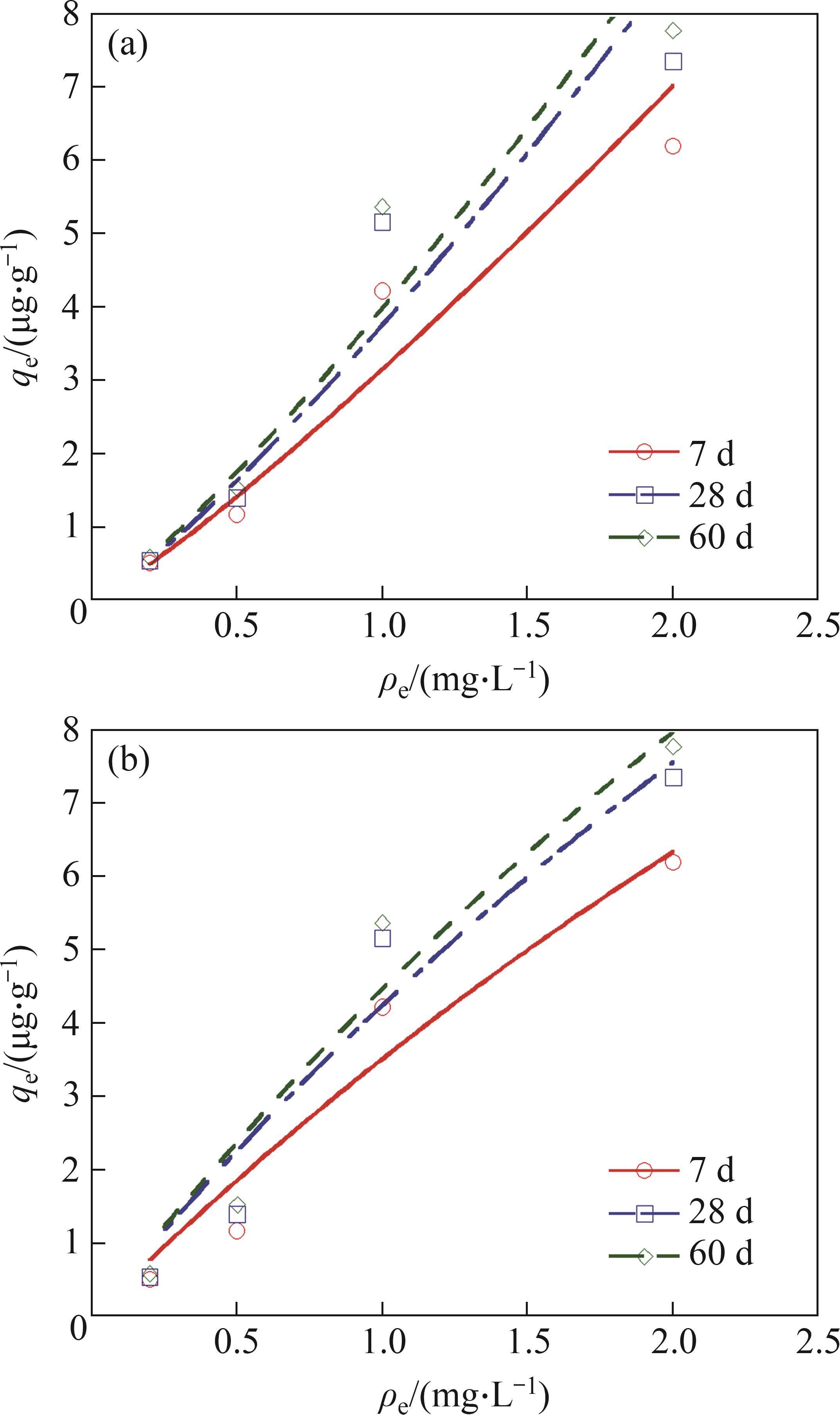
羟基磷灰石固定Cd2+的等温吸附曲线和298 K时羟基磷灰石Cd2+固定的等温吸附模型拟合参数分别如图4和表2所示。从图4可见:与Freundlich模型相比,Langmuir模型更适合于描述羟基磷灰石对Cd2+的吸附行为;随着实验时间的延长,羟基磷灰石对Cd2+的吸附强度增大。从表2可见:通过Freundlich模型中1/n,比较Cd2+在红壤和羟基磷灰石表面吸附亲和力,发现羟基磷灰石对Cd2+吸附强度高于红壤对Cd2+吸附强度,钝化体系中Cd2+向羟基磷灰石表面迁移。
2025年9期/10.11817j.issn.1672-7207.2025.09.007/alternativeImage/2A7B8FE0-8F7E-49f9-9433-B6440051685A-F004.jpg)
| 时间/d | Freundlich模型 | Langmuir模型 | ||||
|---|---|---|---|---|---|---|
| KF/((mg·g-1)·(mg·L-1)1/n) | n | R2 | KL/(L·mg-1) | qm/(μg·g-1) | R2 | |
| 7 | 3.153 6 | 1.153 2 | 0.962 71 | 0.122 89 | 32.138 | 0.974 80 |
| 28 | 3.755 0 | 1.199 5 | 0.953 24 | 0.141 50 | 34.250 | 0.970 50 |
