立式辊磨机集破碎、细化及高效选粉等关键工艺于一体,是一种环保节能设备,广泛应用于水泥生料、熟料及煤渣等物料处理[1]。磨辊对物料的研磨压力主要由液压系统提供,面对多变工况与参数波动,其具有复杂动力学特性和闭环不稳定性[2]。系统失稳易引发研磨系统的非稳定振动,从而损伤机械结构及传动系统[3]。
针对立磨机的控制,VIJAYABHASKAR等[4]基于立磨机四阶状态空间模型,设计了双自适应模型预测控制器(DAMPC),能够降低系统稳态误差,但难以体现立磨机的时变特性。MENG等[5]应用Bang-Bang与Fuzzy-PID控制器对立磨机转速实施调控,但其参数较难调整。AGUILA-CAMACHO等[6]采用粒子群算法(PSO)优化分数阶比例积分控制器,但其优化过程耗时较长,计算成本高。立磨机系统具有固有的复杂机液耦合特性,液压系统失稳引发机械本体的加卸载冲击,尚匮乏该领域内针对性控制策略研究,亟待深入探究与优化。
模糊PID控制器的相关参数难以调节,仿真试错法存在盲目性、效率低、精度低等问题[7]。群体智能算法已被广泛应用于参数优化中,是目前研究的热点[8]。林歆悠等[9]以油耗和排放优化性能作为参数,对插电式混合动力汽车的能量分配问题进行多目标优化控制,解决了汽车在服役期间能量分配问题。ZHANG等[10]提出融合混沌映射和倾斜帐篷映射的鲸鱼优化算法(WOA),发现其在优化四旋翼无人机的轨迹规划问题中动态性能更优。CARAVEO等[11]设计FUBCO-Fuzzy控制器,通过优化模糊控制器的输入、输出变量的隶属函数参数,以动态改变α、β参数,发现动态调整参数可以提高系统稳态特性。以上优化模糊PID控制器均提升了系统动态响应与稳态特性,但搜索效率与精度仍待提升。蜣螂算法[12]基于“滚动—产卵—觅食—偷窃”模拟框架,可求解问题的优化目标,广泛应用于频射曲线反演[13],振动信号预测[14]、路径规划[15]及故障诊断[16]等领域。然而,该算法存在种群多样性匮乏、全局搜索能力弱、易陷局部最优等问题。
本文首先基于立磨机机液耦合特性构建其仿真模型,并针对系统的非线性时变问题,设计模糊PID控制器;其次,引入佳点集与反向学习初始化、自适应繁殖偷窃和自适应混合变异策略,提出一种改进蜣螂优化算法(IDBO);最后,应用改进蜣螂优化算法优化模糊PID控制器的控制参数,从而改善立磨机液压系统的控制性能。
1 立磨机液压位置控制系统
1.1 控制系统结构
液压位置控制系统结构如图1所示,其涵盖PLC控制器、位移传感器、比例换向阀、液压缸、比例放大器等核心部件。该系统以立磨机液压缸为控制对象,以液压缸实时位移为控制参数,通过监测位移变化实现闭环反馈控制。
2025年9期/10.11817j.issn.1672-7207.2025.09.014/alternativeImage/0670A495-D557-483e-80F0-5BDECDE87054-F001.jpg)
将模糊PID控制引入控制系统,以目标与实际位移偏差作为输入,再由PLC控制器处理后输出为控制电信号。此信号经比例放大后作为换向阀的控制指令,精确调控液压杆位移,确保其趋于预设目标位移,以实现准确控制。
1.2 液压系统工作原理
在已有立磨机液压系统的基础上[17],PLC为系统的控制中枢,负责实时采集系统状态并执行控制逻辑,模糊PID控制算法则通过调整控制参数以优化控制效果。液压系统原理如图2所示。
2025年9期/10.11817j.issn.1672-7207.2025.09.014/alternativeImage/0670A495-D557-483e-80F0-5BDECDE87054-F002.jpg)
PLC作为主控单元,液压缸为系统的执行机构,其运行状态由电磁换向阀控制,定量泵为系统动力源。运行开始时,位移传感器将液压缸位移反馈至PLC,经程序逻辑处理控制电磁铁的通断状态,将电磁换向阀依据给定的电压信号转换为对阀芯的轴向力,进行油路切换。系统内置冷却器以保障散热功能,过滤器用于提升油液清洁度,溢流阀用于防止系统压力过载[17]。内置节流阀用于调节磨辊速度,蓄能器用于缓冲系统压力波动。
2 控制系统设计
2.1 模糊PID控制器
立磨机磨粉系统具有复杂动力学特性与闭环不稳定性[5]。为适应不同的工况与扰动,将模糊控制器与PID控制器相结合[18],以液压缸位移偏差及其变化率进行模糊推理,动态调整PID参数增量ΔKp、ΔKi、ΔKd,实现参数智能整定。模糊PID控制器结构如图3所示。
2025年9期/10.11817j.issn.1672-7207.2025.09.014/alternativeImage/0670A495-D557-483e-80F0-5BDECDE87054-F003.jpg)
模糊PID控制器调节输出电流驱动电液比例阀,实现磨辊位移调控。本文采用两输入(误差e以及其变化率c)、三输出(PID参数矫正量ΔKp、ΔKi、ΔKd)的Mamdani型模糊控制器。控制器变量的模糊论域为[-6 -4 -2 0 2 4 6],模糊子集为{NB,NM,NS,ZO,PS,PM,PB},对应{负大,负中,负小,零,正小,正中,正大},采取三角形隶属函数[18]。
模糊PID控制器的数学模型可表示为
2025年9期/10.11817j.issn.1672-7207.2025.09.014/alternativeImage/0670A495-D557-483e-80F0-5BDECDE87054-M001.jpg)
