随着浅层煤炭资源的逐渐枯竭,煤炭开采正逐步向深地化和大型化方向发展[1-3]。然而,现有的单绳缠绕式和多绳摩擦式提升机[4-6]的提升高度已难以适应深部矿井的提升需求[7-8]。相比之下,双绳缠绕式提升机具备超过1 000 m的提升高度,能够有效解决地面与深部矿井的连接问题[9]。深部矿井的提升作业具有行程长、速度高和负载大等特点,提升机在此过程中极易受到各种干扰,导致系统振动及不同钢丝绳之间张力差波动,轻微时可能影响生产效率,严重时则会导致提升容器倾斜或卡罐,甚至引发钢丝绳断裂等安全事故。因此,开展双绳缠绕式提升机的动力学研究,揭示提升机钢丝绳与各部件间的振动响应关系,对于实现深部矿井提升的安全稳定运行具有重要意义。
目前,对于双绳缠绕式提升机的动力学计算研究主要集中在建立与分析提升系统的动力学模型[10-12]。景月帅等[13]根据钢丝绳在提升过程中的几何构型与变形关系,建立了提升系统的动力学模型,指出随着扰动量增大,钢丝绳张力差不断增大,提升机调绳能力下降。李翔等[14]通过弹簧阻尼模型对钢丝绳的提升刚度进行等效,采用拉格朗日方程建立了提升系统的非线性动力学模型,通过设计滑模控制器实现提升容器的位姿调平。ZHU等[15]建立了考虑参数不确定性和存在外界干扰的双绳缠绕式提升机提升系统的动力学模型,提出了一种结合非线性扰动观测器的鲁棒非线性自适应反演控制器,保证了闭环系统的控制性能和稳定性。WANG等[16]利用Hamilton原理建立了在天轮摆动激励下提升系统钢丝绳的横-纵向耦合振动非线性偏微分方程,通过Galerkin方法将其离散求解,指出天轮摆动作用下垂绳横向振动位移比悬绳的大,并给出了天轮摆动幅值范围,以限制钢丝绳的横向振动位移。
现有研究在构建提升机动力学模型时,通常关注提升系统中的钢丝绳,而将卷筒视为刚性部件。在分析钢丝绳的激励时,主要考虑绳槽和折线区域对钢丝绳的影响,而忽略了包含减速器和传动轴在内的传动系统的动态性能对钢丝绳振动的影响。然而,除了绳槽和折线区域外,提升机传动系统的振动同样能够引发钢丝绳端部的位移,进而导致提升系统的振动并产生双绳张力差。这种双绳张力又会反作用于传动系统,改变其动态特性,从而进一步加剧提升系统钢丝绳的振动失稳现象。忽略传动系统与提升系统之间的相互影响关系可能会低估提升钢丝绳最大张力差。为此,龚宪生等[17-18]以双绳缠绕提升系统为研究对象,建立了弹性梁理论卷筒模型,并指出卷筒出绳方式与支轮布置位置的不合理组合会导致两钢丝绳间张力差异超过10%。该研究反映了卷筒动态性能对钢丝绳张力差的影响,但其没有探讨提升机传动系统与提升系统的相互作用。
为准确构建双绳缠绕式提升机动力学模型并展现传动系统与提升系统之间的耦合振动响应关系,首先,结合提升机运行过程中主要部件的动态特征,忽略绳槽及折线区的激励影响,采用有限单元法、集中质量法构建传动轴模型、行星齿轮减速器模型与提升系统“横-纵-侧”三向振动模型;其次,考虑传动系统与提升系统的几何构型关系与作用力传递方式,通过设置参变形函数与广义坐标变换,实现传动系统与提升系统的耦合交互作用;最后,建立双绳缠绕式提升机传动-提升耦合系统的动力学模型,并通过实验与实例计算对耦合系统模型进行验证。
1 双绳缠绕式提升机传动-提升耦合系统动力学模型
1.1 提升机传动系统与提升系统的力学模型
在实际工程应用中,为了提高提升机的运行效率与稳定性,通常为普通规格电机的传动系统配备减速器。图1所示为双绳缠绕式提升机示意图。由图1可见,传动系统主要包括减速器、传动轴、卷筒等,提升系统主要包括钢丝绳、天轮、容器等。传动系统与提升系统通过卷筒与钢丝绳悬绳进行耦合交互。
2025年9期/10.11817j.issn.1672-7207.2025.09.013/alternativeImage/FCCAF2DD-E1C7-46cc-A2FA-FB4F443D3AAF-F001.jpg)
传动系统减速器为行星齿轮减速器,由太阳轮、行星轮、内齿圈和行星架构成,其各构件的振动位移可记为2025年9期/10.11817j.issn.1672-7207.2025.09.013/alternativeImage/FCCAF2DD-E1C7-46cc-A2FA-FB4F443D3AAF-M001.jpg)
2025年9期/10.11817j.issn.1672-7207.2025.09.013/alternativeImage/FCCAF2DD-E1C7-46cc-A2FA-FB4F443D3AAF-M002.jpg)
2025年9期/10.11817j.issn.1672-7207.2025.09.013/alternativeImage/FCCAF2DD-E1C7-46cc-A2FA-FB4F443D3AAF-M003.jpg)
2025年9期/10.11817j.issn.1672-7207.2025.09.013/alternativeImage/FCCAF2DD-E1C7-46cc-A2FA-FB4F443D3AAF-M004.jpg)
2025年9期/10.11817j.issn.1672-7207.2025.09.013/alternativeImage/FCCAF2DD-E1C7-46cc-A2FA-FB4F443D3AAF-F002.jpg)
参照图2所示行星齿轮各构件的几何关系,可分别得到振动过程中第i个行星轮与太阳轮的相对位移2025年9期/10.11817j.issn.1672-7207.2025.09.013/alternativeImage/FCCAF2DD-E1C7-46cc-A2FA-FB4F443D3AAF-M005.jpg)
2025年9期/10.11817j.issn.1672-7207.2025.09.013/alternativeImage/FCCAF2DD-E1C7-46cc-A2FA-FB4F443D3AAF-M006.jpg)
2025年9期/10.11817j.issn.1672-7207.2025.09.013/alternativeImage/FCCAF2DD-E1C7-46cc-A2FA-FB4F443D3AAF-M007.jpg)
2025年9期/10.11817j.issn.1672-7207.2025.09.013/alternativeImage/FCCAF2DD-E1C7-46cc-A2FA-FB4F443D3AAF-M008.jpg)
2025年9期/10.11817j.issn.1672-7207.2025.09.013/alternativeImage/FCCAF2DD-E1C7-46cc-A2FA-FB4F443D3AAF-M009.jpg)
式中:2025年9期/10.11817j.issn.1672-7207.2025.09.013/alternativeImage/FCCAF2DD-E1C7-46cc-A2FA-FB4F443D3AAF-M010.jpg)
2025年9期/10.11817j.issn.1672-7207.2025.09.013/alternativeImage/FCCAF2DD-E1C7-46cc-A2FA-FB4F443D3AAF-M011.jpg)
2025年9期/10.11817j.issn.1672-7207.2025.09.013/alternativeImage/FCCAF2DD-E1C7-46cc-A2FA-FB4F443D3AAF-M012.jpg)
2025年9期/10.11817j.issn.1672-7207.2025.09.013/alternativeImage/FCCAF2DD-E1C7-46cc-A2FA-FB4F443D3AAF-M013.jpg)
