logo

不同轮轨黏着条件下列车制动系统振动特性与车轮磨耗分析

能源工程 • 交通运输工程

不同轮轨黏着条件下列车制动系统振动特性与车轮磨耗分析

宇航
劲松
中南大学学报(自然科学版)第56卷, 第9期pp.3992-3999纸质出版 2025-09-26
32003

基于列车制动的制动力传递路径,建立包含制动块、制动盘与轮对的三刚体四自由度动力学模型。模型考虑轮轨黏着条件对制动系统稳定性的影响,并采用数值方法对系统的振动特性进行分析。通过仿真研究,探讨不同轮轨黏着条件下制动系统的摩擦颤振现象及其对车轮磨耗的影响。研究结果表明:在列车较低速度下,制动系统会出现不稳定的振荡行为,且随轨道峰值摩擦因数逐渐增大,制动系统的不稳定区间随之增大。在较低的轮轨黏着条件下,蠕滑率波动区间较大,车轮的不均匀磨耗深度也更大。此外,不同的轨道条件对应的蠕滑率振动频率基本一致,但磨耗深度存在差异。轮轨黏着条件对列车制动系统的稳定性及车轮磨耗有显著影响。良好的轮轨黏着条件虽能提高制动效率,但也可能促进制动系统摩擦颤振的发生,进而加剧车轮的不均匀磨耗。

列车制动摩擦颤振黏着条件蠕滑率车轮磨耗

随着城市轨道交通的快速发展,列车振动问题逐渐成为人们关注的焦点。列车制动是一个复杂的过程,其振动问题尤其值得关注。列车制动产生的振动不仅会造成舒适性和平稳性下降,降低零部件的使用寿命,还会造成轮对的异常磨耗,进一步加剧车辆的振动行为[1]

列车的制动行为对列车的运行状态有很大的影响。牵引和制动力的合理分配对列车运行的平稳和安全、保持良好的运行状态至关重要[2-3]。其中,制动副的黏滑振动是制动器发生振动的关键因素[4]。WEI等[5]基于Crowther模型,建立扭转振动的纯制动工况4自由度微分方程,预测混沌黏滑振动的存在。MICKOSKI等[6]综述了铁路车辆制动系统中的振动现象,特别是黏滑振动的研究,探讨了其振荡模式和发生机制。鲁昌霖等[7]通过建立三维动力学模型,将求解结果与数值求解结果进行对比,研究了列车制动系统的振动情况。ZHANG等[8-9]考虑了制动副界面的磨损颗粒,研究了磨粒对制动系统摩擦颤振的影响效果。

制动过程中轮对的振动会导致车轮的多边形磨损,车轮不圆现象会进一步使车辆的振动行为加强[10]。刘奇锋等[11]发现车轮的多边形阶数与轴箱振动频率强相关。KANG等[12]通过有限元仿真研究了车轮高阶多边形磨损的形成机制和演变过程。MA等[13]研究了高速铁路无砟轨道系统中车轮多边形磨损的起始机制。该研究通过精细化振动模型分析了车轮多边形磨损的形成原因及其对轨道系统的动态影响。宋瑞等[14]利用数值法研究了制动副振动对车轮磨耗的影响,但模型未考虑制动系统与轮对的纵向振动的耦合关系,ZHU等[15]利用有限元仿真研究了制动系统对轮对磨耗的影响,并基于摩擦自激理论,进一步探讨了制动系统对高速列车车轮多边形磨损形成的影响[16]

综上所述,在当前的研究中,列车制动行为与车轮多边形之间的关系日益受到关注。但目前研究多以有限元分析为主,并且忽视了轮轨黏着条件对制动稳定性和车轮磨耗的耦合作用。本文考虑制动副与轮对系统的耦合关系,探究不同轨道条件对列车制动稳定性的影响,并进一步探讨不同轨道条件下的车轮磨耗的问题。

1 制动系统模型

在建立列车制动动力学模型之前,进行如下假设:

1) 求解轮对的扭转振动时,将制动盘、制动块和轮对等效为具有固定转动惯量的圆盘,求解轮对的纵向振动时将轮对等效为具有固定质量的质量块,该模型涉及的所有刚度和阻尼都是恒定的常数。