2025年9期/10.11817j.issn.1672-7207.2025.09.014/alternativeImage/0670A495-D557-483e-80F0-5BDECDE87054-M002.jpg)
式中:U(t)为模糊PID控制器的输出信号;e(t)为模糊PID控制器的输入信号,表征被控系统的误差;2025年9期/10.11817j.issn.1672-7207.2025.09.014/alternativeImage/0670A495-D557-483e-80F0-5BDECDE87054-M003.jpg)
2025年9期/10.11817j.issn.1672-7207.2025.09.014/alternativeImage/0670A495-D557-483e-80F0-5BDECDE87054-M004.jpg)
2025年9期/10.11817j.issn.1672-7207.2025.09.014/alternativeImage/0670A495-D557-483e-80F0-5BDECDE87054-M005.jpg)
模糊控制器的量化因子与比例因子显著影响其控制性能,人工经验法存在效率低、精度低等不足[7]。本文采用改进蜣螂优化算法(IDBO)寻优量化与比例因子,以确保控制性能最优。
2.2 DBO优化策略
2.2.1 佳点集与反向学习策略
DBO具有个体生成的高度随机性与不确定性,易引发种群早熟收敛至局部最优[19]。佳点集方法则能高效利用少量样本点,实现搜索空间的均匀覆盖[20]。本文融合佳点集与反向学习策略,初始化种群,提升DBO的收敛速度。
初始化种群分布对比如图4所示。设种群规模为500个,维数为2,混沌的位置上下界分别为1和100。佳点集法可实现个体位置的均匀分布,提升了初始种群解的质量与多样性,避免早熟收敛,同时缩减搜索空间中的空白区域,以提升算法寻优性能。
2025年9期/10.11817j.issn.1672-7207.2025.09.014/alternativeImage/0670A495-D557-483e-80F0-5BDECDE87054-F004.jpg)
映射佳点集至解空间并实施反向学习策略,再生成初始种群,合并后评估适应度并筛选最优N个个体,构建新初始种群。反向学习公式为
2025年9期/10.11817j.issn.1672-7207.2025.09.014/alternativeImage/0670A495-D557-483e-80F0-5BDECDE87054-M006.jpg)
式中:k为1×D的服从正态分布的随机向量,D为空间维度;Ub和Lb为解空间的上界和下界;X为初始种群。
2.2.2 自适应繁殖偷窃策略
卵球与偷窃蜣螂分别基于局部最优位置与全局最优位置更新位置。算法初期搜索范围广,但加速收敛时易陷局部最优[21]。本文基于鲸鱼优化算法[22],提出变螺旋搜索策略,引入动态螺旋搜索形状参数p,赋予蜣螂多样化路径调整能力,
2025年9期/10.11817j.issn.1672-7207.2025.09.014/alternativeImage/0670A495-D557-483e-80F0-5BDECDE87054-M007.jpg)
2025年9期/10.11817j.issn.1672-7207.2025.09.014/alternativeImage/0670A495-D557-483e-80F0-5BDECDE87054-M008.jpg)
式中:β为螺旋搜索因子;r为[0,1]中的随机数;2025年9期/10.11817j.issn.1672-7207.2025.09.014/alternativeImage/0670A495-D557-483e-80F0-5BDECDE87054-M009.jpg)
2025年9期/10.11817j.issn.1672-7207.2025.09.014/alternativeImage/0670A495-D557-483e-80F0-5BDECDE87054-M010.jpg)
为防止迭代中后期过早收敛,引入非线性权重因子[23]。通过优化非线性自适应递减参数,提升算法全局寻优性能,表达式为
2025年9期/10.11817j.issn.1672-7207.2025.09.014/alternativeImage/0670A495-D557-483e-80F0-5BDECDE87054-M011.jpg)
式中:ct为迭代t次的惯性权重,最大惯性权重取1,最小惯性权重取0.001。
非线性自适应参数变化趋势对比如图5所示。从图5可见:权重呈现先快后慢的非线性变化趋势,初期惯性权重因子以较高及较快递减速率调整惯性权重,提升算法的全局搜索能力。后期权重减小至较低水平并维持缓降的趋势,提升算法的局部搜索能力。
2025年9期/10.11817j.issn.1672-7207.2025.09.014/alternativeImage/0670A495-D557-483e-80F0-5BDECDE87054-F005.jpg)
卵球与偷窃蜣螂位置更新公式如下:
2025年9期/10.11817j.issn.1672-7207.2025.09.014/alternativeImage/0670A495-D557-483e-80F0-5BDECDE87054-M012.jpg)
2025年9期/10.11817j.issn.1672-7207.2025.09.014/alternativeImage/0670A495-D557-483e-80F0-5BDECDE87054-M013.jpg)