2025年9期/10.11817j.issn.1672-7207.2025.09.013/alternativeImage/FCCAF2DD-E1C7-46cc-A2FA-FB4F443D3AAF-M014.jpg)
2025年9期/10.11817j.issn.1672-7207.2025.09.013/alternativeImage/FCCAF2DD-E1C7-46cc-A2FA-FB4F443D3AAF-M015.jpg)
2025年9期/10.11817j.issn.1672-7207.2025.09.013/alternativeImage/FCCAF2DD-E1C7-46cc-A2FA-FB4F443D3AAF-M016.jpg)
2025年9期/10.11817j.issn.1672-7207.2025.09.013/alternativeImage/FCCAF2DD-E1C7-46cc-A2FA-FB4F443D3AAF-M017.jpg)
2025年9期/10.11817j.issn.1672-7207.2025.09.013/alternativeImage/FCCAF2DD-E1C7-46cc-A2FA-FB4F443D3AAF-M018.jpg)
2025年9期/10.11817j.issn.1672-7207.2025.09.013/alternativeImage/FCCAF2DD-E1C7-46cc-A2FA-FB4F443D3AAF-M019.jpg)
2025年9期/10.11817j.issn.1672-7207.2025.09.013/alternativeImage/FCCAF2DD-E1C7-46cc-A2FA-FB4F443D3AAF-M020.jpg)
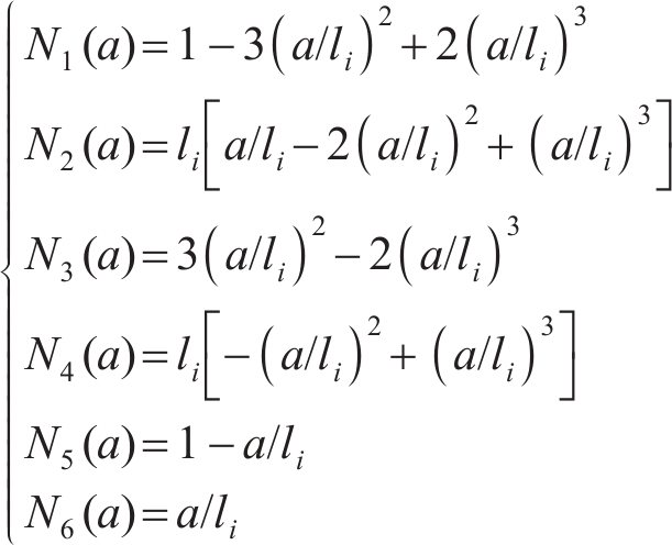
传动轴与减速器相连,承担着传递转速和扭矩的作用,当其受到外部激励或减速器振动激扰时,会发生弹性变形,进而影响卷筒与提升钢丝绳的振动响应。结合工程实际,考虑传动轴的几何构型与弹性变形特征,采用有限单元法建立传动轴的动力学模型。
将传动轴划分为n个轴段单元,选择第i个轴段单元为研究对象,该单元轴向长度为2025年9期/10.11817j.issn.1672-7207.2025.09.013/alternativeImage/FCCAF2DD-E1C7-46cc-A2FA-FB4F443D3AAF-M021.jpg)
2025年9期/10.11817j.issn.1672-7207.2025.09.013/alternativeImage/FCCAF2DD-E1C7-46cc-A2FA-FB4F443D3AAF-M022.jpg)
2025年9期/10.11817j.issn.1672-7207.2025.09.013/alternativeImage/FCCAF2DD-E1C7-46cc-A2FA-FB4F443D3AAF-M023.jpg)
2025年9期/10.11817j.issn.1672-7207.2025.09.013/alternativeImage/FCCAF2DD-E1C7-46cc-A2FA-FB4F443D3AAF-M024.jpg)
2025年9期/10.11817j.issn.1672-7207.2025.09.013/alternativeImage/FCCAF2DD-E1C7-46cc-A2FA-FB4F443D3AAF-M025.jpg)
2025年9期/10.11817j.issn.1672-7207.2025.09.013/alternativeImage/FCCAF2DD-E1C7-46cc-A2FA-FB4F443D3AAF-M026.jpg)
2025年9期/10.11817j.issn.1672-7207.2025.09.013/alternativeImage/FCCAF2DD-E1C7-46cc-A2FA-FB4F443D3AAF-M027.jpg)
2025年9期/10.11817j.issn.1672-7207.2025.09.013/alternativeImage/FCCAF2DD-E1C7-46cc-A2FA-FB4F443D3AAF-M028.jpg)
2025年9期/10.11817j.issn.1672-7207.2025.09.013/alternativeImage/FCCAF2DD-E1C7-46cc-A2FA-FB4F443D3AAF-M029.jpg)
式中:2025年9期/10.11817j.issn.1672-7207.2025.09.013/alternativeImage/FCCAF2DD-E1C7-46cc-A2FA-FB4F443D3AAF-M030.jpg)
提升系统钢丝绳的振动与张力是工程中的主要关注对象,为了较真实反映提升系统的振动状态,构建提升系统“横-纵-侧”三向耦合振动集中参数模型。
1) 悬绳模型由2025年9期/10.11817j.issn.1672-7207.2025.09.013/alternativeImage/FCCAF2DD-E1C7-46cc-A2FA-FB4F443D3AAF-M031.jpg)
2025年9期/10.11817j.issn.1672-7207.2025.09.013/alternativeImage/FCCAF2DD-E1C7-46cc-A2FA-FB4F443D3AAF-M032.jpg)
2025年9期/10.11817j.issn.1672-7207.2025.09.013/alternativeImage/FCCAF2DD-E1C7-46cc-A2FA-FB4F443D3AAF-M033.jpg)
2) 垂绳模型由2025年9期/10.11817j.issn.1672-7207.2025.09.013/alternativeImage/FCCAF2DD-E1C7-46cc-A2FA-FB4F443D3AAF-M034.jpg)
2025年9期/10.11817j.issn.1672-7207.2025.09.013/alternativeImage/FCCAF2DD-E1C7-46cc-A2FA-FB4F443D3AAF-M035.jpg)
2025年9期/10.11817j.issn.1672-7207.2025.09.013/alternativeImage/FCCAF2DD-E1C7-46cc-A2FA-FB4F443D3AAF-M036.jpg)
3) 天轮视为刚性圆盘,考虑其振动对钢丝绳的影响,将其线位移与角位移记为2025年9期/10.11817j.issn.1672-7207.2025.09.013/alternativeImage/FCCAF2DD-E1C7-46cc-A2FA-FB4F443D3AAF-M037.jpg)
4) 容器视为刚体,根据实际工况,将容器位移简化为沿x、y和z方向位移与绕y轴转动,记为2025年9期/10.11817j.issn.1672-7207.2025.09.013/alternativeImage/FCCAF2DD-E1C7-46cc-A2FA-FB4F443D3AAF-M038.jpg)
双绳缠绕式提升机提升系统动力学模型如图3所示。
2025年9期/10.11817j.issn.1672-7207.2025.09.013/alternativeImage/FCCAF2DD-E1C7-46cc-A2FA-FB4F443D3AAF-F003.jpg)