2) 针对各子系统的运动,均只考虑其扭转自由度或纵向自由度,忽略其他方向的振动,在求解轮轨力时也忽略横向蠕滑与自旋蠕滑。

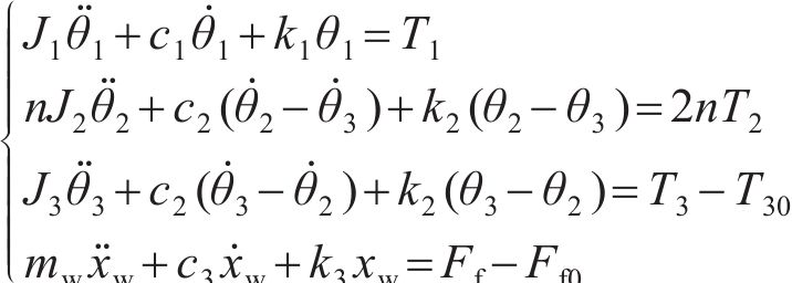
根据这些假设,将列车制动系统简化为如图1所示的模型,考虑轮轨附着的四自由度振动模型,模型中的扭转运动部分与纵向运动部分通过相同轮轨力进行耦合,列车制动系统的动力学方程如下式所示:

图1
四自由度列车制动模型
pic
pic (1)

式中:picpicpic分别为制动块、制动盘和轮对的转动惯量;picpic分别为制动块转动刚度和阻尼;picpic分别为制动盘与轮对之间的连接刚度和阻尼;picpic分别为轮对与车体间的连接刚度和阻尼;picpicpic分别为制动块、制动盘和轮对所受到的摩擦力矩;picpicpic分别为制动块、制动盘和轮对的旋转角位移波动量;pic为轮对质量;pic为轮对纵向位移波动量;pic为轮对受到的轨道蠕滑力。

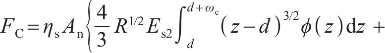
图2所示为三体接触介观模型。由图2可见:制动盘与制动块的接触界面分为三体接触区域(简称三体区)和两体接触区域(简称两体区) 2部分。第三体介质由图2中不同粒径的球形粒子组成。图2中,pic为施加到制动块上的总载荷,由三体区和两体区共同承担,三体区和两体区所承担的载荷分别为picpic,三体接触界面和两体接触界面的摩擦力分别为picpic。假设正压力均匀分布,基于荷载分担的概念,总荷载pic

pic (2)

式中:pic为总载荷;pic为两体区所承担的载荷;pic为三体区所承担的载荷。

图2
三体接触介观模型
pic

基于Horng的三体微接触模型[17],颗粒载荷力pic

picpic (3)

式中:pic为名义接触面积;pic为制动盘硬度;pic为制动块硬度;pic为颗粒密度;pic为制动盘与颗粒的等效弹性模量;pic为制动盘与制动块的等效弹性模量;pic为2个表面的分离度;pic为颗粒粒径;pic为颗粒粒径分布函数;pic为颗粒最大粒径;pic为两表面发生塑性变形的最大间距,

pic (4)

CEB模型中粗糙峰载荷pic计算公式为[18]

picpic (5)pic (6)

式中:pic为粗糙峰密度;pic为粗糙峰半径;pic为制动块的弹性模量;pic为粗糙峰高度;pic为粗糙峰高度分布函数;pic为最大接触压力系数;pic为分离度;pic为粗糙峰塑性变形临界值;pic为较软材质的硬度;pic为弹性模量。则总的三体摩擦力pic

pic (7)

式中:pic为两体接触界面的摩擦力;pic为三体接触界面的摩擦力。

对三体接触界面的摩擦因数取固定值,两体接触界面的摩擦因数使用经典的Stribeck干摩擦模型[19]并参考文献[20]的处理方法进行平滑处理,公式如下:

pic (8)

式中:pic为两体区的摩擦因数;pic为最大静摩擦因数;pic为滑动速度最大时的摩擦因数;pic为衰减系数;pic为修正系数;pic为制动盘与制动块的相对扭转速度;pic为制动块的摩擦半径。

三体摩擦模型的宏观摩擦因数可表示为

pic (9)

由此得到制动力pic与制动力矩pic如下:

pic (10)pic (11)

式中:pic为制动压力。

pic (12)

在列车制动时,轮对的瞬时蠕滑率pic表示为

pic (13)

式中:picpic分别为轮对扭转角速度的初始值与实际值;picpic分别为列车初始速度与瞬时速度;pic为车轮半径。

对轮对小滑移黏着曲线近似线性化[21],有

pic (14)