| 60 | 3.984 6 | 1.185 7 | 0.958 18 | 0.137 40 | 36.991 | 0.973 87 |
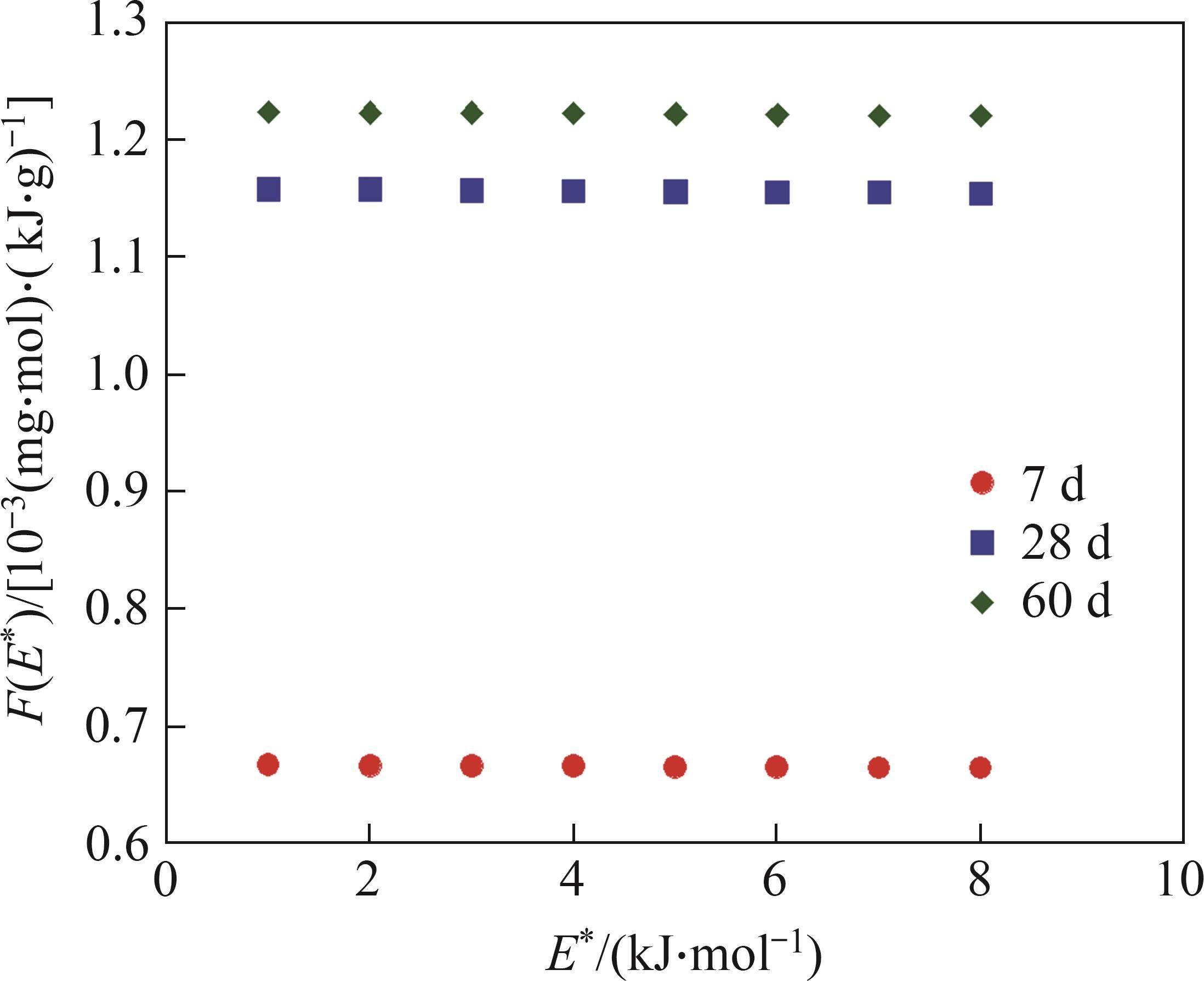
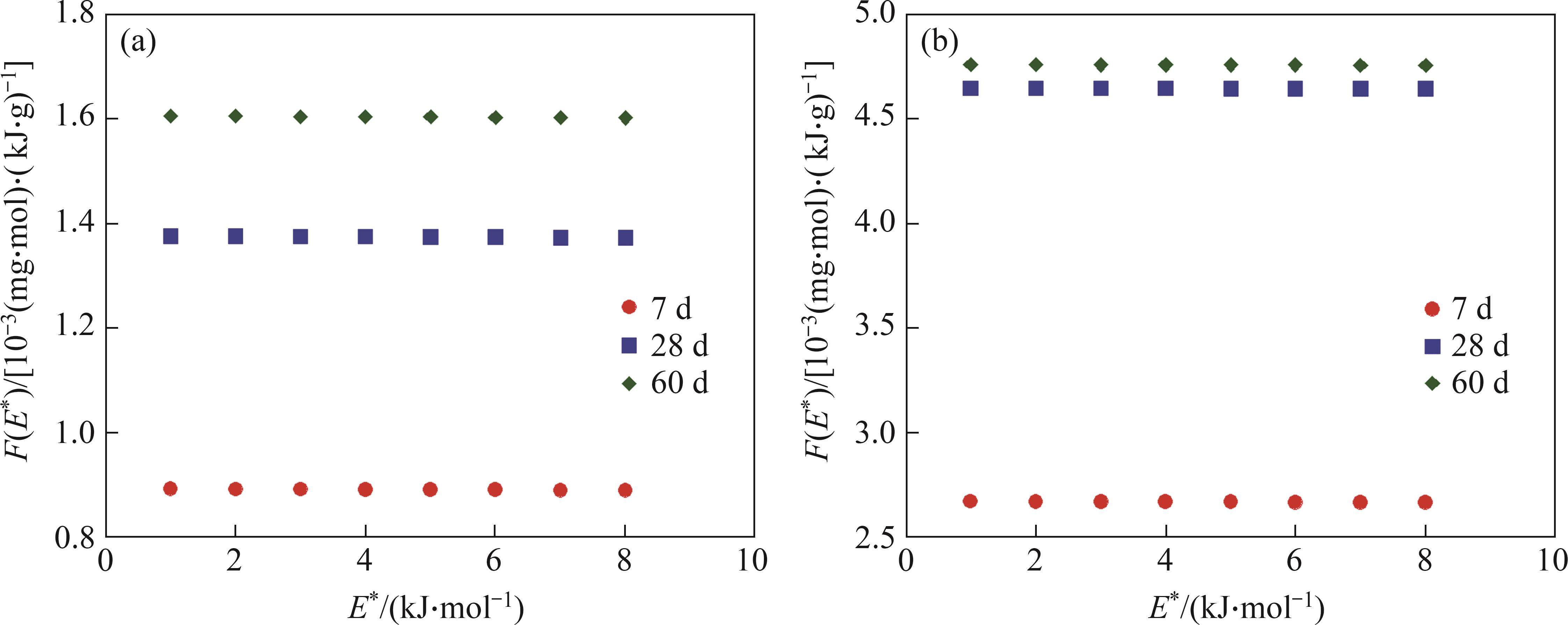
镉在红壤表面吸附等温线可以用Freundlich模型很好地拟合,镉在羟基磷灰石表面吸附等温线可以用Langmuir模型很好地拟合,在位点能量分布计算中,普通型的Freundlich模型是对于一般型的Langmuir模型的简化,因此,传输过程的能量分布变化采用CARTER等[19]提出的基于经验型两参数的Freundlich模型的能量分布函数式(5)进行表征。Cd2+吸附的位点能量分布模型拟合如图5所示。从图5可见:对于镉在红壤中的吸附,随着平衡时间的延长,位点能量明显增加,说明镉与红壤组成矿物质、有机质等作用的能量异质性更强;随着平衡时间延长,镉在羟基磷灰石表面吸附的位点能量呈先迅速增加后趋于稳定的变化趋势。
2025年9期/10.11817j.issn.1672-7207.2025.09.007/alternativeImage/2A7B8FE0-8F7E-49f9-9433-B6440051685A-F005.jpg)
2.3 红壤-羟基磷灰石体系镉固定机制
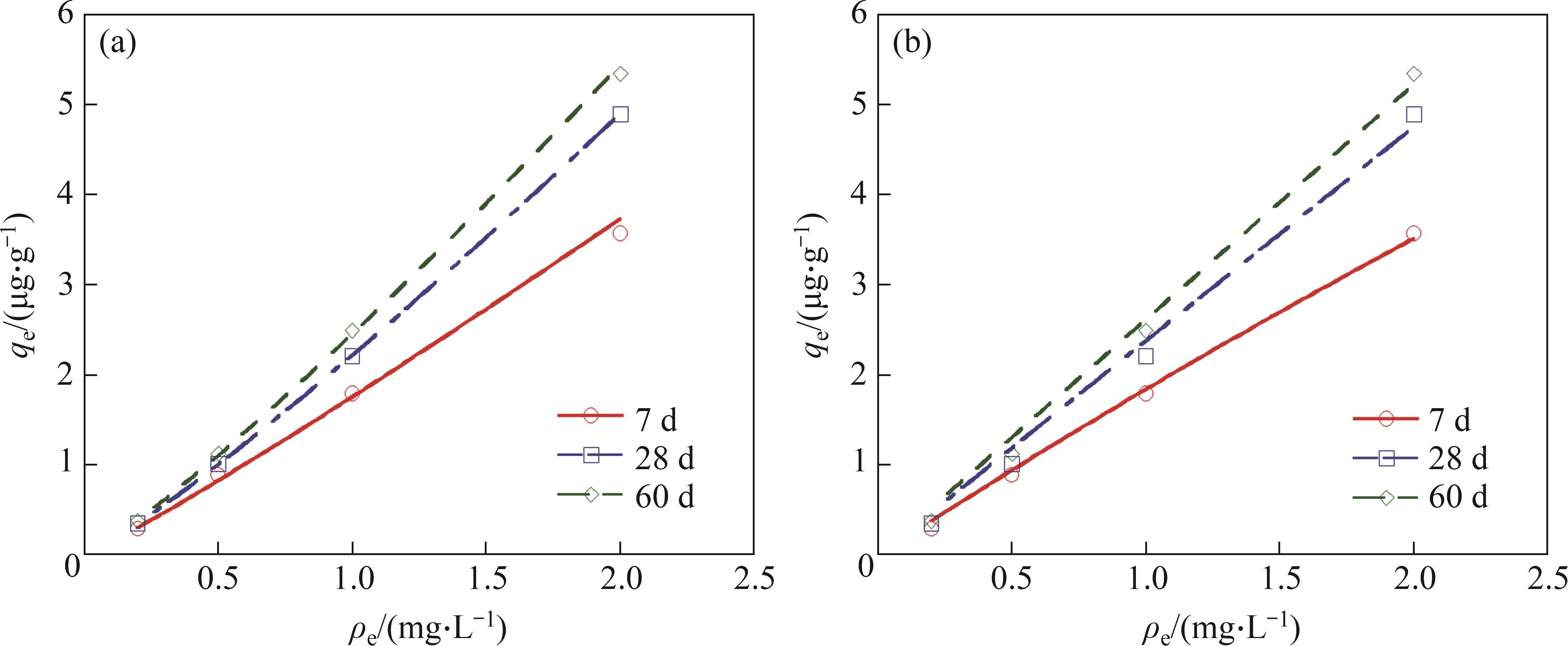