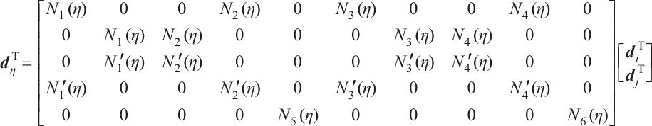
1.2 传动系统与提升系统耦合环节建模
提升机卷筒由轮毂与筒壳构成,传动系统激扰经由轮毂作用于筒壳。改变筒壳与悬绳端部连接处的振动位移,从而影响提升系统钢丝绳的振动状态,引发张力变化。同时,提升系统钢丝绳张力变化又会作用于卷筒,双绳结构出现张力差时会使卷筒产生扭振,进一步加强传动系统激扰对提升系统钢丝绳振动状态的影响。因此,为合理反映传动系统与提升系统耦合环节的力学与几何关系,考虑卷筒的实际构型与作用力传递方式,将卷筒轮毂视为刚性圆盘,筒壳对悬绳端部的作用通过参变形函数实现,构建了传动-提升系统耦合环节的动力学模型,如图4所示。由图4可见,轮毂质心与轴段单元节点相连,将相连单元节点位移分别记为2025年9期/10.11817j.issn.1672-7207.2025.09.013/alternativeImage/FCCAF2DD-E1C7-46cc-A2FA-FB4F443D3AAF-M039.jpg)
2025年9期/10.11817j.issn.1672-7207.2025.09.013/alternativeImage/FCCAF2DD-E1C7-46cc-A2FA-FB4F443D3AAF-M040.jpg)
2025年9期/10.11817j.issn.1672-7207.2025.09.013/alternativeImage/FCCAF2DD-E1C7-46cc-A2FA-FB4F443D3AAF-M041.jpg)
2025年9期/10.11817j.issn.1672-7207.2025.09.013/alternativeImage/FCCAF2DD-E1C7-46cc-A2FA-FB4F443D3AAF-M042.jpg)
2025年9期/10.11817j.issn.1672-7207.2025.09.013/alternativeImage/FCCAF2DD-E1C7-46cc-A2FA-FB4F443D3AAF-M043.jpg)
式中:2025年9期/10.11817j.issn.1672-7207.2025.09.013/alternativeImage/FCCAF2DD-E1C7-46cc-A2FA-FB4F443D3AAF-M044.jpg)
2025年9期/10.11817j.issn.1672-7207.2025.09.013/alternativeImage/FCCAF2DD-E1C7-46cc-A2FA-FB4F443D3AAF-M045.jpg)
2025年9期/10.11817j.issn.1672-7207.2025.09.013/alternativeImage/FCCAF2DD-E1C7-46cc-A2FA-FB4F443D3AAF-M046.jpg)
2025年9期/10.11817j.issn.1672-7207.2025.09.013/alternativeImage/FCCAF2DD-E1C7-46cc-A2FA-FB4F443D3AAF-M047.jpg)
2025年9期/10.11817j.issn.1672-7207.2025.09.013/alternativeImage/FCCAF2DD-E1C7-46cc-A2FA-FB4F443D3AAF-M048.jpg)
2025年9期/10.11817j.issn.1672-7207.2025.09.013/alternativeImage/FCCAF2DD-E1C7-46cc-A2FA-FB4F443D3AAF-M049.jpg)
2025年9期/10.11817j.issn.1672-7207.2025.09.013/alternativeImage/FCCAF2DD-E1C7-46cc-A2FA-FB4F443D3AAF-F004.jpg)
在实际工程中,悬绳端部随时间沿卷筒轴向移动,因此,形函数中参数2025年9期/10.11817j.issn.1672-7207.2025.09.013/alternativeImage/FCCAF2DD-E1C7-46cc-A2FA-FB4F443D3AAF-M048.jpg)
2025年9期/10.11817j.issn.1672-7207.2025.09.013/alternativeImage/FCCAF2DD-E1C7-46cc-A2FA-FB4F443D3AAF-M049.jpg)
2025年9期/10.11817j.issn.1672-7207.2025.09.013/alternativeImage/FCCAF2DD-E1C7-46cc-A2FA-FB4F443D3AAF-M052.jpg)
2025年9期/10.11817j.issn.1672-7207.2025.09.013/alternativeImage/FCCAF2DD-E1C7-46cc-A2FA-FB4F443D3AAF-M053.jpg)
2025年9期/10.11817j.issn.1672-7207.2025.09.013/alternativeImage/FCCAF2DD-E1C7-46cc-A2FA-FB4F443D3AAF-M054.jpg)
2025年9期/10.11817j.issn.1672-7207.2025.09.013/alternativeImage/FCCAF2DD-E1C7-46cc-A2FA-FB4F443D3AAF-M055.jpg)
式中:2025年9期/10.11817j.issn.1672-7207.2025.09.013/alternativeImage/FCCAF2DD-E1C7-46cc-A2FA-FB4F443D3AAF-M056.jpg)
2025年9期/10.11817j.issn.1672-7207.2025.09.013/alternativeImage/FCCAF2DD-E1C7-46cc-A2FA-FB4F443D3AAF-M057.jpg)
参照图4所示卷筒与悬绳的几何关系,可建立悬绳端部振动位移2025年9期/10.11817j.issn.1672-7207.2025.09.013/alternativeImage/FCCAF2DD-E1C7-46cc-A2FA-FB4F443D3AAF-M058.jpg)
2025年9期/10.11817j.issn.1672-7207.2025.09.013/alternativeImage/FCCAF2DD-E1C7-46cc-A2FA-FB4F443D3AAF-M059.jpg)
2025年9期/10.11817j.issn.1672-7207.2025.09.013/alternativeImage/FCCAF2DD-E1C7-46cc-A2FA-FB4F443D3AAF-M060.jpg)
2025年9期/10.11817j.issn.1672-7207.2025.09.013/alternativeImage/FCCAF2DD-E1C7-46cc-A2FA-FB4F443D3AAF-M061.jpg)
2025年9期/10.11817j.issn.1672-7207.2025.09.013/alternativeImage/FCCAF2DD-E1C7-46cc-A2FA-FB4F443D3AAF-M062.jpg)
式中:上标1和2分别为左右2根悬绳的编号;2025年9期/10.11817j.issn.1672-7207.2025.09.013/alternativeImage/FCCAF2DD-E1C7-46cc-A2FA-FB4F443D3AAF-M063.jpg)