式中:2025年9期/10.11817j.issn.1672-7207.2025.09.014/alternativeImage/0670A495-D557-483e-80F0-5BDECDE87054-M014.jpg)
2025年9期/10.11817j.issn.1672-7207.2025.09.014/alternativeImage/0670A495-D557-483e-80F0-5BDECDE87054-M015.jpg)
2025年9期/10.11817j.issn.1672-7207.2025.09.014/alternativeImage/0670A495-D557-483e-80F0-5BDECDE87054-M016.jpg)
2025年9期/10.11817j.issn.1672-7207.2025.09.014/alternativeImage/0670A495-D557-483e-80F0-5BDECDE87054-M017.jpg)
2.2.3 自适应混合变异
DBO迭代更新最优解时,因缺乏扰动机制易陷入局部极值空间。本文提出自适应混合变异策略,包含自适应t分布变异及选择性重心反向学习,迭代后扰动最优解。
引入自适应t分布变异策略,变异公式为
2025年9期/10.11817j.issn.1672-7207.2025.09.014/alternativeImage/0670A495-D557-483e-80F0-5BDECDE87054-M018.jpg)
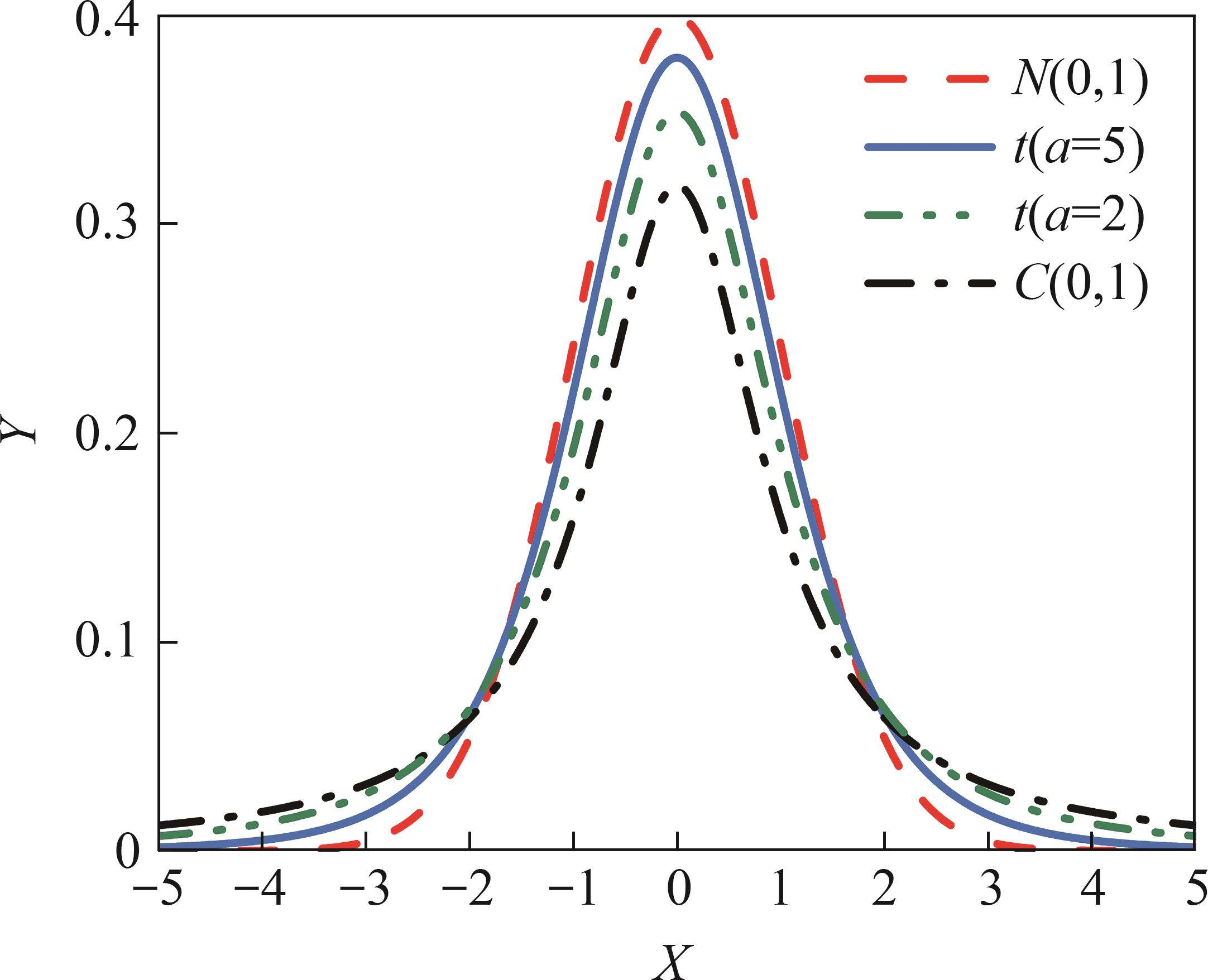
柯西分布和高斯分布为t分布特例[21]。其自由度参数a为迭代次数T,当T较小时,曲线呈柯西分布C(0,1),当T趋于无穷大时,曲线呈高斯分布N(0,1)。三者的函数图像如图6所示。从图6可见:随着自由度参数递增,原点附近变异显著,迭代初期大幅度扰动概率更高,利于全局探索;在迭代后期,小幅度扰动概率提升,强化算法的局部开发能力,实现了全局与局部搜索能力的均衡优化。
2025年9期/10.11817j.issn.1672-7207.2025.09.014/alternativeImage/0670A495-D557-483e-80F0-5BDECDE87054-F006.jpg)
应用t分布变异需调控变异程度,在迭代初期,强化变异以利于全局搜索,后期变异程度逐渐减小以提升局部开发。利用自适应因子α对变异程度进行约束,迭代曲线如图7所示,计算公式为
2025年9期/10.11817j.issn.1672-7207.2025.09.014/alternativeImage/0670A495-D557-483e-80F0-5BDECDE87054-M019.jpg)
式中:敏感参数f=0.6,界定迭代过程中的局部开发精度。
2025年9期/10.11817j.issn.1672-7207.2025.09.014/alternativeImage/0670A495-D557-483e-80F0-5BDECDE87054-F007.jpg)
自适应因子随迭代次数的变化趋势如图7所示。从图7可见:随迭代次数增加,α呈现非线性递减趋势,迭代初期α接近于1,利于全局搜索;迭代后期α接近于0,利于局部搜索,以此精准平衡搜索策略。
针对迭代后期反向学习导致的解空间收缩与局部最优问题[24],本文提出选择性重心反向学习策略,引入肯德尔等级相关系数以增强种群变异能力,定义为
2025年9期/10.11817j.issn.1672-7207.2025.09.014/alternativeImage/0670A495-D557-483e-80F0-5BDECDE87054-M020.jpg)
式中:N为种群个体,{x1,x2,…,xn};XiD为个体Xi于D维的重心反向位置。
肯德尔等级相关系数作为非参数统计量,用于衡量随机变量间的相关性。2个D维随机变量 Xi=[xi1,xi2,…,xiD]和Yj=[yj1,yj2,…,yjD]的相关系数定义为
2025年9期/10.11817j.issn.1672-7207.2025.09.014/alternativeImage/0670A495-D557-483e-80F0-5BDECDE87054-M021.jpg)
式中:xi和xj分别为Xi的第i个和第j个变量;yi和yj分别为Yj的第i个和第j个变量。
基于100×5随机数据矩阵,肯德尔系数矩阵的可视化结果见图8。从图8可见:当τ为1时,表明2个参数之间正相关,其变化趋势相同;当τ为-1时,表明2个参数之间负相关,其变化趋势相反;τ趋于0时则表明2个参数之间不相关。Kendall等级相关系数通过度量个体与最优解相关性,选取负相关及不相关个体反向学习,以强化算法变异性能。
2025年9期/10.11817j.issn.1672-7207.2025.09.014/alternativeImage/0670A495-D557-483e-80F0-5BDECDE87054-F008.jpg)
利用选择概率PS对最优个体进行混合变异扰动。当PS<0.5时,采用自适应t分布变异大范围扰动;当PS≥0.5时,实施选择性重心反向学习微调扰动。双策略协同以促使算法跳出局部极值空间,实现更高效的解空间探索。
2025年9期/10.11817j.issn.1672-7207.2025.09.014/alternativeImage/0670A495-D557-483e-80F0-5BDECDE87054-M022.jpg)