羟基磷灰石-红壤体系镉固定的等温吸附曲线和298 K时羟基磷灰石-红壤体系镉固定的等温吸附模型拟合参数分别如图6和表3所示。从图6和表3可见:当实验时间为7 d时,Freundlich模型适用于描述镉在羟基磷灰石-红壤体系镉固定行为;随着实验时间延长,羟基磷灰石-红壤体系中镉固定行为更符合Langmuir模型;由Freundlich模型中1/n与KF可知,随着实验时间延长,体系中镉固定能力和Cd2+吸附亲和力均在逐渐增强;由Langmuir模型kL参数拟合值可知,随着平衡时间延长,体系中镉吸附强度逐渐增强;随着实验时间延长,通过Freundlich模型1/n比较可知,羟基磷灰石-红壤体系中镉固定吸附强度逐渐降低。
2025年9期/10.11817j.issn.1672-7207.2025.09.007/alternativeImage/2A7B8FE0-8F7E-49f9-9433-B6440051685A-F006.jpg)
| 时间/d | Freundlich模型 | Langmuir模型 | ||||
|---|---|---|---|---|---|---|
| KF/((mg·g-1)·(mg·L-1)1/n) | n | R2 | KL/(L·mg-1) | qm/(μg·g-1) | R2 | |
| 7 | 0.641 75 | 1.697 7 | 0.983 24 | 0.000 87 | 915.890 | 0.983 24 |
| 28 | 0.978 20 | 1.645 0 | 0.980 55 | 0.001 17 | 979.040 | 0.980 55 |