2025年9期/10.11817j.issn.1672-7207.2025.09.013/alternativeImage/FCCAF2DD-E1C7-46cc-A2FA-FB4F443D3AAF-M064.jpg)
1.3 提升机传动-提升耦合系统动力学方程
运用分析力学方法,选取传动系统与提升系统中各构件的振动位移为广义坐标,建立双绳缠绕式提升机传动-提升耦合系统的动力学方程。该系统的动能可写为:
2025年9期/10.11817j.issn.1672-7207.2025.09.013/alternativeImage/FCCAF2DD-E1C7-46cc-A2FA-FB4F443D3AAF-M065.jpg)
2025年9期/10.11817j.issn.1672-7207.2025.09.013/alternativeImage/FCCAF2DD-E1C7-46cc-A2FA-FB4F443D3AAF-M066.jpg)
式中:2025年9期/10.11817j.issn.1672-7207.2025.09.013/alternativeImage/FCCAF2DD-E1C7-46cc-A2FA-FB4F443D3AAF-M067.jpg)
2025年9期/10.11817j.issn.1672-7207.2025.09.013/alternativeImage/FCCAF2DD-E1C7-46cc-A2FA-FB4F443D3AAF-M068.jpg)
2025年9期/10.11817j.issn.1672-7207.2025.09.013/alternativeImage/FCCAF2DD-E1C7-46cc-A2FA-FB4F443D3AAF-M069.jpg)
2025年9期/10.11817j.issn.1672-7207.2025.09.013/alternativeImage/FCCAF2DD-E1C7-46cc-A2FA-FB4F443D3AAF-M070.jpg)
2025年9期/10.11817j.issn.1672-7207.2025.09.013/alternativeImage/FCCAF2DD-E1C7-46cc-A2FA-FB4F443D3AAF-M071.jpg)
2025年9期/10.11817j.issn.1672-7207.2025.09.013/alternativeImage/FCCAF2DD-E1C7-46cc-A2FA-FB4F443D3AAF-M072.jpg)
2025年9期/10.11817j.issn.1672-7207.2025.09.013/alternativeImage/FCCAF2DD-E1C7-46cc-A2FA-FB4F443D3AAF-M073.jpg)
2025年9期/10.11817j.issn.1672-7207.2025.09.013/alternativeImage/FCCAF2DD-E1C7-46cc-A2FA-FB4F443D3AAF-M074.jpg)
2025年9期/10.11817j.issn.1672-7207.2025.09.013/alternativeImage/FCCAF2DD-E1C7-46cc-A2FA-FB4F443D3AAF-M075.jpg)
2025年9期/10.11817j.issn.1672-7207.2025.09.013/alternativeImage/FCCAF2DD-E1C7-46cc-A2FA-FB4F443D3AAF-M076.jpg)
2025年9期/10.11817j.issn.1672-7207.2025.09.013/alternativeImage/FCCAF2DD-E1C7-46cc-A2FA-FB4F443D3AAF-M077.jpg)
2025年9期/10.11817j.issn.1672-7207.2025.09.013/alternativeImage/FCCAF2DD-E1C7-46cc-A2FA-FB4F443D3AAF-M078.jpg)
2025年9期/10.11817j.issn.1672-7207.2025.09.013/alternativeImage/FCCAF2DD-E1C7-46cc-A2FA-FB4F443D3AAF-M079.jpg)
2025年9期/10.11817j.issn.1672-7207.2025.09.013/alternativeImage/FCCAF2DD-E1C7-46cc-A2FA-FB4F443D3AAF-M080.jpg)
2025年9期/10.11817j.issn.1672-7207.2025.09.013/alternativeImage/FCCAF2DD-E1C7-46cc-A2FA-FB4F443D3AAF-M081.jpg)
上述物理量的相关表达式为:
2025年9期/10.11817j.issn.1672-7207.2025.09.013/alternativeImage/FCCAF2DD-E1C7-46cc-A2FA-FB4F443D3AAF-M082.jpg)
2025年9期/10.11817j.issn.1672-7207.2025.09.013/alternativeImage/FCCAF2DD-E1C7-46cc-A2FA-FB4F443D3AAF-M083.jpg)
2025年9期/10.11817j.issn.1672-7207.2025.09.013/alternativeImage/FCCAF2DD-E1C7-46cc-A2FA-FB4F443D3AAF-M084.jpg)
2025年9期/10.11817j.issn.1672-7207.2025.09.013/alternativeImage/FCCAF2DD-E1C7-46cc-A2FA-FB4F443D3AAF-M085.jpg)
2025年9期/10.11817j.issn.1672-7207.2025.09.013/alternativeImage/FCCAF2DD-E1C7-46cc-A2FA-FB4F443D3AAF-M086.jpg)
2025年9期/10.11817j.issn.1672-7207.2025.09.013/alternativeImage/FCCAF2DD-E1C7-46cc-A2FA-FB4F443D3AAF-M087.jpg)
2025年9期/10.11817j.issn.1672-7207.2025.09.013/alternativeImage/FCCAF2DD-E1C7-46cc-A2FA-FB4F443D3AAF-M088.jpg)
2025年9期/10.11817j.issn.1672-7207.2025.09.013/alternativeImage/FCCAF2DD-E1C7-46cc-A2FA-FB4F443D3AAF-M089.jpg)
2025年9期/10.11817j.issn.1672-7207.2025.09.013/alternativeImage/FCCAF2DD-E1C7-46cc-A2FA-FB4F443D3AAF-M090.jpg)
2025年9期/10.11817j.issn.1672-7207.2025.09.013/alternativeImage/FCCAF2DD-E1C7-46cc-A2FA-FB4F443D3AAF-M091.jpg)
2025年9期/10.11817j.issn.1672-7207.2025.09.013/alternativeImage/FCCAF2DD-E1C7-46cc-A2FA-FB4F443D3AAF-M092.jpg)