2025年9期/10.11817j.issn.1672-7207.2025.09.014/alternativeImage/0670A495-D557-483e-80F0-5BDECDE87054-M023.jpg)
式中:Xbest为扰动前最优蜣螂位置。采用贪婪选择机制,依据变异解的适应度优于原始解时进行替代,确保算法向更优解空间进化。
2.2.4 算法收敛性分析
2025年9期/10.11817j.issn.1672-7207.2025.09.014/alternativeImage/0670A495-D557-483e-80F0-5BDECDE87054-M024.jpg)
2025年9期/10.11817j.issn.1672-7207.2025.09.014/alternativeImage/0670A495-D557-483e-80F0-5BDECDE87054-M025.jpg)
2025年9期/10.11817j.issn.1672-7207.2025.09.014/alternativeImage/0670A495-D557-483e-80F0-5BDECDE87054-M026.jpg)
2025年9期/10.11817j.issn.1672-7207.2025.09.014/alternativeImage/0670A495-D557-483e-80F0-5BDECDE87054-M027.jpg)
2025年9期/10.11817j.issn.1672-7207.2025.09.014/alternativeImage/0670A495-D557-483e-80F0-5BDECDE87054-M028.jpg)
2025年9期/10.11817j.issn.1672-7207.2025.09.014/alternativeImage/0670A495-D557-483e-80F0-5BDECDE87054-M029.jpg)
2025年9期/10.11817j.issn.1672-7207.2025.09.014/alternativeImage/0670A495-D557-483e-80F0-5BDECDE87054-M030.jpg)
2025年9期/10.11817j.issn.1672-7207.2025.09.014/alternativeImage/0670A495-D557-483e-80F0-5BDECDE87054-M031.jpg)
2025年9期/10.11817j.issn.1672-7207.2025.09.014/alternativeImage/0670A495-D557-483e-80F0-5BDECDE87054-M032.jpg)
2025年9期/10.11817j.issn.1672-7207.2025.09.014/alternativeImage/0670A495-D557-483e-80F0-5BDECDE87054-M033.jpg)
2025年9期/10.11817j.issn.1672-7207.2025.09.014/alternativeImage/0670A495-D557-483e-80F0-5BDECDE87054-M034.jpg)
若2025年9期/10.11817j.issn.1672-7207.2025.09.014/alternativeImage/0670A495-D557-483e-80F0-5BDECDE87054-M035.jpg)
2025年9期/10.11817j.issn.1672-7207.2025.09.014/alternativeImage/0670A495-D557-483e-80F0-5BDECDE87054-M033.jpg)
2025年9期/10.11817j.issn.1672-7207.2025.09.014/alternativeImage/0670A495-D557-483e-80F0-5BDECDE87054-M037.jpg)
2025年9期/10.11817j.issn.1672-7207.2025.09.014/alternativeImage/0670A495-D557-483e-80F0-5BDECDE87054-M038.jpg)
2025年9期/10.11817j.issn.1672-7207.2025.09.014/alternativeImage/0670A495-D557-483e-80F0-5BDECDE87054-M039.jpg)
2025年9期/10.11817j.issn.1672-7207.2025.09.014/alternativeImage/0670A495-D557-483e-80F0-5BDECDE87054-M040.jpg)
2025年9期/10.11817j.issn.1672-7207.2025.09.014/alternativeImage/0670A495-D557-483e-80F0-5BDECDE87054-M041.jpg)
2025年9期/10.11817j.issn.1672-7207.2025.09.014/alternativeImage/0670A495-D557-483e-80F0-5BDECDE87054-M041.jpg)