| 60 | 1.121 40 | 1.538 1 | 0.974 22 | 0.018 89 | 66.993 | 0.974 22 |
羟基磷灰石-红壤体系镉固定的位点能量分布模型拟合如图7所示。从图7可见:随着实验时间延长,红壤-改良剂体系镉固定的位点能量逐渐增加,但增加量在28 d时明显降低,说明镉在红壤-改良剂体系的固定由红壤和羟基磷灰石共同决定;随着实验时间延长,根据镉在红壤、羟基磷灰石以及红壤-改良剂体系位点能量分布随时间变化规律,说明更多的Cd2+由低能吸附位点向高能吸附位点转移,红壤主要由无机氧化物、矿物质和少量有机质组成。矿物质组分具有较低的吸附能,但含量较大,铁锰氧化物和有机质具有较高的吸附能;Cd2+先吸附在红壤中的低能吸附位点,随着实验时间延长,逐渐进入高能吸附区域[20-24]。Cd2+在羟基磷灰石表面的吸附与羟基磷灰石表面存在多个活性吸附位点有关,但各吸附区域存在异质性,将优先吸附于低能位点,随着实验时间延长,位点能量增加量出现降低的变化趋势,与红壤相比,羟基磷灰石的组成和物理构象相对简单,镉在红壤吸附位点能量分布的异质性较强。因此,随着实验时间延长,钝化体系中镉可能逐渐由羟基磷灰石中位点向红壤中高能位点转移,使得镉赋存形态转变,受外界环境影响时,可能出现镉钝化稳定性不持久的问题。
2025年9期/10.11817j.issn.1672-7207.2025.09.007/alternativeImage/2A7B8FE0-8F7E-49f9-9433-B6440051685A-F007.jpg)