2025年9期/10.11817j.issn.1672-7207.2025.09.013/alternativeImage/FCCAF2DD-E1C7-46cc-A2FA-FB4F443D3AAF-M093.jpg)
2025年9期/10.11817j.issn.1672-7207.2025.09.013/alternativeImage/FCCAF2DD-E1C7-46cc-A2FA-FB4F443D3AAF-M094.jpg)
2025年9期/10.11817j.issn.1672-7207.2025.09.013/alternativeImage/FCCAF2DD-E1C7-46cc-A2FA-FB4F443D3AAF-M095.jpg)
2025年9期/10.11817j.issn.1672-7207.2025.09.013/alternativeImage/FCCAF2DD-E1C7-46cc-A2FA-FB4F443D3AAF-M096.jpg)
2025年9期/10.11817j.issn.1672-7207.2025.09.013/alternativeImage/FCCAF2DD-E1C7-46cc-A2FA-FB4F443D3AAF-M097.jpg)
双绳缠绕式提升机传动-提升耦合系统的势能可写为:
2025年9期/10.11817j.issn.1672-7207.2025.09.013/alternativeImage/FCCAF2DD-E1C7-46cc-A2FA-FB4F443D3AAF-M098.jpg)
式中:2025年9期/10.11817j.issn.1672-7207.2025.09.013/alternativeImage/FCCAF2DD-E1C7-46cc-A2FA-FB4F443D3AAF-M099.jpg)
2025年9期/10.11817j.issn.1672-7207.2025.09.013/alternativeImage/FCCAF2DD-E1C7-46cc-A2FA-FB4F443D3AAF-M100.jpg)
2025年9期/10.11817j.issn.1672-7207.2025.09.013/alternativeImage/FCCAF2DD-E1C7-46cc-A2FA-FB4F443D3AAF-M101.jpg)
2025年9期/10.11817j.issn.1672-7207.2025.09.013/alternativeImage/FCCAF2DD-E1C7-46cc-A2FA-FB4F443D3AAF-M102.jpg)
2025年9期/10.11817j.issn.1672-7207.2025.09.013/alternativeImage/FCCAF2DD-E1C7-46cc-A2FA-FB4F443D3AAF-M103.jpg)
2025年9期/10.11817j.issn.1672-7207.2025.09.013/alternativeImage/FCCAF2DD-E1C7-46cc-A2FA-FB4F443D3AAF-M104.jpg)
2025年9期/10.11817j.issn.1672-7207.2025.09.013/alternativeImage/FCCAF2DD-E1C7-46cc-A2FA-FB4F443D3AAF-M105.jpg)
2025年9期/10.11817j.issn.1672-7207.2025.09.013/alternativeImage/FCCAF2DD-E1C7-46cc-A2FA-FB4F443D3AAF-M106.jpg)
2025年9期/10.11817j.issn.1672-7207.2025.09.013/alternativeImage/FCCAF2DD-E1C7-46cc-A2FA-FB4F443D3AAF-M107.jpg)
2025年9期/10.11817j.issn.1672-7207.2025.09.013/alternativeImage/FCCAF2DD-E1C7-46cc-A2FA-FB4F443D3AAF-M108.jpg)
2025年9期/10.11817j.issn.1672-7207.2025.09.013/alternativeImage/FCCAF2DD-E1C7-46cc-A2FA-FB4F443D3AAF-M109.jpg)
2025年9期/10.11817j.issn.1672-7207.2025.09.013/alternativeImage/FCCAF2DD-E1C7-46cc-A2FA-FB4F443D3AAF-M110.jpg)
2025年9期/10.11817j.issn.1672-7207.2025.09.013/alternativeImage/FCCAF2DD-E1C7-46cc-A2FA-FB4F443D3AAF-M111.jpg)
2025年9期/10.11817j.issn.1672-7207.2025.09.013/alternativeImage/FCCAF2DD-E1C7-46cc-A2FA-FB4F443D3AAF-M112.jpg)
2025年9期/10.11817j.issn.1672-7207.2025.09.013/alternativeImage/FCCAF2DD-E1C7-46cc-A2FA-FB4F443D3AAF-M113.jpg)
式中:2025年9期/10.11817j.issn.1672-7207.2025.09.013/alternativeImage/FCCAF2DD-E1C7-46cc-A2FA-FB4F443D3AAF-M114.jpg)
2025年9期/10.11817j.issn.1672-7207.2025.09.013/alternativeImage/FCCAF2DD-E1C7-46cc-A2FA-FB4F443D3AAF-M115.jpg)
2025年9期/10.11817j.issn.1672-7207.2025.09.013/alternativeImage/FCCAF2DD-E1C7-46cc-A2FA-FB4F443D3AAF-M116.jpg)
2025年9期/10.11817j.issn.1672-7207.2025.09.013/alternativeImage/FCCAF2DD-E1C7-46cc-A2FA-FB4F443D3AAF-M117.jpg)
2025年9期/10.11817j.issn.1672-7207.2025.09.013/alternativeImage/FCCAF2DD-E1C7-46cc-A2FA-FB4F443D3AAF-M118.jpg)
2025年9期/10.11817j.issn.1672-7207.2025.09.013/alternativeImage/FCCAF2DD-E1C7-46cc-A2FA-FB4F443D3AAF-M119.jpg)
2025年9期/10.11817j.issn.1672-7207.2025.09.013/alternativeImage/FCCAF2DD-E1C7-46cc-A2FA-FB4F443D3AAF-M120.jpg)
2025年9期/10.11817j.issn.1672-7207.2025.09.013/alternativeImage/FCCAF2DD-E1C7-46cc-A2FA-FB4F443D3AAF-M121.jpg)