证明:基于IDBO算法特性,状态转移过程分为局部搜索(如滚球、繁殖)与全局搜索(觅食、偷窃)2个阶段,各阶段的转移概率为2025年9期/10.11817j.issn.1672-7207.2025.09.014/alternativeImage/0670A495-D557-483e-80F0-5BDECDE87054-M043.jpg)
2025年9期/10.11817j.issn.1672-7207.2025.09.014/alternativeImage/0670A495-D557-483e-80F0-5BDECDE87054-M041.jpg)
2025年9期/10.11817j.issn.1672-7207.2025.09.014/alternativeImage/0670A495-D557-483e-80F0-5BDECDE87054-M045.jpg)
证明:IDBO的最优解更新是在有限状态空间中进行,其3个改进策略均满足独立性条件,由于算法采取贪婪选择机制,即t代种群状态依赖于 t-1代,因此,解序列2025年9期/10.11817j.issn.1672-7207.2025.09.014/alternativeImage/0670A495-D557-483e-80F0-5BDECDE87054-M045.jpg)
2025年9期/10.11817j.issn.1672-7207.2025.09.014/alternativeImage/0670A495-D557-483e-80F0-5BDECDE87054-M047.jpg)
2025年9期/10.11817j.issn.1672-7207.2025.09.014/alternativeImage/0670A495-D557-483e-80F0-5BDECDE87054-M048.jpg)
证明:IDBO结合佳点集与反向学习策略初始化种群,初始状态X(0),对于任意个体Xi0满足:2025年9期/10.11817j.issn.1672-7207.2025.09.014/alternativeImage/0670A495-D557-483e-80F0-5BDECDE87054-M049.jpg)
2025年9期/10.11817j.issn.1672-7207.2025.09.014/alternativeImage/0670A495-D557-483e-80F0-5BDECDE87054-M050.jpg)
2025年9期/10.11817j.issn.1672-7207.2025.09.014/alternativeImage/0670A495-D557-483e-80F0-5BDECDE87054-M051.jpg)
IDBO利用自适应繁殖偷窃策略更新种群位置。其中b1,b2,g随机向量服从正态分布。每次迭代中均可能向全局最优解2025年9期/10.11817j.issn.1672-7207.2025.09.014/alternativeImage/0670A495-D557-483e-80F0-5BDECDE87054-M052.jpg)
2025年9期/10.11817j.issn.1672-7207.2025.09.014/alternativeImage/0670A495-D557-483e-80F0-5BDECDE87054-M053.jpg)
因此,在任意时刻均可发现全局最优解,即2025年9期/10.11817j.issn.1672-7207.2025.09.014/alternativeImage/0670A495-D557-483e-80F0-5BDECDE87054-M054.jpg)
证明:基于定义1和定理2可知,IDBO的解空间构成有限状态齐次马尔可夫链,对于给定精度2025年9期/10.11817j.issn.1672-7207.2025.09.014/alternativeImage/0670A495-D557-483e-80F0-5BDECDE87054-M055.jpg)
1) 2025年9期/10.11817j.issn.1672-7207.2025.09.014/alternativeImage/0670A495-D557-483e-80F0-5BDECDE87054-M056.jpg)
2) 2025年9期/10.11817j.issn.1672-7207.2025.09.014/alternativeImage/0670A495-D557-483e-80F0-5BDECDE87054-M057.jpg)
种群从t-1代转为t代后未达到精度2025年9期/10.11817j.issn.1672-7207.2025.09.014/alternativeImage/0670A495-D557-483e-80F0-5BDECDE87054-M058.jpg)
2025年9期/10.11817j.issn.1672-7207.2025.09.014/alternativeImage/0670A495-D557-483e-80F0-5BDECDE87054-M059.jpg)
2025年9期/10.11817j.issn.1672-7207.2025.09.014/alternativeImage/0670A495-D557-483e-80F0-5BDECDE87054-M060.jpg)
2025年9期/10.11817j.issn.1672-7207.2025.09.014/alternativeImage/0670A495-D557-483e-80F0-5BDECDE87054-M061.jpg)
2.2.5 IDBO算法优化流程
改进的蜣螂优化算法运行流程如图9。具体步骤如下:
2025年9期/10.11817j.issn.1672-7207.2025.09.014/alternativeImage/0670A495-D557-483e-80F0-5BDECDE87054-F009.jpg)
2025年9期/10.11817j.issn.1672-7207.2025.09.014/alternativeImage/0670A495-D557-483e-80F0-5BDECDE87054-M050.jpg)
2.2.6 算法性能测试
基于CEC2005基准测试集[25],评估IDBO与DBO、蝴蝶算法(BOA)、树种算法(TSA)、麻雀搜索算法(SSA)、粒子群算法(PSO)及鲸鱼优化算法(WOA)的全局最优性能。涵盖单峰(F4、F7),多峰(F8、F10),固定多峰(F15、F23)函数类型。图10所示为各测试函数的迭代收敛曲线。在测试函数F4、F10中,IDBO凭借佳点集与反向学习策略为种群提供有利初始状态,结合自适应繁殖偷窃策略,快速且精确地收敛至全局最优,有效规避局部极值空间。在F7、F8中,IDBO可在较少迭代次数下跳出局部极值空间。在F15中,IDBO迭代曲线平稳趋近于全局最优解,有效避免陷入局部最优解。在F23中,尽管IDBO收敛精度略低,但可快速跳出局部最优,且收敛速度快于DBO,由此可知IDBO具有较强的泛化能力。
2025年9期/10.11817j.issn.1672-7207.2025.09.014/alternativeImage/0670A495-D557-483e-80F0-5BDECDE87054-F010.jpg)
为评估改进策略对DBO搜索效率的提升效果,设计4组对比实验。
1) 引入佳点集与反向学习策略,得到DBO1;
2) 引入自适应繁殖偷窃策略,得到DBO2;
3) 引入自适应混合变异策略,得到DBO3;
4) 引入佳点集与反向学习策略、自适应繁殖偷窃策略,得到DBO4。
对6种算法在上述基准测试函数上进行消融实验,寻优结果平均值和标准差见表1,最优结果加粗标出。
| 函数 | F4 | F7 | F8 | |||
|---|---|---|---|---|---|---|
| 平均值 | 标准差 | 平均值 | 标准差 | 平均值 | 标准差 | |
| DBO | 4.79×10-61 | 1.14×10-76 | 2.28×10-1 | 2.06×10-1 | 0 | 1.11×10-3 |
| DBO1 | 2.47×10-75 | 6.87×10-83 | 1.81×10-2 | 1.12×10-2 | 4.42×10-6 | 2.74×10-5 |
| DBO2 | 2.21×10-66 | 2.27×10-74 | 6.75×10-2 | 1.96×10-2 | -1.14×10-4 | 6.64×10-3 |
| DBO3 | 4.46×10-106 | 2.85×10-98 | 3.42×10-3 | 3.17×10-3 | 6.34×10-11 | 2.16×10-10 |
| DBO4 | 3.66×10-127 | 4.22×10-156 | 2.57×10-2 | 3.86×10-2 | 8.96×10-7 | 6.31×10-8 |
| IDBO | 2.38×10-116 | 1.55×10-101 | 1.86×10-4 | 1.67×10-4 | 9.24×10-12 | 3.65×10-12 |
| 函数 | F10 | F15 | F23 | |||
| 平均值 | 标准差 | 平均值 | 标准差 | 平均值 | 标准差 | |
| DBO | 5.81×10-6 | 2.56×10-11 | 6.02×10-5 | 4.98×10-5 | -7.68 | 8.76×10-13 |
| DBO1 | 3.98×10-11 | 6.84×10-26 | 3.79×10-5 | 2.58×10-5 | 9.43 | 2.17×10-12 |
| DBO2 | 4.204×10-9 | 4.32×10-16 | 6.38×10-5 | 5.54×10-5 | -9.51 | 1.09×10-14 |
| DBO3 | 2.58×10-36 | 2.92×10-29 | 2.51×10-5 | 1.90×10-5 | 6.58 | 5.84×10-14 |
| DBO4 | 3.13×10-57 | 1.86×10-63 | 4.63×10-5 | 2.68×10-5 | 1.03 | 1.52×10-15 |
| IDBO | 8.88×10-56 | 4.53×10-26 | 2.17×10-5 | 1.39×10-5 | 1.03 | 1.52×10-15 |
在F4、F10中,单一策略抑制函数寻优效果,而佳点集与反向学习策略、自适应繁殖偷窃策略的融合促使算法达到最优。在F7、F8中,DBO3及IDBO寻优结果表明自适应混合变异策略起决定性作用,其他2种策略起辅助作用。在F15中,3种策略的融合未破坏DBO寻优能力,单一策略和多策略融合算法均可收敛至理论最优平均值。在F23中,3种策略皆可促进函数寻优。综上,单一策略对算法性能提升有限,多策略融合可显著提升DBO的寻优能力。
2.3 IDBO对控制器参数的优化
模糊PID控制器的控制性能取决于控制器内部的参数,本文利用IDBO优化模糊PID控制器量化因子Ke、Kc与比例因子ΔKp、ΔKi、ΔKd,以确保控制性能最优。
2.3.1 优化变量