式中:pic为临界蠕滑率;pic为临界蠕滑率对应的最大附着系数;pic为轮轨法向力。

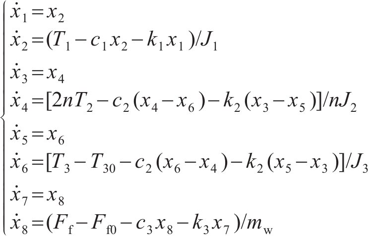
令系统状态变量pic,则有

pic (15)

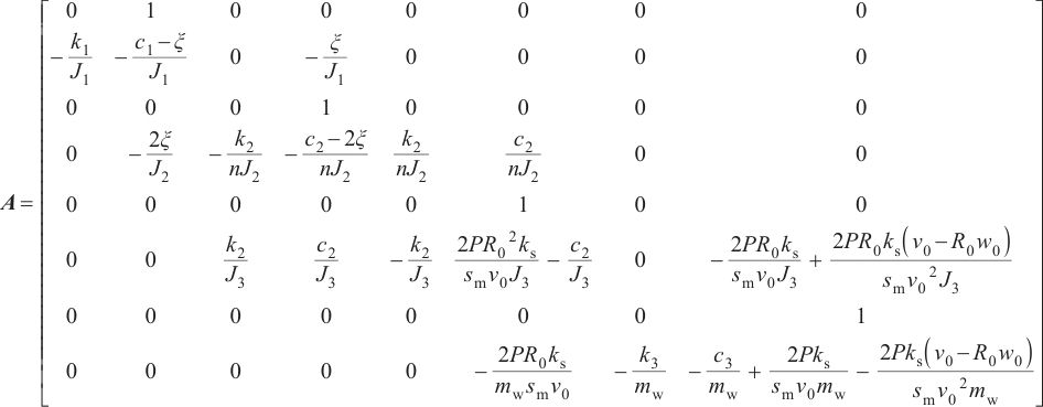
式(3)右端等于零,可得系统平衡点pic,并求解平衡点处的雅可比矩阵如下:

pic (16)

其中:

pic (17)

2 干燥轨道条件下稳定性分析

根据李雅普诺夫一次近似理论,若系统稳定点处雅可比矩阵对应的特征值实部均为负,则系统在平衡点处渐近稳定,若至少有一特征值实部为正,则系统在平衡点处不稳定。图3所示为系统雅克比矩阵的特征值实部随初始车速变化曲线。图3中,R1~R8为系统雅可比矩阵的特征值实部,因8个特征值两两共轭,故其特征值实部满足R1=R2R3=R4R5=R6R7=R8

图3
雅可比矩阵特征值实部随初始车速的变化
pic

图3可以看出:随列车初始车速增大,系统特征值的实部逐渐由较大的正值降低为小于零,在临界点A(2.35,0)之后,系统稳定点处雅可比矩阵的特征值实部全部小于零,可见制动系统的不稳定状态仅在车速较低时发生。

为进一步研究列车制动系统的振动在不同初始车速下的变化情况,以初始车速为分岔参数,做出轮对扭转振动角速度变化的分岔图,如图4所示。计算时,规定轮对旋转方向为正方向。

图4
干燥轨道条件下制动系统运动分岔图
pic

图4可见:随初始车速逐渐增大,制动系统的运动状态经历了从混沌振动到周期振动,最终进入稳定状态的转变;当初始车速达到0.73 m/s时,系统从混沌振动转为周期振动;当车速增至2.93 m/s时,稳定性显著提升,系统进入稳定的工作状态;随列车初始车速增大,制动系统振动的最大振幅也呈现出增大的趋势。在本文中将混沌区间与周期振动区间统称为振荡区间,对照李雅普诺夫一次近似理论结果,可发现分岔图中振荡区间与稳定区间临界值的数值解析结果(2.93 m/s)与制动系统线性化结果相近。

为了探究不同的轨道条件对列车制动颤振的影响,在湿润轨道条件下做出制动系统运动的分岔图,该条件下的轮轨黏着系数见文献[22],分岔图如图5所示。

图5
湿润轨道条件下制动系统运动分岔图
pic

图5可以看出:相较于干燥条件下的轨道条件,系统在湿润条件下运行时,其整体振幅明显降低,系统振荡区间的临界车速减小,稳定区间增大。在周期振动区间,随初始车速增大,系统振幅增大不再明显。