2025年9期/10.11817j.issn.1672-7207.2025.09.013/alternativeImage/FCCAF2DD-E1C7-46cc-A2FA-FB4F443D3AAF-M122.jpg)
2025年9期/10.11817j.issn.1672-7207.2025.09.013/alternativeImage/FCCAF2DD-E1C7-46cc-A2FA-FB4F443D3AAF-M123.jpg)
2025年9期/10.11817j.issn.1672-7207.2025.09.013/alternativeImage/FCCAF2DD-E1C7-46cc-A2FA-FB4F443D3AAF-M124.jpg)
2025年9期/10.11817j.issn.1672-7207.2025.09.013/alternativeImage/FCCAF2DD-E1C7-46cc-A2FA-FB4F443D3AAF-M125.jpg)
2025年9期/10.11817j.issn.1672-7207.2025.09.013/alternativeImage/FCCAF2DD-E1C7-46cc-A2FA-FB4F443D3AAF-M126.jpg)
2025年9期/10.11817j.issn.1672-7207.2025.09.013/alternativeImage/FCCAF2DD-E1C7-46cc-A2FA-FB4F443D3AAF-M127.jpg)
2025年9期/10.11817j.issn.1672-7207.2025.09.013/alternativeImage/FCCAF2DD-E1C7-46cc-A2FA-FB4F443D3AAF-M128.jpg)
2025年9期/10.11817j.issn.1672-7207.2025.09.013/alternativeImage/FCCAF2DD-E1C7-46cc-A2FA-FB4F443D3AAF-M129.jpg)
2025年9期/10.11817j.issn.1672-7207.2025.09.013/alternativeImage/FCCAF2DD-E1C7-46cc-A2FA-FB4F443D3AAF-M130.jpg)
2025年9期/10.11817j.issn.1672-7207.2025.09.013/alternativeImage/FCCAF2DD-E1C7-46cc-A2FA-FB4F443D3AAF-M131.jpg)
2025年9期/10.11817j.issn.1672-7207.2025.09.013/alternativeImage/FCCAF2DD-E1C7-46cc-A2FA-FB4F443D3AAF-M132.jpg)
2025年9期/10.11817j.issn.1672-7207.2025.09.013/alternativeImage/FCCAF2DD-E1C7-46cc-A2FA-FB4F443D3AAF-M133.jpg)
2025年9期/10.11817j.issn.1672-7207.2025.09.013/alternativeImage/FCCAF2DD-E1C7-46cc-A2FA-FB4F443D3AAF-M134.jpg)
2025年9期/10.11817j.issn.1672-7207.2025.09.013/alternativeImage/FCCAF2DD-E1C7-46cc-A2FA-FB4F443D3AAF-M135.jpg)
2025年9期/10.11817j.issn.1672-7207.2025.09.013/alternativeImage/FCCAF2DD-E1C7-46cc-A2FA-FB4F443D3AAF-M136.jpg)
2025年9期/10.11817j.issn.1672-7207.2025.09.013/alternativeImage/FCCAF2DD-E1C7-46cc-A2FA-FB4F443D3AAF-M137.jpg)
2025年9期/10.11817j.issn.1672-7207.2025.09.013/alternativeImage/FCCAF2DD-E1C7-46cc-A2FA-FB4F443D3AAF-M138.jpg)
2025年9期/10.11817j.issn.1672-7207.2025.09.013/alternativeImage/FCCAF2DD-E1C7-46cc-A2FA-FB4F443D3AAF-M139.jpg)
2025年9期/10.11817j.issn.1672-7207.2025.09.013/alternativeImage/FCCAF2DD-E1C7-46cc-A2FA-FB4F443D3AAF-M140.jpg)
2025年9期/10.11817j.issn.1672-7207.2025.09.013/alternativeImage/FCCAF2DD-E1C7-46cc-A2FA-FB4F443D3AAF-M141.jpg)
2025年9期/10.11817j.issn.1672-7207.2025.09.013/alternativeImage/FCCAF2DD-E1C7-46cc-A2FA-FB4F443D3AAF-M142.jpg)
2025年9期/10.11817j.issn.1672-7207.2025.09.013/alternativeImage/FCCAF2DD-E1C7-46cc-A2FA-FB4F443D3AAF-M143.jpg)
2025年9期/10.11817j.issn.1672-7207.2025.09.013/alternativeImage/FCCAF2DD-E1C7-46cc-A2FA-FB4F443D3AAF-M144.jpg)
将系统动能与势能进行整理,通过拉格朗日方程可得提升机传动-提升耦合系统的动力学方程为:
2025年9期/10.11817j.issn.1672-7207.2025.09.013/alternativeImage/FCCAF2DD-E1C7-46cc-A2FA-FB4F443D3AAF-M145.jpg)
式中:2025年9期/10.11817j.issn.1672-7207.2025.09.013/alternativeImage/FCCAF2DD-E1C7-46cc-A2FA-FB4F443D3AAF-M146.jpg)
2025年9期/10.11817j.issn.1672-7207.2025.09.013/alternativeImage/FCCAF2DD-E1C7-46cc-A2FA-FB4F443D3AAF-M147.jpg)
2025年9期/10.11817j.issn.1672-7207.2025.09.013/alternativeImage/FCCAF2DD-E1C7-46cc-A2FA-FB4F443D3AAF-M148.jpg)
2025年9期/10.11817j.issn.1672-7207.2025.09.013/alternativeImage/FCCAF2DD-E1C7-46cc-A2FA-FB4F443D3AAF-M149.jpg)
2025年9期/10.11817j.issn.1672-7207.2025.09.013/alternativeImage/FCCAF2DD-E1C7-46cc-A2FA-FB4F443D3AAF-M150.jpg)
2025年9期/10.11817j.issn.1672-7207.2025.09.013/alternativeImage/FCCAF2DD-E1C7-46cc-A2FA-FB4F443D3AAF-F005.jpg)