改变模糊PID控制器的量化因子与比例因子可调整各阶段误差e以及误差变化率c的权重。各优化变量取值范围如表2所示。
| 参数 | 下限 | 上限 |
|---|---|---|
| Ke | 0.2 | 1.0 |
| Kc | 0 | 1 |
| ΔKp | 5.0 | 10.0 |
| ΔKi | 0 | 2.0 |
| ΔKd | 0 | 1 |
2.3.2 控制器参数优化流程
研磨过程中研磨力波动周期短、幅度大,要求液压系统具备快速瞬态响应能力,以缓冲磨辊与磨盘间的冲击,适应度判据见式(14),旨在优化控制系统参数以提升液压缸稳态精度。
2025年9期/10.11817j.issn.1672-7207.2025.09.014/alternativeImage/0670A495-D557-483e-80F0-5BDECDE87054-M063.jpg)
式中:e(t)为t时实际与目标位移的幅值差。
IDBO对控制器参数的优化流程见图11。
2025年9期/10.11817j.issn.1672-7207.2025.09.014/alternativeImage/0670A495-D557-483e-80F0-5BDECDE87054-F011.jpg)
3 控制系统联合仿真
为分析立磨机液压位置控制系统的性能并验证IDBO-Fuzzy-PID控制器的适用性,基于Adams、AMESim与Simulink构建联合仿真平台,对机械、液压及控制器部分建模,通过内置数据交互接口实现数据实时传递,以此开展联合仿真分析。
3.1 基于Adams构建立磨机动力学模型
立磨机磨粉系统包括磨盘、磨辊、摇臂、摆臂和液压缸,其动力学特性复杂多变,部件间相互作用显著。摇臂弯曲变形与扭转振动、液压缸进给运动、磨盘激振效应及物料摩擦均影响磨辊运动状态。利用ADAMS软件实现摇臂的柔性化,在ADAMS/View中设置模型部件的结合参数与材料属性,依据部件间的固定及运动关系施加力与约束,立磨机虚拟样机模型如图12所示。
2025年9期/10.11817j.issn.1672-7207.2025.09.014/alternativeImage/0670A495-D557-483e-80F0-5BDECDE87054-F012.jpg)
3.2 基于AMESim构建液压物理模型
依据立磨机液压与闭环回路控制原理,建立AMESim液压系统模型并设置软件接口,液压系统模型如图13所示。
2025年9期/10.11817j.issn.1672-7207.2025.09.014/alternativeImage/0670A495-D557-483e-80F0-5BDECDE87054-F013.jpg)
基于ADAMS-AMESim-Simulink联合仿真平台的控制流程如下。
1) 预设位移目标,AMESim液压位置模型输出力信号至ADAMS机械模型。
2) 活塞杆动作以驱动磨辊抬、落辊,并将液压杆位移反馈至控制系统。
3) 偏值经控制器处理后作为电流输入信号,驱动电液比例阀的开口度,调控液压缸推拉磨辊负载,实现闭环控制策略。
4 仿真分析及结果
4.1 控制参数优化
为客观对比IDBO与DBO性能,采用相同迭代次数、种群数量和性能指标进行迭代寻优。适应度变化见图14,量化因子与比例因子优化结果见表3,优化曲线见图15。在迭代中,DBO过早陷入局部解空间,导致种群早熟,于87次迭代后收敛至最优解4.975 8。IDBO则通过不断跳出局部解空间,于25次迭代后收敛至最优解4.974 9,得到较优控制参数。IDBO在控制器参数整定中具有较高的收敛速度及较强的优化能力。
2025年9期/10.11817j.issn.1672-7207.2025.09.014/alternativeImage/0670A495-D557-483e-80F0-5BDECDE87054-F014.jpg)
| 算法 | Ke | Kc | ΔKp | ΔKi | ΔKd | 适应度 |
|---|---|---|---|---|---|---|
| IDBO | 0.981 | 0.706 | 9.781 | 0.007 | 0.606 | 4.975 |
| DBO | 0.847 | 0.456 | 9.856 | 0.011 | 0.971 | 4.976 |
2025年9期/10.11817j.issn.1672-7207.2025.09.014/alternativeImage/0670A495-D557-483e-80F0-5BDECDE87054-F015.jpg)
4.2 系统阶跃跟踪测试
为验证IDBO-Fuzzy-PID控制器对立磨机液压系统的控制效果,与Fuzzy-PID控制器、PID控制器进行对比仿真,设置仿真时间为20 s,步长为0.01 s。在系统研磨压力恒定、平衡点工作位移为 50 mm的条件下,采用阶跃输入信号,于第10 s时引入阶跃外负载信号,模拟硬料引发研磨压力骤增,致使液压杆位移突变。3种控制器的阶跃响应曲线如图16所示,响应结果对比见表4。
2025年9期/10.11817j.issn.1672-7207.2025.09.014/alternativeImage/0670A495-D557-483e-80F0-5BDECDE87054-F016.jpg)
| 控制器 | 上升时间/s | 调节时间/s | 超调量/% |
|---|---|---|---|
| IDBO-Fuzzy-PID | 0.164 | 0.743 | — |
| Fuzzy-PID | 0.526 | 2.239 | 5.528 |