3 结论
1) 羟基磷灰石中活性成分逐渐扩散,随着时间延长,红壤pH逐渐趋于稳定,不同区域差异较小,但可交换态镉质量分数在近羟基磷灰石-红壤界面区域(小于2 mm)明显降低,主要转变为稳定性较强的铁锰氧化物结合态。
2) 随着平衡时间延长,镉在红壤-羟基磷灰石体系的吸附强度逐渐增强,但增加量呈先迅速升高后逐渐降低的变化趋势。
3) 随着实验时间延长,镉在红壤表面吸附位点能量明显增加,镉在羟基磷灰石表面吸附的位点能量呈先逐渐增加后趋于稳定的变化趋势,镉在红壤-改良剂体系位点能量变化趋势与镉在羟基磷灰石表面吸附位点能量变化趋势一致,说明羟基磷灰石在钝化体系镉固定和形态转变起关键作用。
关于发布《第二次全国污染源普查公报》
[R/OL]. (李晓晖, 孙小艳, 王玺洋, 等. 红壤-羟基磷灰石体系中镉化学行为研究[J]. 中南大学学报(自然科学版), 2025, 56(9): 3649-3657.
LI Xiaohui, SUN Xiaoyan, WANG Xiyang, et al. Study on the chemical behavior of cadmium in red soil and hydroxyapatite system[J]. Journal of Central South University(Science and Technology), 2025, 56(9): 3649-3657.
http://dx.doi.org/10.11817/j.issn.1672-7207.2025.09.007