2 实验验证
2.1 实验平台设计与搭建
为验证双绳缠绕式提升机传动-提升耦合系统动力学模型的准确性,设计并搭建了双绳缠绕式提升实验平台。该实验平台主要由机械框架、驱动电机、二级行星齿轮减速器、传动轴、卷筒、钢丝绳、天轮、罐道、重物以及相应的支承、制动设备组成。根据双绳缠绕式提升机的工作原理,驱动电机提供动力,经减速器降低转速并增大扭矩,通过传动轴传至卷筒,卷筒带动2根钢丝绳,通过天轮导向与罐道约束,提升或下放重物。参照《多绳缠绕式矿井提升机》[22],根据提升钢丝绳等效关系与提升时间等效关系[23],结合现有实验条件,设计实验平台的主要参数。
2025年9期/10.11817j.issn.1672-7207.2025.09.013/alternativeImage/FCCAF2DD-E1C7-46cc-A2FA-FB4F443D3AAF-M151.jpg)
提升高度与提升时间的关系可表示为:
2025年9期/10.11817j.issn.1672-7207.2025.09.013/alternativeImage/FCCAF2DD-E1C7-46cc-A2FA-FB4F443D3AAF-M152.jpg)
式中:2025年9期/10.11817j.issn.1672-7207.2025.09.013/alternativeImage/FCCAF2DD-E1C7-46cc-A2FA-FB4F443D3AAF-M153.jpg)
2025年9期/10.11817j.issn.1672-7207.2025.09.013/alternativeImage/FCCAF2DD-E1C7-46cc-A2FA-FB4F443D3AAF-M154.jpg)
2025年9期/10.11817j.issn.1672-7207.2025.09.013/alternativeImage/FCCAF2DD-E1C7-46cc-A2FA-FB4F443D3AAF-M155.jpg)
2025年9期/10.11817j.issn.1672-7207.2025.09.013/alternativeImage/FCCAF2DD-E1C7-46cc-A2FA-FB4F443D3AAF-M156.jpg)
2025年9期/10.11817j.issn.1672-7207.2025.09.013/alternativeImage/FCCAF2DD-E1C7-46cc-A2FA-FB4F443D3AAF-M157.jpg)
2025年9期/10.11817j.issn.1672-7207.2025.09.013/alternativeImage/FCCAF2DD-E1C7-46cc-A2FA-FB4F443D3AAF-M158.jpg)
2025年9期/10.11817j.issn.1672-7207.2025.09.013/alternativeImage/FCCAF2DD-E1C7-46cc-A2FA-FB4F443D3AAF-M159.jpg)
2025年9期/10.11817j.issn.1672-7207.2025.09.013/alternativeImage/FCCAF2DD-E1C7-46cc-A2FA-FB4F443D3AAF-M160.jpg)
2025年9期/10.11817j.issn.1672-7207.2025.09.013/alternativeImage/FCCAF2DD-E1C7-46cc-A2FA-FB4F443D3AAF-M161.jpg)
2025年9期/10.11817j.issn.1672-7207.2025.09.013/alternativeImage/FCCAF2DD-E1C7-46cc-A2FA-FB4F443D3AAF-M162.jpg)
实验平台的主要参数如表1所示,通过式(26)~(27)可知,该实验平台可以对《多绳缠绕式矿井提升机》中提升高度为500~800 m的(2JKD-4×3与2JKD-4.5×3.4)双绳缠绕式提升机进行模拟。
| 参数 | 数值 | 参数 | 数值 |
|---|---|---|---|
| 减速器太阳轮齿数/个 | 36,27 | 卷筒长度/m | 0.25 |
| 减速器行星轮齿数/个 | 36,40 | 筒壳厚度/mm | 1 |
| 减速器内齿圈齿数/个 | 108,108 | 提升高度/m | 1.9 |
| 减速器模数/mm | 0.4 | 悬绳长度/m | 2.2 |
| 传动轴直径/m | 0.02 | 天轮直径/m | 0.16 |
| 传动轴长度/m | 0.8 | 重物质量/kg | 10 |
| 卷筒直径/m | 0.2 | 钢丝绳直径/m | 0.003 |
2个张力传感器安装在提升钢丝绳末端,与重物固定连接,用于测量钢丝绳末端张力;2个加速度传感器固定于钢丝绳末端上方0.1 m处,用于测量该处钢丝绳横向振动加速度;利用数据采集设备采集信号并进行识别记录,进而分析提升钢丝绳的动态响应。
2.2 实验方式与结果
为满足实验目的并使实验效果更显著,采用激励响应实验方式进行实验。在提升过程中,对卷筒左侧轮毂实施时间为1 s的紧急制动,以观测钢丝绳的横向振动加速度及张力差的变化。随后,将实验平台参数代入耦合系统模型,并模拟与实验相同的外部输入激励,即对卷筒左侧轮毂施加阶跃制动力,计算钢丝绳的输出响应,并将计算结果与实验结果进行比较。以电机转速250 r/min的提升过程为例,分别绘制实验、模型的钢丝绳张力差时程曲线与左侧钢丝绳横向振动加速度时程曲线,如图6所示。此外,为进一步验证耦合系统模型的准确性,分别选取200、250和300 r/min电机转速的提升过程进行实验和计算,结果见表2。
2025年9期/10.11817j.issn.1672-7207.2025.09.013/alternativeImage/FCCAF2DD-E1C7-46cc-A2FA-FB4F443D3AAF-F006.jpg)
| 参数 | 电机转速/(r·min-1) | 实验均值 | 模型均值 | 实验标 准差 | 模型标 准差 | 实验最大绝对值 | 模型最大绝对值 |
|---|---|---|---|---|---|---|---|
| 左侧钢丝绳振动加速度/(m·s-2) | 200 | -0.001 | -2.24×10-5 | 0.006 | 0.004 9 | 0.027 | 0.021 9 |
| 250 | -0.001 | -2.26×10-5 | 0.007 | 0.005 8 | 0.031 | 0.025 1 | |
| 300 | -0.001 | -2.32×10-5 | 0.009 | 0.007 7 | 0.036 | 0.029 0 | |
| 右侧钢丝绳振动加速度/(m·s-2) | 200 | 0.001 | 4.67×10-6 | 0.003 | 0.002 5 | 0.013 | 0.010 8 |
| 250 | 0.001 | 4.72×10-6 | 0.004 | 0.003 1 | 0.014 | 0.011 5 | |
| 300 | 0.001 | 4.81×10-6 | 0.004 | 0.003 3 | 0.016 | 0.013 1 | |
| 张力差/N | 200 | 0.010 | 0.005 2 | 0.070 | 0.058 7 | 0.240 | 0.194 9 |
| 250 | 0.010 | 0.005 2 | 0.090 | 0.072 1 | 0.290 | 0.238 6 | |