| PID | 1.147 | 5.294 | 8.568 |
图16和表4表明:Fuzzy-PID控制器调节时间和超调量均比PID控制器的小,而IDBO-Fuzzy-PID控制器调节时间最短,基本无超调至目标位移。IDBO多策略融合确保参数跳出局部极值,获取与系统动态特性匹配的最优参数组合,并实时修正比例阀开度指令,补偿液压系统因油液压缩性及管路缩短的位移响应滞后问题。在10 s阶跃外负载扰动时,IDBO-Fuzzy-PID控制器抗干扰性能最优,Fuzzy-PID控制器良好,PID控制器相对较差。这是由于PID控制器具有固定参数结构,缺乏自适应能力;Fuzzy-PID控制器通过模糊推理机制有效处理系统不确定性,但仍存在相位滞后问题;IDBO-Fuzzy-PID控制器通过动态调整控制参数,快速补偿压力突变引起的位移偏差,确保系统在扰动下迅速恢复稳定状态。
4.3 系统抗干扰测试
立磨机液压控制系统在实际运行中面临多种干扰因素,如硬料附着引发研磨压力波动、液压缸部件老化以及传感器反馈信号中存在噪声干扰。为评估控制器在负载波动下的响应性能,需进行抗干扰测试,以确保其在复杂工况下的稳定运行。
4.3.1 阶跃信号仿真
在研磨压力恒定且平衡点位移为50 mm的条件下,对反馈施加随机白噪声的仿真结果如图17(a) 所示。PID控制器因缺乏动态参数调整机制,液压杆位移振荡幅度为0.879 mm;Fuzzy-PID控制器通过模糊推理抑制约47%振荡幅值;而IDBO-Fuzzy-PID控制器通过参数自适应匹配机制,将振荡幅值缩减至0.252 mm,较PID控制器降幅达71.3%,抗干扰能力显著提升。这是由于当硬料附着引发研磨压力波动时,控制器通过动态参数调整消除稳态误差,将液压杆位移偏差限制在工艺允许范围内,从而快速平衡研磨压力。面对传感器噪声干扰,其优化的反馈增益通过自适应滤波降低噪声累积,使系统恢复稳定。
2025年9期/10.11817j.issn.1672-7207.2025.09.014/alternativeImage/0670A495-D557-483e-80F0-5BDECDE87054-F017.jpg)
4.3.2 正弦信号仿真
上述测试基于阶跃信号的线性模型,仅适于工作点附近的性能评估。鉴于实际工况下系统参数的动态变化,需进行非线性模型的抗干扰测试。采用正弦输入信号并叠加随机白噪声,仿真结果如图17(b)所示。相比于Fuzzy-PID控制器及PID控制器,IDBO-Fuzzy-PID控制器在扰动下稳定性未受显著影响,其正弦波跟踪性能最优。IDBO通过在线优化参数,自适应调整比例阀增益,有效补偿液压缸老化引起的阻尼系数非线性漂移。
综上可知,IDBO-Fuzzy-PID控制器可显著提升立磨机在时变负载及参数波动下的控制精度与鲁棒性,为立磨机复杂工况的稳定运行提供了工程实践价值。
4.4 磨辊位移响应测试
实际工况要求立磨机液压系统实现自稳平衡,并在磨料过程中维持恒定研磨力。将所设计的控制器应用于立磨机联合仿真模型,以验证其对磨辊位移响应的有效性与可行性。磨粉过程中磨辊位移误差对比曲线如图18所示,Fuzzy-PID控制器的位移误差为0.3 mm,而IDBO-Fuzzy-PID控制器将位移误差缩减至0.1 mm。研磨力波动会引发液压系统的动态响应,进而影响磨辊与磨盘间隙的动态变化,该间隙需控制在合理范围内,以避免磨辊剧烈波动,影响磨粉工艺的稳定性。IDBO-Fuzzy-PID控制器有效抑制了磨辊的纵向波动,并通过微调磨辊、磨盘的间隙波动,实现了研磨力的稳定控制。
2025年9期/10.11817j.issn.1672-7207.2025.09.014/alternativeImage/0670A495-D557-483e-80F0-5BDECDE87054-F018.jpg)
5 结论
1) 针对DBO的不足,引入佳点集与反向学习、自适应繁殖偷窃及自适应混合变异策略,扩展了种群搜索空间,强化了全局搜索与局部寻优能力。利用测试函数,验证了IDBO在求解速度与精度上均高于其他种群优化算法。
2) 利用IDBO对模糊PID控制器的5个控制参数进行寻优,结果表明IDBO相较于DBO在参数整定过程中具有较高的收敛速度及较强优化能力。
3) 液压控制系统在工作平衡点附近具有较好的跟踪性能与时变适应性。针对负载扰动、参数波动及外界高频扰动信号,该系统具有较强的抗干扰特性,有效抑制了磨辊纵向波动,实现了磨粉工艺性能的优化与提升。
4) 在参数优化过程中以跟踪误差为优化目标,尚未考虑能量损耗、执行机构动作频次等工程约束可能导致液压系统能耗增加或元件疲劳等次生问题。因此,后续研究需构建多目标优化框架,以平衡控制性能与能耗指标。
李玲, 刘佳芸, 李瑶, 等. IDBO-Fuzzy-PID控制器在立磨机液压控制中的应用[J]. 中南大学学报(自然科学版), 2025, 56(9): 3724-3736.
LI Ling, LIU Jiayun, LI Yao, et al. Application of IDBO-Fuzzy-PID controller in vertical mill hydraulic control[J]. Journal of Central South University(Science and Technology), 2025, 56(9): 3724-3736.
http://dx.doi.org/10.11817/j.issn.1672-7207.2025.09.014