对于不同的轨道黏着条件,影响较大的是轨道峰值摩擦因数。根据制动系统稳定点处的雅可比矩阵,利用李雅普诺夫一次近似理论求解不同轨道黏着条件下系统的稳定区间,如图6所示。由图6可以看出:随轨道峰值摩擦因数增大,系统的不稳定区间均逐渐减小。良好的轮轨黏着条件使蠕滑曲线的斜率较大,这意味着在制动过程中,蠕滑力对滑移率的变化更为敏感。当滑移率发生微小变化时,蠕滑力会迅速增大,从而对系统施加更大的激励力。若系统的阻尼不足以耗散这些额外的能量,则系统就会出现负阻尼效应,系统振动更容易发生。

图6
不同轨道峰值摩擦因数下系统的稳定区间
pic

3 车轮磨损计算

在列车制动过程中,制动系统产生的振动会传递至车轮,使车轮与轨道之间产生时变的蠕滑力,进而加剧车轮磨损,这种不均匀磨损不仅会改变车轮的几何形状,而且会进一步加剧轮对振动,因此,有必要研究列车制动系统振动诱发的车轮磨耗问题。利用ZOBORY磨耗模型[23],可以计算本文的车轮径向磨耗,具体表达如下:

pic (18)

式中:

pic (19)

由此轮对的径向磨耗量pic可以表示为

pic (20)

式中:pic为车轮质量磨损量;pic为磨损系数;pic为轮轨磨损功;pic为车轮材料密度;pic为磨损体积;pic为接触点面积;pic为车轮的径向磨耗;pic为轮轨纵向蠕滑力;pic为接触点在Y方向上的半径。

由上述研究可知,制动系统振动仅在车辆低速时发生,根据式(13)可知,轮对的周期性磨耗容易发生在系统的周期振动区间,因此,通过磨耗计算模型可以计算周期振动区间内车轮的磨耗情况,观察不同道路条件下车轮蠕滑率变化与对应的车轮磨耗情况,如图7所示。

图7
不同道路条件下车轮蠕滑率波动及磨耗情况
pic

图7可知:不同的轨道条件对应的蠕滑率振动频率基本一致,但在较低的轮轨黏着条件下(对应图7中的湿润轨道条件),蠕滑率的波动幅值明显较大。从式(20)可知:车轮磨耗量与对应蠕滑力和蠕滑率的乘积呈正比,因此,在轮轨低黏着条件下,车轮的不均匀磨耗深度也越大。

4 结论

1) 制动系统的不稳定振动仅在车速较低时发生,随车速增大,系统先后经历了混沌振动、周期振动,直到进入稳定区间。

2) 制动系统的摩擦颤振现象易发生在轮轨黏着条件较好时,随轨道峰值摩擦因数逐渐增大,制动系统的不稳定区间随之增大。

3) 不同的轨道条件对应的蠕滑率振动频率基本一致,在较低的轮轨黏着条件下,蠕滑率波动区间较大,车轮的不均匀磨耗深度也较大。

参考文献
1吴丹, 丁旺才.

轨道交通列车车轮多边形磨耗机理及其影响综述

[J]. 交通运输工程学报, 2024, 24(2): 85-101.
百度学术谷歌学术
2ZHANG Zhanfei, ZHOU Jinsong, SUN Wenjing, et al.

Analytical study and evaluation of self-steering ability of elastically constrained wheelsets under traction/braking conditions

[J]. Vehicle System Dynamics, 2025, 63(2): 333-350.
百度学术谷歌学术
3ZHANG Zhanfei, ZHOU Jinsong, SUN Wenjing, et al.

Analytical study and control of high-speed vehicle hunting stability with traction/braking torque

[J]. Journal of Vibration and Control, 2024: 10775463241287844.
百度学术谷歌学术
4王靖岳, 王同义, 吕坤, .

盘式制动系统摩擦动力学研究进展

[J]. 科技导报, 2023, 41(10): 106-114.
百度学术谷歌学术
5WEI Daogao, WANG Weijia, WANG Bo, et al.

Bifurcation and chaotic behaviors of vehicle brake system under low speed braking condition

[J]. Journal of Vibration Engineering & Technologies, 2021, 9(8): 2107-2120.
百度学术谷歌学术
6MICKOSKI H, MICKOSKI I, ZDRAVESKI F.

Investigation of self-excited vibrations in tread brake unit for railway vehicles

[J]. Journal of Vibroengineering, 2016, 18(6): 3881-3890.
百度学术谷歌学术
7鲁昌霖, 王志伟, 王权, .

考虑轮轨蠕滑的高速列车制动非线性振动行为研究

[J]. 重庆理工大学学报(自然科学), 2023, 37(6): 10-19.
百度学术谷歌学术
8ZHANG Yuhang, ZHOU Kai, ZHOU Jinsong, et al.