| 300 | 0.010 | 0.005 5 | 0.150 | 0.125 3 | 0.440 | 0.357 7 |
由图6与表2可见,虽然实验测得的钢丝绳振动加速度与张力差因受外界因素影响大于理论模型结果,但二者在数量级上保持一致。图6表明耦合系统模型与实验测得的钢丝绳振动加速度与张力差的时程曲线在响应趋势及规律上表现出较高的一致性;表2表明,在不同电机转速下,2种方法得到的响应均值、标准差、最大值均接近。上述结果验证了双绳缠绕式提升机传动-提升耦合系统动力学模型的准确性,表明该模型能够有效模拟实际系统的动态行为。
3 实例计算结果与模型结果对比
3.1 双绳缠绕式提升机实例计算
以2JKD-4×3型号双绳缠绕式提升机为研究对象,减速器采用ZZL1000型号二级行星齿轮减速器,该提升机主要参数如表3所示,暂不考虑传动轴联轴器弹性变形影响。提升机运行位移曲线与速度曲线如图7所示。
| 参数 | 数值 |
|---|---|
| 减速器太阳轮齿数/个 | 25,27 |
| 减速器行星轮齿数/个 | 38,40 |
| 减速器内齿圈齿数/个 | 101,108 |
| 减速器模数/mm | 10 |
| 传动轴直径/m | 0.56 |
| 传动轴长度/m | 4.5 |
| 卷筒直径/m | 4 |
| 单绳缠绕区宽度/m | 1.48 |
| 筒壳厚度/mm | 25 |
| 最大提升高度/m | 1 200 |
| 最大提升速度/(m·s-1) | 13 |
| 天轮直径/m | 4 |
| 重物质量/kg | 10 000 |
| 钢丝绳最大直径/mm | 50 |
2025年9期/10.11817j.issn.1672-7207.2025.09.013/alternativeImage/FCCAF2DD-E1C7-46cc-A2FA-FB4F443D3AAF-F007.jpg)
将双绳缠绕式提升机相关参数代入式(25)进行计算。采用Newmark-β法,时间步长取0.01 s,得到提升系统钢丝绳的振动时程响应。以容器上端0.5 m处钢丝绳响应为分析对象,将该处钢丝绳在x、y和z方向振动响应加速度与2根钢丝绳张力差计算结果汇总至表4中,并选取钢丝绳y方向振动响应与钢丝绳张力差绘制时程曲线,如图8所示。
| 名称 | 振动响应加速度/(m·s-2) | 张力差/N | ||
|---|---|---|---|---|
| x方向 | y方向 | z方向 | ||
绳1号均值 绳2号均值 | 0.018 | -3.2×10-6 | 4.5×10-6 | -5.428 |
| 0.018 | 4.1×10-6 | 3.2×10-6 | ||
绳1号标准差 绳2号标准差 | 14.830 | 4.2×10-2 | 4.1×10-2 | 17.866 |
| 14.790 | 2.9×10-2 | 3.4×10-2 | ||
绳1号最大值 绳2号最大值 | 27.510 | 0.14 | 0.18 | 48.782 |
| 27.480 | 0.12 | 0.14 | ||
2025年9期/10.11817j.issn.1672-7207.2025.09.013/alternativeImage/FCCAF2DD-E1C7-46cc-A2FA-FB4F443D3AAF-F008.jpg)
由图8和表4可见:在正常提升工况下,传动-提升耦合系统引发钢丝绳纵向(x方向)振动显著大于横、侧方向振动,印证了实际工程中关注钢丝绳纵向振动张力差的必要性;钢丝绳2号的振动幅值略小于钢丝绳1号的振动幅值,体现了传动系统弹性变形与作用力传递方式对提升系统钢丝绳的影响;计算结果与实际结果相符,说明了运用传动-提升耦合系统动力学模型计算双绳缠绕式提升机钢丝绳振动响应的有效性。
3.2 多工况下不同模型得到的最大张力差对比
为进一步验证传动-提升耦合系统动力学模型的适用性,依次选取正常工况(工况1)、传动系统非同步制动工况(工况2)、提升系统单侧天轮偏摆工况(工况3)为计算背景,分别运用耦合系统模型(模型1)、刚性卷筒提升模型(模型2)与弹性梁理论卷筒模型(模型3)计算3.1节中的实例,并逐一改变实例中转轴直径、筒壳厚度、卷筒直径等结构参数,对比分析3种模型的计算结果,对实际工程中最关注的钢丝绳最大张力差进行汇总,结果如图9所示。其中,对单侧天轮施加正弦位移激励(幅值为0.2 mm),模拟提升系统单侧天轮偏摆工况[23];对卷筒两端轮毂施加等幅阶跃载荷(时间间隔为1 s),模拟传动系统非同步制动工况[24-25]。
2025年9期/10.11817j.issn.1672-7207.2025.09.013/alternativeImage/FCCAF2DD-E1C7-46cc-A2FA-FB4F443D3AAF-F009.jpg)
由图9可见:与刚性卷筒提升模型(模型2)相比,耦合系统模型(模型1)的计算结果明显偏离了相应工况下张力差的初始范围;与弹性梁理论卷筒模型(模型3)相比,耦合系统模型(模型1)计算结果不仅在幅值上呈更显著的变化趋势(正常工况、传动系统非同步制动工况与提升系统单侧天轮偏摆工况下的张力差变化率极值分别为15.12%、18.61%和4.72%),同时还能有效反映出转轴直径对钢丝绳张力差所产生的影响。在耦合系统模型(模型1)中,钢丝绳最大张力差与卷筒直径呈正相关,而与转轴直径和筒壳厚度呈负相关。
在正常工况(工况1)下,转轴直径与筒壳厚度变化引发的最大张力差幅值趋于稳定,分别稳定在46 N和68 N附近;在非同步制动工况(工况2)下,筒壳厚度与卷筒直径变化所导致的最大张力差幅值较接近,最大误差不超过25%;而在单侧天轮偏摆工况(工况3)下,转轴直径与筒壳厚度变化所引起最大张力差呈现出平缓变化趋势,变化率分别在0.9%和0.7%以内。这表明耦合系统模型能够有效反映传动系统结构参数对提升钢丝绳动态性能的影响,若忽略传动系统与提升系统的耦合作用,则会低估钢丝绳最大张力差幅值,从而进一步验证了传动-提升耦合系统动力学模型的适用性和有效性。
4 结论
1) 提出了一种双绳缠绕式提升机传动-提升耦合系统的动力学计算模型。
2) 理论模型与实验测得的钢丝绳振动加速度及张力差时域特征参数(包括均值、标准差及最大值)在数量级上保持一致,相对误差在19%以内,且响应趋势表现出较高一致性,验证了双绳缠绕式提升机传动-提升耦合系统动力学模型的准确性。
3) 耦合系统模型计算结果幅值与变化趋势更显著,在正常工况、传动系统非同步制动工况与提升系统单侧天轮偏摆工况下,耦合系统模型的钢丝绳最大张力差的变化率极值分别为15.12%,18.61%和4.72%,而刚性卷筒提升模型仅分别为4.29%,5.42%和0.21%,弹性梁理论卷筒模型分别为7.84%,9.09%,1.45%,验证了双绳缠绕式提升机传动-提升耦合系统动力学模型的适用性与有效性。
胡鑫, 谢自强, 黄家海, 等. 双绳缠绕式提升机传动-提升耦合系统动力学模型建立[J]. 中南大学学报(自然科学版), 2025, 56(9): 3712-3723.
HU Xin, XIE Ziqiang, HUANG Jiahai, et al. Dynamic model establishment for transmission-hoisting coupled system of double-rope winding hoist[J]. Journal of Central South University(Science and Technology), 2025, 56(9): 3712-3723.
http://dx.doi.org/10.11817/j.issn.1672-7207.2025.09.013