Frictional vibration analysis of train braking system considering wheel-rail attachment and multi-body friction

[J]. International Journal of Non-Linear Mechanics, 2024, 162: 104715.
百度学术谷歌学术
9ZHANG Yuhang, WEI Daogao, WU Bofu, et al.

Construction of friction model of the third body layer and its effects on the dynamic characteristics in brake system

[J]. Journal of Computational and Nonlinear Dynamics, 2023, 18: 011003.
百度学术谷歌学术
10WANG Zegen, GONG Dao.

A survey on countermeasures of railway vehicle stability decrease caused by the evolution of hollow-worn wheels

[J]. Journal of Vibration and Control, 2025, 31(5/6): 864-877.
百度学术谷歌学术
11刘奇锋, 陶功权, 梁红琴, .

地铁车轮多边形磨耗对轮轨系统动力特性的影响

[J]. 中南大学学报(自然科学版), 2022, 53(8): 3222-3231.
百度学术谷歌学术
12KANG Xi, CHEN Guangxiong, CHEN Xiang, et al.

Analysis of the generation mechanism and evolution of the wheel high-order polygonal wear of subway trains

[J]. Engineering Failure Analysis, 2023, 151: 107375.
百度学术谷歌学术
13MA Chaozhi, GAO Liang, XU Yang, et al.

Initiation mechanism analysis of wheel polygonal wear on high-speed railway based on refined vibration model for ballastless track system

[J]. Journal of Sound and Vibration, 2023, 559: 117782.
百度学术谷歌学术
14宋瑞, 张宇航, 周劲松, .

轨道车辆制动副摩擦自激对车轮磨耗的影响

[J]. 铁道科学与工程学报, 2024, 21(1): 48-57.
百度学术谷歌学术
15ZHU Q, CHEN G X, KANG X, et al.

Effect of wheel structure on friction-induced wheel polygonal wear of high-speed train

[J]. Tribology Transactions, 2021, 64(4): 606-615.
百度学术谷歌学术
16ZHU Qi, XIE Jun, ZHANG Wei, et al.

Influence of disc brake on wheel polygonal wear of high-speed train

[J]. Wear, 2023, 524: 204814.
百度学术谷歌学术
17HORNG J H, WEI C C, TSAI H J, et al.

A study of surface friction and particle friction between rough surfaces

[J]. Wear, 2009, 267(5/6/7/8): 1257-1263.
百度学术谷歌学术
18CHANG W R, ETSION I, BOGY D B.

An elastic-plastic model for the contact of rough surfaces

[J]. Journal of Tribology, 1987, 109(2): 257-263.
百度学术谷歌学术
19VAN DE VRANDE B L, VAN CAMPEN D H, DE KRAKER A.

An approximate analysis of dry-friction-induced stick-slip vibrations by a smoothing procedure

[J]. Nonlinear Dynamics, 1999, 19(2): 159-171.
百度学术谷歌学术
20BHUSHAN B, NOSONOVSKY M.

Comprehensive model for scale effects in friction due to adhesion and two- and three-body deformation (plowing)

[J]. Acta Materialia, 2004, 52(8): 2461-2474.
百度学术谷歌学术
21WANG Quan, WANG Zhiwei, MO Jiliang, et al.

Nonlinear behaviors of the disc brake system under the effect of wheel-rail adhesion

[J]. Tribology International, 2022, 165: 107263.
百度学术谷歌学术
22POLACH O.

Creep forces in simulations of traction vehicles running on adhesion limit

[J]. Wear, 2005, 258(7/8): 992-1000.
百度学术谷歌学术
23ZOBORY I.

Prediction of wheel/rail profile wear

[J]. Vehicle System Dynamics, 1997, 28(2/3): 221-259.
百度学术谷歌学术
注释

张宇航, 周劲松, 周凯, 等. 不同轮轨黏着条件下列车制动系统振动特性与车轮磨耗分析[J]. 中南大学学报(自然科学版), 2025, 56(9): 3992-3999.

ZHANG Yuhang, ZHOU Jinsong, ZHOU Kai, et al. Analysis of vibration characteristics of train braking system and wheel wear under different wheel-rail adhesion conditions[J]. Journal of Central South University(Science and Technology), 2025, 56(9): 3992-3999.

http://dx.doi.org/10.11817/j.issn.1672-7207.2025.09.036